Книга Популярная физика. От архимедова рычага до квантовой теории, страница 116 – Айзек Азимов

Авторы: А Б В Г Д Е Ж З И Й К Л М Н О П Р С Т У Ф Х Ч Ш Ы Э Ю Я
Книги: А Б В Г Д Е Ж З И Й К Л М Н О П Р С Т У Ф Х Ц Ч Ш Щ Ы Э Ю Я
Бесплатная онлайн библиотека LoveRead.in

Онлайн книга «Популярная физика. От архимедова рычага до квантовой теории»

📃 Cтраница 116

Фактически для сохранения этого допущения необходимо складывать скорости таким образом, чтобы их сумма никогда не превышала скорость света. Например, предположим, что платформа движется вперед (по отношению к нам) со скоростью 290 000 км/с, или лишь на 10 000 км/с медленнее скорости света в вакууме. Далее предположим, что с платформы вперед бросают мяч со скоростью 290 000 км/с относительно платформы. Скорость мяча относительно нас должна быть 290 000 + 290 000 км/с при движении вперед, но на этих скоростях влияние движущейся платформы настолько снижено, что общая скорость будет всего лишь 295 000 км/с и все еще остается меньше, чем скорость света.

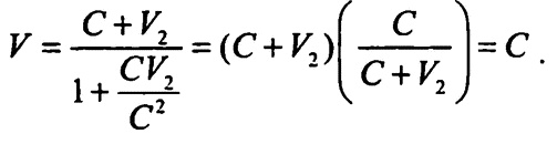
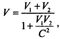
На самом деле это может быть выражено математически. Если две скорости (V1 и V2) прибавляются друг к другу, то, по Ньютону, их суммарная скорость должна быть V = V1 + V2. По Эйнштейну же, суммарная скорость будет равна:

Иллюстрация к книге — Популярная физика. От архимедова рычага до квантовой теории [i_057.jpg]

где С — скорость света в вакууме. Если V1 равно С, то уравнение Эйнштейна примет вид:

Иллюстрация к книге — Популярная физика. От архимедова рычага до квантовой теории [i_058.jpg]

Другими словами, если одна скорость равна скорости света, то добавление к ней другой скорости, даже равной той же скорости света, составит общую скорость, не превышающую скорость света.

Короче говоря, из утверждения Эйнштейна о постоянной измеряемой скорости света можно сделать вывод, что измерение скорости любого движущегося тела всегда покажет величину меньше скорости света [95].

Кажется странным и неудобным принимать такую необычную картину мира только для того, чтобы придерживаться допущения Эйнштейна о постоянности измеряемой скорости света. Тем не менее независимо от того, можно ли измерить скорость света, эта скорость всегда представлялась постоянной, и независимо от того, можно ли измерить скорость движущихся тел, их скорость всегда представлялась меньше скорости света. Короче, еще ни один физик не обнаружил ни одного явления, которое бы нарушало утверждение Эйнштейна об относительности движения или его же утверждение о постоянстве скорости света, а искали они усердно, уж будьте уверены.

Эйнштейн мог вывести из своих утверждений и существование сокращения Лоренца — Фитцджеральда, так же как и описанное Лоренцем приращение массы с движением. Более того, он показал, что не только электрически заряженные частицы прибавляют массу с движением, но и незаряженные частицы тоже. Фактически по мере движения все объекты прибавляют в массе.

Может показаться, что вряд ли есть причина так усиленно вдаваться в специальную теорию. Какая разница, начинать ли с утверждения сокращения Лоренца — Фитцджеральда и из него выводить постоянство скорости света или начинать с утверждения о постоянстве скорости света и выводить из него сокращения Лоренца — Фитцджеральда?

Если бы это было все, то значительной разницы действительно не было бы. Однако Эйнштейн соединил свое допущение о постоянстве скорости света со своим первым допущением об относительности всего движения.

Это означало, что прибавление массы является не «реальным» явлением, а лишь изменением данных измерений. Размер, на который сокращена длина или увеличена масса, не является чем-то определяемым абсолютно, он различается от наблюдателя к наблюдателю.

Чтобы понять, что это означает, представьте себе два одинаковых космических корабля, движущиеся в противоположных направлениях по непересекающейся траектории; на каждом космическом корабле находится оборудование, позволяющее измерить длину и массу другого корабля в то время, как тот пролетает мимо.

С космического корабля X видно, как мимо в определенном направлении пролетает космический корабль Y со скоростью 260 000 километров в секунду, и на этой скорости корабль Y, по данным измерений, имеет только половину своей длины покоя и удвоенную массу сравнительно со своей же массой покоя.

Но люди в корабле Y не чувствуют движения (так же как и мы не чувствуем своего движения сквозь космос вокруг Солнца).

Люди на корабле Y ощущают себя недвижимыми и имеющими длину покоя и массу покоя. А видят они, что мимо них пролетает (в противоположном направлении) корабль X со скоростью 260 000 километров в секунду. Для них именно показатели корабля X изменились на половину длины и удвоенную массу.

Если бы наблюдатели могли общаться между собой во время движения, у них были бы солидные аргументы. Каждый мог бы сказать: «Я нахожусь в покое, а ты движешься. Я нормальной длины, а ты сокращенной. Я имею нормальную массу, а ты — удвоенную».

Так кто же на самом деле «прав»?

Правильный ответ — никто (или оба). Видите ли, вопрос не в том, что «на самом деле» происходит с длиной и массой или какой из кораблей «на самом деле» имеет сокращенную длину или увеличенную массу. Вопрос только в измерении. (Это как — проводя тривиальную аналогию — измерять стороны прямоугольника размером четыре на два метра, а потом спорить, какова «на самом деле» длина прямоугольника — два или четыре метра. Ведь это зависит от того, с какой стороны мерить.)

Но допустим, что вы пытаетесь произвести некий эксперимент, который, предположим, лежит за пределами измерений «реальности». Предположим, например, что вы поставили два корабля рядом и сравнили их напрямую, чтобы выяснить, который из них длиннее и тяжелее. Это на самом деле не может быть произведено в рамках специальной теории Эйнштейна, поскольку она имеет дело только с равномерным движением. Чтобы свести корабли вместе, нужно, чтобы, как минимум, один из них изменил направление движения и развернулся, то есть произвел бы неравномерное или ускоренное движение.

Однако, даже если мы это сделаем и представим оба корабля бок о бок и неподвижными относительно друг друга, после того как они пролетят мимо друг друга на таких суперскоростях, мы не можем делать выводы относительно «реальности». Находясь в покое, каждый из них будет и измерять другого как имеющего нормальную длину и массу. Если и происходило «реальное» изменение длины и массы какого-либо корабля в прошлом, то теперь это изменение исчезло бы без следа.

Несмотря ни на что, сложно перестать думать о «реальности». Тут может помочь воспоминание о том, что были времена, когда мы отказались от иллюзорной «реальности» и с нами не только ничего не случилось, но и адаптировались к жизни мы гораздо лучше.

Вход
Поиск по сайту
Ищем:
Календарь