Онлайн книга «Популярная физика. От архимедова рычага до квантовой теории»
|
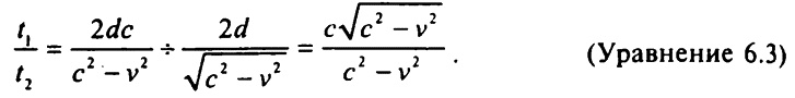
t1 = d/(c + v) + d/(c – v) = 2dc/(c2 - v2). (Уравнение 6.1) Однако в то же время вторая половина луча движется под прямым углом к первой; возвращается она также под прямым углом к первой. Она не движется ни по эфирному ветру, ни против него. И туда и обратно этот второй луч движется «поперек ветра». Время, которое потребуется лучу света на то, чтобы преодолеть путь туда и обратно (t2), может быть высчитано с помощью плоскостной геометрии [92] и оказывается равным: ![]() Поделив уравнение 6.1 на уравнение 6.2, мы найдем отношение времени, которое требуется на преодоление расстояния по эфирному ветру и против него, ко времени, которое требуется на преодоление того же расстояния поперек эфирного ветра. Мы получим: ![]() Выражение в самой правой части уравнения 6.3 принадлежит известной формуле (а√х)/х, и если и числитель и знаменатель разделить на √х, то получим эквивалентное выражение a/√х. Соответственно уравнение 6.3 можно упростить до: ![]() Дальнейшее упрощение возможно в случае умножения и числителя и знаменателя на √(1/с2) (умножение числителя и знаменателя на одно и то же число, естественно, не меняет значения всего выражения). Тогда числитель уравнения 6.4 становится равным c√(l/c2) = c/c = 1. Знаменатель же становится равным √(c2/c2 – v2/c2. Соответственно уравнение 6.4 может быть записано в виде: ![]() Если источник света неподвижен по отношению к эфиру, то v = 0 и t1/t2 = 1. В таком случае время, затраченное лучом света, движущимся по эфирному ветру и против него, будет таким же, как и время, затраченное лучом света, движущимся поперек эфирного ветра. (На самом деле это время одно и то же для лучей света, движущихся во всех направлениях,) Если движущееся зеркало настроено таким образом, чтобы два луча света проходили в точности одно и то же расстояние, вернутся они точно одновременно, и линий интерференции не возникнет. Более того, не будет возникать линий интерференции и при повороте прибора таким образом, чтобы лучи света двигались в других направлениях. Однако, если по отношению к эфиру свет движется, то v больше чем 0, следовательно, 1 – v2/c2 меньше единицы и t1/t2 больше единицы. Свет, движущийся по эфирному ветру и против него, будет дольше преодолевать определенное расстояние, чем свет, движущийся поперек него. На самом деле это отношение не намного больше единицы для любой разумной скорости по отношению к эфиру. Даже если источник света движется со скоростью 0,1 скорости света (так, что v равно огромной цифре в 30 000 км/с), это отношение будет составлять всего 1,005. Для обычных же скоростей это отношение будет совсем мало. Тем не менее разница во времени была бы достаточной, чтобы разделить два луча света и привести к появлению линий интерференции. Естественно, невозможно было заранее знать направление эфирного ветра, но это не имело значения. Прибор можно было повернуть в любом направлении, и передвижное зеркало могло быть настроено таким образом, чтобы устранять линии интерференции. Если прибор повернуть теперь, то лучи света поменяли бы направление и теперь испытывали бы другое воздействие со стороны эфирного ветра, так что линии интерференции появились бы вновь. По расстоянию между линиями можно было определить скорость источника света по отношению к эфиру. Поскольку источник света был жестко закреплен на Земле, это означало определить скорость Земли по отношению к эфиру, то есть установить абсолютное движение Земли. Если бы это было сделано, то можно было бы установить абсолютное движение всех тел, зная их движение по отношению к Земле. С помощью американского химика Эдварда Уильямса Морли (1838–1923) Михельсон в 1886 году провел свой эксперимент. Он проводил его и до того, один, но ни разу не делал этого в условиях, которые бы его удовлетворяли. Теперь же он и Морли доскональнейшим образом закрепили интерферометр и применили фантастические предосторожности против возможных ошибок. Снова и снова они повторяли свой эксперимент, и результаты оказывались одними и теми же — негативными! Когда они настраивали прибор, чтобы удалить линии интерференции, они не расширялись сколько-нибудь заметным образом при любых поворотах интерферометра. Можно было подумать, что им не повезло и для проведения эксперимента они выбрали момент, когда Земля не двигалась относительно эфира. Однако Земля движется по эллиптической орбите вокруг Солнца и ежемоментно меняет направление своего движения. Если в один день она оказалась неподвижной относительно эфира, то в следующий день она должна была двигаться. Михельсон и Морли провели тысячи наблюдений в течение многих месяцев и наконец в июле 1887 года объявили свое заключение. Никакого эфирного ветра не было! Я углубился в детали этого эксперимента из-за его шокирующего результата. Заявить об отсутствии эфира означало заявить о том, что, скорее всего, не существует способа установить абсолютное движение. А если это так, что станет с законами Ньютона и со всей картиной Вселенной, основанной на этих законах? Физикам принесло бы облегчение извещение о том, что в эксперименте Михельсона — Морли были погрешности и эфирный ветер, несмотря ни на что, существует. Однако этот эксперимент повторялся снова и снова с 1887 года. В 1960 году для этой цели были использованы гораздо более точные приборы, чем интерферометр, но результат оставался прежним. Эфирного ветра не существует. Этот факт оставалось просто принять и изменить соответствующим образом картину Вселенной. Сокращение Фитцджеральда
Естественно, предпринимались попытки объяснить результаты эксперимента Михельсона — Морли в рамках теории эфира. Наиболее успешная попытка принадлежала ирландскому физику Джорджу Франсису Фитцджеральду (1851–1901), который в 1893 году предположил, что все предметы укорачиваются в направлении своего абсолютного движения, так сказать сплющиваясь под воздействием эфирного ветра. Размер такого «укорачивания» будет возрастать вместе со скоростью абсолютного движения, поскольку давление эфирного ветра тоже будет возрастать. |
![Иллюстрация к книге — Популярная физика. От архимедова рычага до квантовой теории [i_052.jpg] Иллюстрация к книге — Популярная физика. От архимедова рычага до квантовой теории [i_052.jpg]](img/book_covers/073/73161/i_052.jpg)
![Иллюстрация к книге — Популярная физика. От архимедова рычага до квантовой теории [i_053.jpg] Иллюстрация к книге — Популярная физика. От архимедова рычага до квантовой теории [i_053.jpg]](img/book_covers/073/73161/i_053.jpg)
![Иллюстрация к книге — Популярная физика. От архимедова рычага до квантовой теории [i_054.jpg] Иллюстрация к книге — Популярная физика. От архимедова рычага до квантовой теории [i_054.jpg]](img/book_covers/073/73161/i_054.jpg)
![Иллюстрация к книге — Популярная физика. От архимедова рычага до квантовой теории [i_055.jpg] Иллюстрация к книге — Популярная физика. От архимедова рычага до квантовой теории [i_055.jpg]](img/book_covers/073/73161/i_055.jpg)