Онлайн книга «На плечах гигантов»
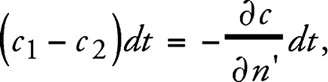
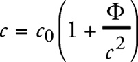
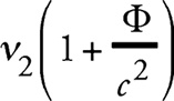
![]() Можно ли обратить время вспять? Похоже, в пользу этого предположения есть лишь несколько доводов, а против – вся Вселенная. При поверхностном рассмотрении может показаться, что соотношения (2) или (2а) не имеют смысла. Может ли быть, чтобы при непрерывном испускании света из S2 он прибывал S1 другой частотой, чем свет, вышедший из S2? Тем не менее, ответ на этот вопрос прост. Дело в том, что мы не можем рассматривать v2 и v1 просто как частоты (т. е. как числа периодов в секунду), потому что мы еще не установили времени в системе отсчета К. Величина v2 обозначает число периодов, отнесенное к единице времени часов U в S2, a v1 – число периодов, отнесенное к единице времени точно таких же часов U в S1. У нас нет никаких оснований допускать, что часы, которые расположены в точках с различными гравитационными потенциалами, должны рассматриваться как одинаково идущие. Наоборот, мы обязательно должны определить время в системе отсчета К таким образом, чтобы число гребней и минимумов волн между S2 и S1 не зависело от абсолютного значения времени, потому что рассматриваемый процесс по своей природе стационарен. Если это условие не выполнено, то мы приходим к определению времени, которое будет явно входить в законы природы, что, конечно, неестественно и нецелесообразно. Таким образом, нельзя сказать, что оба часовых механизма, в S2 и S1, показывают правильное «время». Так, если мы определяем время в S1 часами U, то мы должны измерять время в S2 часами, которые идут в [1 + (Ф/с2)] раза медленнее, чем часы U, если их сравнить с часами U в одном и том же месте. Это связано с тем, что измеренная подобными часами частота рассмотренного выше луча света при его отправлении из S2 ![]() в согласии с формулой (2а), равна частоте v1 того же луча света при его прибытии в S1. Отсюда вытекает следствие, представляющее фундаментальное значение для теории. Если скорость света измерять в различных местах ускоренной системы отсчета К’ в отсутствие гравитационного поля, пользуясь одинаково идущими часами U, то всюду будет получаться одно и то же значение. Исходя из нашего основного допущения, то же самое справедливо и для системы К. Однако из этого следует, что в местах с разными гравитационными потенциалами при измерении времени необходимо пользоваться по-разному идущими часами. В том месте, которое обладает гравитационным потенциалом Ф относительно начала координат, нужно при измерении времени применять часы, которые при перенесении их в начало координат шли бы в (1 + + Ф/с2) раза медленнее, чем те часы, которыми определяется время в начале координат. Если мы обозначим через с0 скорость света в начале координат, то скорость света с в некотором месте с гравитационным потенциалом Ф будет равна ![]() (3) Согласно этой теории, принцип постоянства скорости света справедлив не в той формулировке, в какой он кладется в основу обычной теории относительности. ![]() Космический корабль пролетает мимо астронавта справа налево со скоростью 4/5 скорости света. Член экипажа испускает импульс света, который попадает в отражатель и возвращается обратно. Этот свет видят и астронавт-наблюдатель, и пассажиры корабля. Однако они по-разному оценят, какое расстояние прошел свет после отражения. По Эйнштейну, скорость света одинакова для всех свободно движущихся наблюдателей, хотя у каждого из них будет ощущение своей, отличной от других, скорости света. § 4. Искривление лучей света в гравитационном поле ![]() Из только что доказанного положения – скорость света в поле тяжести является функцией места – нетрудно с помощью принципа Гюйгенса доказать, что лучи света, распространяющиеся поперек поля тяжести, должны искривляться. В самом деле, пусть E – плоскость равной фазы некоторой плоской световой волны в момент времени t, а Р1 и Р2 – две точки на ней, расстояние между которыми равно единице. Точки Р1 и Р2 лежат в плоскости чертежа, которая выбрана так, что взятая по нормали к ней производная от Ф, а следовательно, и от с, обращается в нуль. Описывая около точек Р1 и Р2 окружности радиусами c1dt и c2dt и проводя к ним общую касательную, получаем плоскость равной фазы, точнее, ее сечение плоскостью чертежа для момента времени t + + dt, причем с1 и с2 представляют собой скорости света соответственно в точках Р1 и Р2. Следовательно, угол отклонения луча света на пути cdt составляет ![]() если мы его считаем положительным, когда луч света изгибается в сторону возрастания n’. Таким образом, угол отклонения на единицу пути луча света будет равен ![]() Наконец, для отклонения α, которое луч света испытывает на любом пути s в сторону n’, получаем выражение ![]() (4) Такой же результат можно было бы получить также путем непосредственного рассмотрения распространения луча света в равномерно ускоренной системе отсчета К’, преобразования результата к системе К и затем обобщения на случай гравитационного поля произвольного вида. ![]() Гравитационное поле массивного тела, например, Солнца, искривляет траекторию света далекой звезды. |
![Иллюстрация к книге — На плечах гигантов [i_102.jpg] Иллюстрация к книге — На плечах гигантов [i_102.jpg]](img/book_covers/073/73063/i_102.jpg)
![Иллюстрация к книге — На плечах гигантов [i_103.jpg] Иллюстрация к книге — На плечах гигантов [i_103.jpg]](img/book_covers/073/73063/i_103.jpg)
![Иллюстрация к книге — На плечах гигантов [i_104.jpg] Иллюстрация к книге — На плечах гигантов [i_104.jpg]](img/book_covers/073/73063/i_104.jpg)
![Иллюстрация к книге — На плечах гигантов [i_105.jpg] Иллюстрация к книге — На плечах гигантов [i_105.jpg]](img/book_covers/073/73063/i_105.jpg)
![Иллюстрация к книге — На плечах гигантов [i_106.jpg] Иллюстрация к книге — На плечах гигантов [i_106.jpg]](img/book_covers/073/73063/i_106.jpg)
![Иллюстрация к книге — На плечах гигантов [i_107.jpg] Иллюстрация к книге — На плечах гигантов [i_107.jpg]](img/book_covers/073/73063/i_107.jpg)
![Иллюстрация к книге — На плечах гигантов [i_108.jpg] Иллюстрация к книге — На плечах гигантов [i_108.jpg]](img/book_covers/073/73063/i_108.jpg)
![Иллюстрация к книге — На плечах гигантов [i_109.jpg] Иллюстрация к книге — На плечах гигантов [i_109.jpg]](img/book_covers/073/73063/i_109.jpg)
![Иллюстрация к книге — На плечах гигантов [i_110.jpg] Иллюстрация к книге — На плечах гигантов [i_110.jpg]](img/book_covers/073/73063/i_110.jpg)