Книга На плечах гигантов, страница 45 – Стивен Хокинг

Авторы: А Б В Г Д Е Ж З И Й К Л М Н О П Р С Т У Ф Х Ч Ш Ы Э Ю Я
Книги: А Б В Г Д Е Ж З И Й К Л М Н О П Р С Т У Ф Х Ц Ч Ш Щ Ы Э Ю Я
Бесплатная онлайн библиотека LoveRead.in

Онлайн книга «На плечах гигантов»

📃 Cтраница 45

причем «промежуток времени» следует понимать в смысле определения в § 1.

Рассмотрим покоящийся твердый стержень, и пусть его длина, измеренная также покоящимся масштабом, есть l. Пусть теперь стержню, ось которого направлена по оси X покоящейся координатной системы, сообщается равномерное и параллельное оси X поступательное движение (со скоростью v) в сторону возрастающих значений х. Поставим теперь вопрос о длине движущегося стержня, которую мы полагаем определенной с помощью следующих двух операций:

а) наблюдатель движется вместе с данным масштабом и с измеряемым стержнем и измеряет длину стержня непосредственно путем прикладывания масштаба так же, как если бы измеряемый стержень, наблюдатель и масштаб находились в покое;

б) наблюдатель устанавливает с помощью расставленных в покоящейся системе синхронных (в смысле § 1) покоящихся часов, в каких точках покоящейся системы расположены начало и конец измеряемого стержня в некоторый определенный момент времени t. Расстояние между этими двумя точками, измеренное использованным выше, но уже покоящимся масштабом, есть длина, которую можно обозначить как «длину стержня».

Согласно принципу относительности, длина, определяемая операцией «а», которую мы будем называть «длиной стержня в движущейся системе», должна равняться длине l покоящегося стержня.

Длину, устанавливаемую операцией «б», которую мы будем называть «длиной (движущегося) стержня в покоящейся системе», мы определим, основываясь на наших двух принципах, и найдем, что она отлична от l.

В обычно применяемой кинематике постулируется, что длины, определенные с помощью двух упомянутых операций, равны друг другу, или, другими словами, что движущееся твердое тело в момент времени t в геометрическом отношении вполне может быть заменено тем же телом, когда оно покоится в определенном положении.

Пусть теперь к обоим концам стержня (А и В) прикрепляются часы, синхронные с часами покоящейся системы. Другими словами, показания этих часов соответствуют «времени покоящейся системы» в тех местах, в которых эти часы как раз находятся; следовательно, эти часы «синхронны в покоящейся системе».

Далее, представим себе, что у каждых часов расположен движущийся вместе с ними наблюдатель, и пусть эти наблюдатели применяют к обоим часам установленный в § 1 критерий синхронности хода двух часов. Пусть в момент времени [9] tA из А выходит луч света, отражается в В в момент времени tB и возвращается назад в А в момент времени t’A. Принимая во внимание принцип постоянства скорости света, находим

Иллюстрация к книге — На плечах гигантов [i_090.jpg]

где rАВ – длина движущегося стержня, измеренная в покоящейся системе.

Таким образом, наблюдатели, движущиеся вместе со стержнем, придут к выводу, что часы в точках А и В не идут синхронно, в то время как наблюдатели, находящиеся в покоящейся системе, объявили бы эти часы синхронными. Итак, мы видим, что не следует придавать абсолютного значения понятию одновременности. Два события, одновременные при наблюдении из одной координатной системы, уже не воспринимаются как одновременные при рассмотрении из системы, движущейся относительно данной системы.

О ВЛИЯНИИ СИЛЫ ТЯЖЕСТИ НА РАСПРОСТРАНЕНИЕ СВЕТА

В опубликованной четыре года назад работе [10] уже была предпринята попытка ответить на вопрос, влияет ли тяготение на распространение света. Мы снова возвращаемся к этой теме, так как не удовлетворены прежним изложением этого вопроса. Кроме того, мы теперь еще раз убедились в том, что один из наиболее важных выводов указанной работы поддается экспериментальной проверке. Действительно, проходящие вблизи Солнца лучи, согласно излагаемой ниже теории, испытывают под влиянием поля тяготения Солнца отклонение. В результате такого отклонения должно произойти кажущееся увеличение углового расстояния между оказавшейся вблизи Солнца неподвижной звездой и самим Солнцем почти на одну дуговую секунду.

Иллюстрация к книге — На плечах гигантов [i_091.jpg]

Самая знаменитая формула всех времен и ее легендарная запись, сделанная рукой самого Эйнштейна.


Развитие этих идей привело также к некоторым результатам, относящимся к тяготению. Так как изложение всех рассуждений было бы громоздким в ущерб ясности, то ниже приведем только некоторые элементарные соображения, с помощью которых удобно ориентироваться как в предпосылках, так и в логическом развитии теории. Выведенные в настоящей работе соотношения, даже если теоретическое основание их и соответствует действительности, являются верными только в первом приближении.

§ 1. Гипотеза о физической природе гравитационного поля

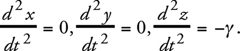
Пусть в однородном поле тяжести (ускорение силы тяжести) расположена покоящаяся координатная система К, ориентированная так, что силовые линии поля идут в отрицательном направлении оси z. Пусть в пространстве, свободном от гравитационных полей, находится вторая координатная система К’, которая равномерно ускоренно (с ускорением γ) движется в положительном направлении своей оси z. Для того чтобы не усложнять рассуждения, мы откажемся от теории относительности и рассмотрим обе системы в рамках привычной кинематики, а совершающиеся в них движения – в рамках обычной механики. Тогда материальные точки, которые не подвергаются влиянию со стороны других материальных точек, движутся относительно К, как и относительно К’, в соответствии с уравнениями

Иллюстрация к книге — На плечах гигантов [i_092.jpg]

Для ускоренной системы отсчета К’ это следует прямо из принципа Галилея. Для покоящейся в однородном гравитационном поле системы отсчета К это следует из того опытного факта, что все тела в таком поле ускоряются равномерно и одинаково сильно. Этот опытный факт об одинаковом ускорении падения всех падающих в гравитационном поле тел является одним из наиболее общих фактов, установленных нами из наблюдений. Несмотря на это, закон этот не нашел еще отражения в основах нашей физической картины мира.

Однако мы придем к удовлетворительной интерпретации этого опытного закона, если допустим, что системы отсчета К и К’ физически в точности равноправны, другими словами, если мы допустим, что систему К равным образом можно рассматривать как систему, находящуюся в пространстве, свободном от поля тяжести, но при этом мы должны рассматривать К как равномерно ускоренную систему. При таком подходе нельзя говорить об абсолютном ускорении координатной системы, так же как нельзя в обычной теории относительности говорить об абсолютной скорости системы [11]. С этой точки зрения одинаковое ускорение всех падающих тел в гравитационном поле очевидно.

Вход
Поиск по сайту
Ищем:
Календарь