Книга Журнал "Наука. Величайшие теории" №2. Самая притягательная сила природы. Ньютон. Закон всемирного тяготения, страница 20 – Антонио Дуран

Авторы: А Б В Г Д Е Ж З И Й К Л М Н О П Р С Т У Ф Х Ч Ш Ы Э Ю Я
Книги: А Б В Г Д Е Ж З И Й К Л М Н О П Р С Т У Ф Х Ц Ч Ш Щ Ы Э Ю Я
Бесплатная онлайн библиотека LoveRead.in

Онлайн книга «Журнал "Наука. Величайшие теории" №2. Самая притягательная сила природы. Ньютон. Закон всемирного тяготения»

📃 Cтраница 20
Иллюстрация к книге — Журнал "Наука. Величайшие теории" №2. Самая притягательная сила природы. Ньютон. Закон всемирного тяготения [pic_46.jpg]

КАВАЛЬЕРИ И РОЖДЕНИЕ ЗНАКА БЕСКОНЕЧНОСТИ


Итальянский иезуит Бонавентура Кавальери (1598-1647) придумал метод определения площадей и объемов и описал его в трудах «Геометрия, изложенная новым способом при помощи неделимых непрерывного» (Geome- tria indivisibilibus) (1635) и «Геометрические этюды» (Exercitationes geometricae) (1647). Кавальери предложил разложить геометрические величины на бесконечное количество элементов, или неделимых, которые представляют собой последние возможные значения этого разложения.

Затем он решил представить объемы, поверхности и длины в виде бесконечной суммы неделимых. Британец Джон Валлис (1616-1703), член-основатель Королевского общества, которого можно считать прямым предшественником Ньютона и Лейбница, перевел на арифметическую основу метод неделимых Кавальери и присвоил им числовые значения, превратив таким образом анализ площадей (до того момента исключительно геометрический) в арифметический анализ. В трактате «О конических сечениях» (De sectionibus conicus) (1655) Валлис предложил представить бесконечность при помощи символа oo.

Иллюстрация к книге — Журнал "Наука. Величайшие теории" №2. Самая притягательная сила природы. Ньютон. Закон всемирного тяготения [pic_47.jpg]

Ньютон и Лейбниц поняли, что за всеми этими внешне разными процессами стоят одни и те же фундаментальные понятия, и связали их в единое целое. Кроме того, ученые разработали несколько общих алгоритмических методов для анализа и решения самых разных задач, среди них – вычисление степеней биномов. Ньютон разработал понятие флюксий – сходное с понятием производной – и показал, что, например, чтобы рассчитать площадь, очерченную кривой, достаточно посчитать флюенту (ньютоновский аналог современных функций), то есть, другими словами, найти интеграл.

Ньютон показал, как эти понятия – дифференциал и интеграл в терминологии Лейбница – могут использоваться для решения не только частных задач касательных, максимальных и минимальных значений или расчета площади, но и бесконечного количества других. В результате ему удалось превратить набор разрозненных операций, совершенных его предшественниками, в общий математический анализ.

Очень скоро изобретение продемонстрировало удивительную эффективность. Благодаря анализу бесконечно малых сложные расчеты площадей, которые принесли Архимеду славу гения, или обратные задачи, над решением которых бились лучшие математики середины XVII века, сегодня являются или, по крайней мере, должны являться упражнениями, доступными для ученика средней школы.

Хотя об этом часто забывают, слава Ньютона и его гениальность во многом определяются его математическими способностями и воображением: талант математика, сделавший возможным удивительные открытия ученого, например анализ бесконечно малых, в значительной степени отличает его от других ученых того времени. Вспомним, например, Гука, Галлея и Рена, собравшихся в кафе и пытающихся рассчитать орбиты планет, которые зависят от притяжения Солнца. Основным инструментом, которого им не хватало для успешных вычислений, был именно анализ бесконечно малых.

Ньютон построил цельную систему мира, что превратило его в самого успешного из всех ученых. Как подметил Лагранж, «систему мира можно открыть лишь один раз». И этим открытием Ньютон обязан именно своему великолепному владению математикой. Не стоит считать ученого исключительно физиком – он был скорее натурфилософом, а еще точнее – прикладным математиком. Напомним, что по этому поводу написал Д. Т. Уайтсайд, занимавшийся изданием математических манускриптов английского гения:

«Никогда не стоит забывать, что Ньютон представлял математику сундуком с инструментами истины, видел в ней внутреннюю красоту и мощь, независимые от внешних побуждений. […] В те времена не было в мире математики ученого ни более талантливого, ни более осведомленного; никто не был таким способным в алгебре, таким искусным в геометрии, достойным и знающим все тонкости анализа бесконечно малых».


DE ANALYSI


В конце июня 1669 года, за несколько дней, Ньютон написал «Анализ с помощью уравнений с бесконечным числом членов» (De analysi), основываясь на исследованиях, которые он проводил с 1664 года. Содержание и идея этого трактата имели огромную ценность. Обнародовав его, Ньютон превратился в первооткрывателя анализа бесконечно малых, а сам «Анализ» стал великой хартией новой дисциплины. В первой части трактата Ньютон показал, каким образом, используя степенные ряды, вычисление площади можно расширить до огромного разнообразия функций. Таким образом, был сделан гигантский шаг вперед в решении проблемы расчета площади, ограниченной кривой, – вопроса, который поднимался еще греческими математиками.

Хотя могло сложиться впечатление, что Ньютон стремился найти решение для случая с определенным количеством кривых, в реальности он сделал гораздо больше: он смог обобщить процесс и вычислить некое абстрактное значение. Ньютон пишет: «Все задачи о длине кривых, об объеме и площади поверхности, а также о центре тяжести могут быть решены, когда будет вычислена площадь плоской поверхности, ограниченной кривой линией». Этими словами ученый хотел очертить границы первой части трактата, в которой был представлен общий метод, и отделить ее от второй, где был показан пример его применения. Мы можем согласиться, что результат не слишком впечатлял: Ньютон придавал огромное значение абстрактному характеру операции, хотя на этой начальной стадии, когда идея только вызревала в его голове, достаточно сложно было просто выразить ее и разъяснить. Также вероятно, что в этот период ему не хватало подходящих названий и обозначений.

Итак, требовалось решить абстрактную задачу: рассчитать функцию, зная ее производную. Кроме того, устанавливался обратный характер процесса к расчету вариации (производной) функции, и в итоге Ньютон давал алгоритмическую операцию для расчета этой вариации, хотя ее описание в «Анализе» минимально и отсутствуют ясные правила нахождения производной, как и у Лейбница. Сказанное подводит нас к тому, что работа Ньютона сделала анализ бесконечно малых реальностью.


ФЛЮЕНТЫ И ФЛЮКСИИ


Второй труд Ньютона, «О методе рядов и флюксий» (De methodis serierum etfluxionum), – самый значительный из посвященных анализу бесконечно малых, был написан через два года после «Анализа» (De analysi) но опубликован только в 1736 году, уже после смерти ученого.

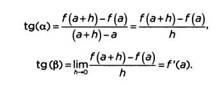
В этой работе Ньютон представляет понятия флюенты и флюксии. Первая (флюента) – это переменная, меняющая свое значение с течением времени, вторая (флюксия) – производная этой переменной по времени:

Вход
Поиск по сайту
Ищем:
Календарь