Онлайн книга «Журнал "Наука. Величайшие теории" №2. Самая притягательная сила природы. Ньютон. Закон всемирного тяготения»
|
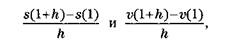
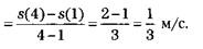
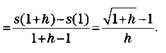
Однако этот результат лишь кажется абсурдным, поскольку, как показывает предыдущая таблица для наших функций s(t) = sqrt(t) и v(t) = t² , когда h – маленькое число, хотя и стремящееся к нулю, оба частных, ![]() вполне имеют смысл и похожи на уже полученные значения: 0,5 для функции s(t) = sqrt(t), и 2 – для функции v(t) = t². Немного дальше мы увидим, что на самом деле эти значения совпадают с производными обеих функций в точке 1: s'(1) = 0,5, v’(l) = 2. Однако деление на ноль, с которым столкнулись при вычислении производной ученые XVII века, представляло некоторую сложность, которая появлялась каждый раз, когда они пытались вычислить, например, касательную к кривой или мгновенную скорость при известном расстоянии, пройденном движущимся телом. Следует иметь в виду, что до появления анализа бесконечно малых (а произошло это в конце XVII века) могли изучаться только самые простые виды движения: равномерное движение, при котором пройденное расстояние линейно зависит от времени, скорость постоянна и отсутствует ускорение, или равномерно ускоренное движение, когда пройденное расстояние пропорционально квадрату времени и, таким образом, скорость пропорциональна времени и постоянному ускорению. Изучение последнего вида движения, которое наблюдается, например, при падении тела под воздействием силы тяготения, потребовало всех мыслительных способностей гениального Галилея, который вник в сущность явления за несколько десятилетий до того, как благодаря анализу бесконечно малых изучение этого типа движения стало относительно простым. Вернемся к одному из наших примеров: тело в движении прошло расстояние s(t) = sqrt(t) за время t (время мы измеряем в секундах, а расстояние – в метрах). Расчет средней скорости, с которой двигается тело, – задача легкая: например, за период времени между 1 и 4 секундами средняя скорость будет равняться результату деления пройденного расстояния на затраченное время: Средняя скорость ![]() Но что произойдет, если вместо средней скорости за интервал времени мы захотим измерить мгновенную скорость, с которой движется тело в конкретный момент? Для простоты представим, что мы хотим измерить эту скорость именно в тот момент, когда наступает первая секунда движения. Для этого возьмем изменение времени h и посчитаем среднюю скорость между 1 и 1 + h. Средняя скорость
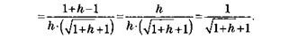
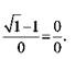
Чтобы посчитать мгновенную скорость в первую секунду, достаточно приравнять h к нулю. Но тогда, как и ранее, мы получим не имеющий смысла результат: Мгновенная скорость в момент времени 1 =
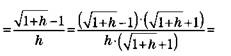
Это происходит потому, что мгновенная скорость соответствует значению производной функции, которая измеряет расстояние s(t) = sqrt(t) при t = 1. Предыдущая таблица показывала, что значение этой производной должно быть 0,5. Теперь посмотрим как, используя предыдущее выражение, мы можем выполнить кажущееся бессмысленным деление на ноль и получить ожидаемое значение: Средняя скорость
Далее умножаем числитель и знаменатель на sqrt(1+h) + 1 и сокращаем: Средняя скорость
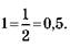
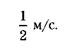
Если в этом выражении мы приравняем значение h к нулю, задача меняется, и при h = 0 отсутствует деление на ноль. Как и подсказывала таблица, частное при h = 0 составляет 0,5. В физических терминах это означает: Мгновенная скорость в момент времени ![]() Таким образом, от бессмысленного деления нуля на ноль мы пришли к заключению, что если тело проходит sqrt(t) метров за t секунд, то за 1 секунду оно движется со скоростью: ![]() ИНТЕГРАЛ И ОСНОВНАЯ ТЕОРЕМА АНАЛИЗА Другое базовое понятие анализа бесконечно малых – интеграл. Он применяется для измерения площади графика функции. Пусть у нас есть функция ƒ, определенная между числами a и b, тогда интеграл . символ интегралbaƒ(t)dt есть площадь образованной функцией фигуры. Символ символ интеграл для записи интеграла ввел Лейбниц, он является стилизацией буквы s – первой буквы слова «сумма». Почему выбор Лейбница пал именно на нее, мы увидим позже. |
![Иллюстрация к книге — Журнал "Наука. Величайшие теории" №2. Самая притягательная сила природы. Ньютон. Закон всемирного тяготения [pic_32.jpg] Иллюстрация к книге — Журнал "Наука. Величайшие теории" №2. Самая притягательная сила природы. Ньютон. Закон всемирного тяготения [pic_32.jpg]](img/book_covers/073/73029/pic_32.jpg)
![Иллюстрация к книге — Журнал "Наука. Величайшие теории" №2. Самая притягательная сила природы. Ньютон. Закон всемирного тяготения [pic_33.jpg] Иллюстрация к книге — Журнал "Наука. Величайшие теории" №2. Самая притягательная сила природы. Ньютон. Закон всемирного тяготения [pic_33.jpg]](img/book_covers/073/73029/pic_33.jpg)
![Иллюстрация к книге — Журнал "Наука. Величайшие теории" №2. Самая притягательная сила природы. Ньютон. Закон всемирного тяготения [pic_34.jpg] Иллюстрация к книге — Журнал "Наука. Величайшие теории" №2. Самая притягательная сила природы. Ньютон. Закон всемирного тяготения [pic_34.jpg]](img/book_covers/073/73029/pic_34.jpg)
![Иллюстрация к книге — Журнал "Наука. Величайшие теории" №2. Самая притягательная сила природы. Ньютон. Закон всемирного тяготения [pic_35.jpg] Иллюстрация к книге — Журнал "Наука. Величайшие теории" №2. Самая притягательная сила природы. Ньютон. Закон всемирного тяготения [pic_35.jpg]](img/book_covers/073/73029/pic_35.jpg)
![Иллюстрация к книге — Журнал "Наука. Величайшие теории" №2. Самая притягательная сила природы. Ньютон. Закон всемирного тяготения [pic_36.jpg] Иллюстрация к книге — Журнал "Наука. Величайшие теории" №2. Самая притягательная сила природы. Ньютон. Закон всемирного тяготения [pic_36.jpg]](img/book_covers/073/73029/pic_36.jpg)
![Иллюстрация к книге — Журнал "Наука. Величайшие теории" №2. Самая притягательная сила природы. Ньютон. Закон всемирного тяготения [pic_37.jpg] Иллюстрация к книге — Журнал "Наука. Величайшие теории" №2. Самая притягательная сила природы. Ньютон. Закон всемирного тяготения [pic_37.jpg]](img/book_covers/073/73029/pic_37.jpg)
![Иллюстрация к книге — Журнал "Наука. Величайшие теории" №2. Самая притягательная сила природы. Ньютон. Закон всемирного тяготения [pic_38.jpg] Иллюстрация к книге — Журнал "Наука. Величайшие теории" №2. Самая притягательная сила природы. Ньютон. Закон всемирного тяготения [pic_38.jpg]](img/book_covers/073/73029/pic_38.jpg)
![Иллюстрация к книге — Журнал "Наука. Величайшие теории" №2. Самая притягательная сила природы. Ньютон. Закон всемирного тяготения [pic_39.jpg] Иллюстрация к книге — Журнал "Наука. Величайшие теории" №2. Самая притягательная сила природы. Ньютон. Закон всемирного тяготения [pic_39.jpg]](img/book_covers/073/73029/pic_39.jpg)
![Иллюстрация к книге — Журнал "Наука. Величайшие теории" №2. Самая притягательная сила природы. Ньютон. Закон всемирного тяготения [pic_40.jpg] Иллюстрация к книге — Журнал "Наука. Величайшие теории" №2. Самая притягательная сила природы. Ньютон. Закон всемирного тяготения [pic_40.jpg]](img/book_covers/073/73029/pic_40.jpg)