Книга Магия математики. Как найти x и зачем это нужно, страница 75 – Артур Бенджамин

Авторы: А Б В Г Д Е Ж З И Й К Л М Н О П Р С Т У Ф Х Ч Ш Ы Э Ю Я
Книги: А Б В Г Д Е Ж З И Й К Л М Н О П Р С Т У Ф Х Ц Ч Ш Щ Ы Э Ю Я
Бесплатная онлайн библиотека LoveRead.in

Онлайн книга «Магия математики. Как найти x и зачем это нужно»

📃 Cтраница 75

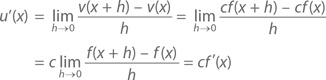
Что же касается второго утверждения нашей теоремы, то при v(x) = cf(x)

Иллюстрация к книге — Магия математики. Как найти x и зачем это нужно [i_461.jpg]

что и требовалось доказать.◻

Чтобы продифференцировать функцию f(x) = x4, сначала распишем ее в следующем виде: f(x + h) = (x + h)4 = x4 + 4x³h + 6x²h² + 4xh³ + h4. Коэффициенты выглядят знакомо, правда? 1, 4, 6, 4, 1… Это же числа из 4 ряда треугольника Паскаля (см. главу 4)! Следовательно,

Иллюстрация к книге — Магия математики. Как найти x и зачем это нужно [i_462.jpg]

а так как h → 0, получается, что f′(x) = 4x³. Видите закономерность? Производные x, x², x³ и x4 равны 1, 2x, 3x² и 4x³ соответственно. Применение того же алгоритма к бо́льшим степеням приводит нас к одному важному правилу. (Кстати, другое популярное обозначение производной – y′. Так и будем писать.)

Теорема (правило дифференцирования степенной функции): При n ≥ 0

y = xn имеет производную y′ = nxn – 1

Например,

если y = x5, то y′ = 5x4

а

если y = x10, то y′ = 10x9

С помощью этого закона можно дифференцировать даже функции-константы, вроде y = 1, потому что 1 = x0, а y = x0 имеет производную 0x–1 = 0 при любом значении x. Это объясняется тем, что линия y = 1 является горизонтальной. Исходя из правила дифференцирования степенной функции и предыдущей теоремы, мы сможем дифференцировать любой многочлен. Например, если

y = x10 + 3x5 x3 – 7x + 2520

то

y′ = 10x9 + 15x4 – 3x2 – 7

Правило дифференцирования степенной функции верно и при отрицательных значениях n. Например, если

Иллюстрация к книге — Магия математики. Как найти x и зачем это нужно [i_463.jpg]

Аналогичным образом, если

Иллюстрация к книге — Магия математики. Как найти x и зачем это нужно [i_464.jpg]

Жаль только, что доказать это нам пока что не по силам.

Перед тем как дифференцировать более сложные функции, применим уже полученные знания в не менее интересных и полезных целях. Например, в целях оптимизации.

Максимум против минимума

Дифференциация нужна для того, чтобы выяснять, где функция достигает своего максимума, а где – минимума. При каком, например, значении x парабола y = x² – 8x + 10 достигает своей низшей точки?

Иллюстрация к книге — Магия математики. Как найти x и зачем это нужно [i_465.jpg]

Как вы, наверняка, помните, проведенная через нее касательная должна иметь наклон 0. Так как y' = 2x – 8, уравнение 2x – 8 = 0 приведет нас к минимуму при x = 4 (кстати, y = 16 – 32 + 10 = –6). Для y = f(x) значение x, удовлетворяющее f'(x) = 0, называется критической точкой функции f. Функция y = x² – 8x + 10, например, имеет только одну критическую точку – x = 4.

Где же максимум? В нашем примере его попросту нет: значение y-координаты для x² – 8x + 10 может быть сколь угодно большим. Ограничить его можно одним единственным способом – определив для x пределы значений. Возьмем для примера 0 ≤ x ≤ 6. Тогда при x = 0 y будет равен 10, а при x = 6 – −2, то есть критической точкой для этой функции является x = 0. Обобщение этого приводит нас к одной очень важной теореме.

Теорема (теорема об экстремуме функции в точке): Если дифференцируемая на отрезке функция y = f(x) принимает максимальное или минимальное значение в точке x*, то x* должна быть либо критической точкой f, либо граничной точкой отрезка.

Давайте на секунду вернемся в начало главы, к задаче с лотком. Нам нужно, по сути, максимизировать функцию

y = (12 – 2xx = 4x³ – 48x² + 144x

где x должен находиться в диапазоне от 0 до 6. Нам нужно найти такой x, при котором значение y будет наибольшим. Так как наша функция представляет собой многочлен, ее производную можно найти как

y' = 12x² – 96x + 144 = 12(x² – 8x + 12) = 12(x – 2)(x – 6)

Следовательно, ее критическими точками будут x = 2 и x = 6.

А так как мы знаем, что при объеме, равном 0, и конечных точках, равных 0 и 6, объем будет минимальным, нам остается только одна критическая точка – x = 2. Именно она и даст нам максимум – y = 128 см³.

Правила дифференцирования

Чем больше функций мы продифференцируем, тем больше задач сможем решить. Пожалуй, самой важной функцией в исчислении является показательная функция y = ex. Ее особенность в том, что она равна собственной производной.

Теорема: Если y = ex, то y' = ex.

Вход
Поиск по сайту
Ищем:
Календарь