Онлайн книга «Магия математики. Как найти x и зачем это нужно»
|
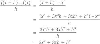
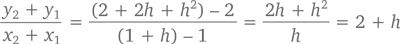
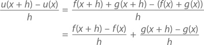
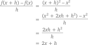
Теперь рассмотрим функцию y = x² + 1, изображенную на графике внизу. Это не прямая: мы можем проследить, как постоянно меняется ее наклон. А вот касательная, проходящая через точку (1, 2) – прямая. Попробуем определить ее наклон. ![]() Для этого нам нужны хотя бы две точки. Что же делать? Придется взять еще одну линию – такую, которая пересекает кривую функции как минимум дважды (так называемую секущую). Приняв x = 1,5, мы получаем y = (1,5)² + 1 = 3,25. Согласно уже рассмотренной нами формуле, наклон секущей составляет ![]() ![]() Для более точного результата переместим вторую точку как можно ближе к (1, 2). Скажем, если x = 1,1, то y = (1,1)² + 1 = 2,21, а наклон секущей – m = (2,21 – 2)/(1,1 – 1) = 2,1. Посмотрите на таблицу: при постепенном приближении второй точки к (1, 2), наклон секущей будет столь же постепенно приближаться к 2. ![]() Посмотрим, что происходит, когда x = 1 + h (при h ≠ 0), но лишь чуть-чуть отличается от x = 1. Тогда y = (1 + h)² + 1 = 2 + 2h + h², а наклон секущей составит ![]() То есть при приближении h к 0 наклон графика функции будет приближаться к 2. В записи это выглядит так: ![]() Подобным представлением мы хотим сказать, что предел 2 + h при значении h, стремящемся к 0, равен 2. Так мы и узнаем наклон касательной к кривой y = x² + 1 в точке (1, 2) – 2. А вот как все это выглядит в обобщенном виде. Нам нужно найти наклон касательной к кривой y = f(x) в точке (x, f(x)). Как видно на графике, наклон секущей, проходящей через точку (x, f(x)) и соседнюю с ней (x + h, f(x + h)), составляет ![]() Представим наклон касательной, проходящей через точку (x, f(x)), как f′(x): ![]() Выглядит не очень-то понятно, поэтому давайте возьмем парочку более конкретных примеров. Для прямой линии y = mx +b, а f(x) = mx + b. Чтобы найти f(x + h), нужно заменить x на x + h – это позволит нам подсчитать f(x + h) = m(x + h) + b. Следовательно, наклон секущей равен ![]() Наклон касательной будет равен m при любом значении x, поэтому f′(x) = m. Объясняется это тем, что линия y = mx + b всегда имеет наклон m. Обратимся к производной функции y = x². Согласно только что сформулированному определению, ![]() а так как h стремится к 0, f′(x) должно быть равно 2x. При f(x) = x³ получаем ![]() а так как h стремится к 0, f′(x) должно быть равно 3x². Поиск производной функции f′(x) на основании функции y = f(x) называется дифференцированием. Впрочем, все не так сложно, как кажется: потренировавшись как следует и найдя производные нескольких простых функций, мы легко сможем определить их и для сложных функций. И, что самое приятное, никаких пределов! А вот и подходящая теорема. Теорема: Если u(x) = f(x) + g(x), то u′(x) = f′(x) + g′(x). Другими словами, производная суммы есть сумма производных. Также если с – действительное число, производная cf(x) равна cf′(x). Как следствие, мы можем утверждать, что, поскольку y = x³ имеет производную 3x², а y = x² – производную 2x, производная y = x³ + x² будет равна 3x² + 2x (например, производная функции y = 10x³ – 30x²). Отступление Доказательство: Предположим, что u(x) = f(x) + g(x). Тогда ![]() Положив h → 0 в качестве предела для обеих частей этого уравнения, получим u'(x) = f'(x) + g'(x)◻ Обратите внимание, что, применяя этот предел справа, мы исходим из предположения, что предел суммы равен сумме пределов. Доказывать это мы, пожалуй, не станем – просто доверимся здравому смыслу, говорящему, что при приближении значений a и b к A и B значение a + b будет приближаться к A + B. Та же логика подсказывает нам, что предел произведения равен произведению пределов, а предел частного равен частному пределов. Но то, что справедливо для пределов, необязательно будет справедливо для производных. Например, производная произведения не равна произведению производных. |
![Иллюстрация к книге — Магия математики. Как найти x и зачем это нужно [i_449.jpg] Иллюстрация к книге — Магия математики. Как найти x и зачем это нужно [i_449.jpg]](img/book_covers/072/72991/i_449.jpg)
![Иллюстрация к книге — Магия математики. Как найти x и зачем это нужно [i_450.jpg] Иллюстрация к книге — Магия математики. Как найти x и зачем это нужно [i_450.jpg]](img/book_covers/072/72991/i_450.jpg)
![Иллюстрация к книге — Магия математики. Как найти x и зачем это нужно [i_451.jpg] Иллюстрация к книге — Магия математики. Как найти x и зачем это нужно [i_451.jpg]](img/book_covers/072/72991/i_451.jpg)
![Иллюстрация к книге — Магия математики. Как найти x и зачем это нужно [i_452.jpg] Иллюстрация к книге — Магия математики. Как найти x и зачем это нужно [i_452.jpg]](img/book_covers/072/72991/i_452.jpg)
![Иллюстрация к книге — Магия математики. Как найти x и зачем это нужно [i_453.jpg] Иллюстрация к книге — Магия математики. Как найти x и зачем это нужно [i_453.jpg]](img/book_covers/072/72991/i_453.jpg)
![Иллюстрация к книге — Магия математики. Как найти x и зачем это нужно [i_454.jpg] Иллюстрация к книге — Магия математики. Как найти x и зачем это нужно [i_454.jpg]](img/book_covers/072/72991/i_454.jpg)
![Иллюстрация к книге — Магия математики. Как найти x и зачем это нужно [i_455.jpg] Иллюстрация к книге — Магия математики. Как найти x и зачем это нужно [i_455.jpg]](img/book_covers/072/72991/i_455.jpg)
![Иллюстрация к книге — Магия математики. Как найти x и зачем это нужно [i_456.jpg] Иллюстрация к книге — Магия математики. Как найти x и зачем это нужно [i_456.jpg]](img/book_covers/072/72991/i_456.jpg)
![Иллюстрация к книге — Магия математики. Как найти x и зачем это нужно [i_457.jpg] Иллюстрация к книге — Магия математики. Как найти x и зачем это нужно [i_457.jpg]](img/book_covers/072/72991/i_457.jpg)
![Иллюстрация к книге — Магия математики. Как найти x и зачем это нужно [i_458.jpg] Иллюстрация к книге — Магия математики. Как найти x и зачем это нужно [i_458.jpg]](img/book_covers/072/72991/i_458.jpg)
![Иллюстрация к книге — Магия математики. Как найти x и зачем это нужно [i_459.jpg] Иллюстрация к книге — Магия математики. Как найти x и зачем это нужно [i_459.jpg]](img/book_covers/072/72991/i_459.jpg)
![Иллюстрация к книге — Магия математики. Как найти x и зачем это нужно [i_460.jpg] Иллюстрация к книге — Магия математики. Как найти x и зачем это нужно [i_460.jpg]](img/book_covers/072/72991/i_460.jpg)