Книга Магия математики. Как найти x и зачем это нужно, страница 66 – Артур Бенджамин

Авторы: А Б В Г Д Е Ж З И Й К Л М Н О П Р С Т У Ф Х Ч Ш Ы Э Ю Я
Книги: А Б В Г Д Е Ж З И Й К Л М Н О П Р С Т У Ф Х Ц Ч Ш Щ Ы Э Ю Я
Бесплатная онлайн библиотека LoveRead.in

Онлайн книга «Магия математики. Как найти x и зачем это нужно»

📃 Cтраница 66

Графики эти будут повторяться с шагом 2π (тауисты, на старт!). Происходит это из-за того, что как синус, так и косинус берут свои начала в окружности, а угол x + 2π по своей природе ничем не отличается от угла x. Именно поэтому эти функции называются периодическими, а шаг 2π – периодом синуса и косинуса. Кстати, если сдвинуть график косинуса вправо на π/2, он точь-в-точь совпадет с графиком синуса, потому что значение π/2 в радианах соответствует углу 90°. Из всего этого следует, что

sin x = cos (π/2 – x) = cos (x – π/2)

(например, sin 0 = 0 = cos (–π/2), а sin π/2 = 1 = cos 0).

Тангенс, равный, как мы помним, sin x/cos x, так и останется неопределенным при cos x = 0 (что происходит всякий раз, когда линия графика проходит ровно посередине двух значений, кратных числу π). Значит, период тангенса равен π.

Иллюстрация к книге — Магия математики. Как найти x и зачем это нужно [i_401.jpg]

Синуса и косинуса, в принципе, достаточно, чтобы прийти к любой другой периодической тригонометрической функции. Именно благодаря такому своему уникальному свойству, как периодичность, они обрели огромную популярность для решения практических задач, в условиях которых заложена цикличность и «сезонность». Это и измерение температур, и анализ экономических данных, и многое другое. А еще с тригонометрическими функциями так или иначе связаны звуковые колебания, волны на воде, электричество и даже сердцебиение.

Ну и, по традиции, в завершение главы – самое интересное: между тригонометрией и числом π существует удивительная, поистине волшебная связь. Хотите ее увидеть? Возьмите калькулятор и наберите на нем столько пятерок, сколько получится. У меня, например, на экране уместилось их целых 16 – 5 555 555 555 555 555. Теперь посчитайте величину, обратную этому числу; у меня получилось

1/5 555 555 555 555 555 = 1,8 ×10–16

Нажмите кнопку «sin» и посмотрите, что у вас получилось (вначале может идти несколько нолей – просто не обращайте на них внимания). Лично на меня с дисплея смотрело число

3,1415926535898 × 10–18

которое (после отбрасывания 17 нолей, идущих за запятой) почти в точности повторяло первые 16 цифр числа π! К тому же результату можно прийти, начав с любого числа, состоящего как минимум из пяти пятерок.

В этой главе мы выяснили, зачем нужна тригонометрия, и увидели, как она помогает нам лучше понять свойства треугольников и окружностей. Тригонометрические функции – не просто «вещи в себе», они взаимодействуют, вступая друг с другом в замысловатые, но прекрасные в своей стройности отношения. А еще мы проследили их связь с числом π. Теперь черед за двумя другими важнейшими для математики величинами: иррациональной e = 2,71828… и мнимой i.

Глава номер десять
Магия чисел i и e
Иллюстрация к книге — Магия математики. Как найти x и зачем это нужно [i_402.jpg]
Самая прекрасная математическая формула

Время от времени (с завидной, надо признать, регулярностью) математические и другие научные периодические издания проводят среди своих читателей опросы, предлагая им выбрать самое красивое уравнение. И раз за разом в числе лидеров оказывается она – удивительная формула, известная как тождество Эйлера:

eiπ + 1 = 0

Некоторые даже называют ее «уравнением Бога», ведь в ней сошлись вместе пять фундаментальных констант, пять самых важных чисел математики: 0 и 1 – начала всех арифметических начал, π, позволяющее постичь геометрию, e, открывающее врата во вселенную исчисления, и i, из которого произрастает древо алгебры.

В нем прекрасны и отношения между этими числами: сложение, умножение и возведение в степень – все то, что символизирует рост.

О ноле, единице и π мы уже кое-что знаем, самое время разобраться с иррациональным e и мнимым i. А когда разберемся, вы удивитесь, насколько простым вам покажется тождество Эйлера, буквально как 1 + 1 = 2 (ну или хотя бы как cos 180° = –1).

Отступление

А вот еще несколько постоянных претендентов на корону самой красивой формулы. Большинство из них уже встречались вам на уже прочитанных страницах или скоро встретятся на непрочитанных. Первые два также рождены гением Леонарда Эйлера.

Иллюстрация к книге — Магия математики. Как найти x и зачем это нужно [i_403.jpg]
Мнимое число i: квадратный корень –1

Загадочная природа числа i кроется в формуле

i² = –1

На первый взгляд это кажется совершенно невозможным: разве может быть отрицательным число, умноженное несколько раз на само себя? В конце концов, даже 0² = 0, а любая возведенная в квадрат отрицательная величина обязана стать положительной, разве нет? Не спешите рубить с плеча. Вспомните, ведь было такое время, когда вы вообще ничего не знали об отрицательных числах, да и, узнав, вряд ли сразу же поверили в их существование (как и многие-многие математики до вас). Что это вообще за глупость – количество, меньшее, чем 0? Как что-то может быть меньше, чем ничто? Но потом в вашей жизни появляется некая ось (вроде той, что изображена чуть ниже), а вместе с ней – и все ее обитатели: положительные значения, расположившиеся справа от 0, и отрицательные значения, расположившиеся слева. В точно таком же, нестандартном ключе нам следует рассматривать и число i – тогда-то нам и откроется его истинное, реальное значение.

Иллюстрация к книге — Магия математики. Как найти x и зачем это нужно [i_404.jpg]

Число i считается мнимым – таким, которое при возведении в квадрат дает отрицательный результат. Мнимое число 2i, например, дает (2i)(2i) = 4i² = –4.

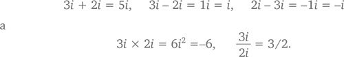
В алгебраическом смысле мнимые числа ничем не отличаются от чисел действительных. Судите сами:

Иллюстрация к книге — Магия математики. Как найти x и зачем это нужно [i_405.jpg]

Кстати, если взять и возвести в квадрат – i, получится тот же результат (–1), потому что (–i)(–i) = i² = –1. Не менее предсказуемы и последствия перемножения мнимого и действительного чисел – скажем, 3 × 2i = 6i.

Вход
Поиск по сайту
Ищем:
Календарь