Онлайн книга «Красота в квадрате. Как цифры отражают жизнь и жизнь отражает цифры»
|
Если маленькая сеть начнет расти по принципу предпочтительного присоединения, то со временем она будет напоминать крупную сеть Если бы сеть, расположенная сверху, расширялась по принципу предпочтительного присоединения, после включения в нее пары сотен новых узлов она выглядела бы так же, как сеть снизу. У большинства узлов этой сети есть только одна связь, и всего несколько узлов (называемых хабами) имеют несколько связей. Если упорядочить узлы по числу связей и построить график, получится уже знакомая вам кривая с длинным хвостом. «Степенной закон вступает в игру каждый раз, когда вы принимаете решение [о том, с кем устанавливать связь]», — утверждает Барабаши. Если включить в сеть несколько миллионов узлов по принципу предпочтительного присоединения, то она будет выглядеть точно так же, как карта связей между пользователями «Твиттера» или модель интернет-пространства. Одна из причин столь широкой распространенности сетей со степенным распределением узлов по количеству связей кроется в их особой устойчивости. Если в такой сети вы удаляете узел случайным образом, это, скорее всего, будет второстепенный узел (поскольку таких узлов гораздо больше), а не хаб, поэтому в целом на всей сети это особо не скажется. И наоборот, степенные сети становятся очень уязвимыми, если происходит атака на хаб. Иными словами, если выйдет из строя мой сайт, этого никто не заметит, кроме меня самого. Однако, если хотя бы на пять минут отключится сайт Google, наступит глобальный хаос. Интерес к степенным законам объясняется тем, что они позволяют выстроить на удивление простую математическую модель для целого ряда сложных явлений. Кроме того, их очень легко обнаружить. Как мы уже видели, две переменные подчиняются степенному закону, если точки на графике в двойном логарифмическом масштабе образуют прямую линию. Однако в последнее время все чаще высказываются предположения о том, что ученые слишком спешат с выводами о присутствии степенного закона в полученных ими данных, поскольку в ряде случаев точки данных образуют на графике кривые линии, и их необходимо описывать другими уравнениями [51]. Безусловно, это важная тема для обсуждения, но она выходит за рамки данной книги. Тем не менее у степенных законов есть один аспект, который отрицать невозможно: они обладают одним удивительным математическим свойством. Рассмотрим уравнение степенного закона:
![]() ![]() Кривая
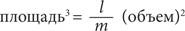
Вы заметили разницу? Кривые абсолютно одинаковы. На самом деле, если построить кривую от n до 5n для любого значения n, она будет выглядеть точно так же, как на рисунке выше. Кривые для значений x от a до b всегда одинаковы, если отношение a/b представляет собой постоянную величину. Степенные законы раскрывают одну и ту же закономерность в любом масштабе, как бы далеко по хвосту вы ни продвинулись. Если говорить о длинных хвостах, то такой был у Годзиллы. Рост этого японского монстра (мутировавшего динозавра) — около 100 метров, что примерно в 50 раз больше роста высокого взрослого человека. А теперь представьте себе человека в 50 раз выше обычного роста, но с телом такой же формы. Этот увеличенный человек был бы в 50 раз шире и в 50 раз толще, а значит, в 50 × 50 × 50 = 125 000 раз тяжелее, чем раньше. Однако его кости в поперечном сечении увечились бы только в 50 × 50 = 2500 раз, стало быть, каждый квадратный дюйм его костей должен был бы поддерживать в 50 раз больше веса. Кости гигантского человека сломались бы при первой же попытке сделать шаг. Годзиллу постигла бы та же участь. Согласен, нет ничего утомительнее, чем ворчание умника, утверждающего, что в реальном мире такой монстр просто не выжил бы. Тем не менее этот аргумент объясняет, почему животные разных размеров имеют разную форму. Чем крупнее животное, тем толще должны быть его кости относительно роста [52]. К такому выводу впервые пришел Галилей в 1638 году. У слона кости пропорционально толще, чем у человека, кости которого, в свою очередь, пропорционально толще костей собаки. Галилей понял, что у более крупных животных кости толще, потому что им приходится выдерживать больше веса в расчете на размер поперечного сечения кости. Наблюдение Галилея можно представить в виде уравнения, в котором фигурируют площадь и объем. Утверждение о том, что площадь объекта в поперечном сечении находится в прямо пропорциональной зависимости от квадрата высоты, тогда как объем — в прямо пропорциональной зависимости от куба высоты, можно выразить двумя уравнениями: площадь = l (высота)2; объем = m (высота)3, где l и m — константы. Исключив переменную «высота», получим следующее уравнение: ![]() |
![Иллюстрация к книге — Красота в квадрате. Как цифры отражают жизнь и жизнь отражает цифры [i_042.jpg] Иллюстрация к книге — Красота в квадрате. Как цифры отражают жизнь и жизнь отражает цифры [i_042.jpg]](img/book_covers/071/71253/i_042.jpg)
![Иллюстрация к книге — Красота в квадрате. Как цифры отражают жизнь и жизнь отражает цифры [i_043.jpg] Иллюстрация к книге — Красота в квадрате. Как цифры отражают жизнь и жизнь отражает цифры [i_043.jpg]](img/book_covers/071/71253/i_043.jpg)
![Иллюстрация к книге — Красота в квадрате. Как цифры отражают жизнь и жизнь отражает цифры [i_044.jpg] Иллюстрация к книге — Красота в квадрате. Как цифры отражают жизнь и жизнь отражает цифры [i_044.jpg]](img/book_covers/071/71253/i_044.jpg)
![Иллюстрация к книге — Красота в квадрате. Как цифры отражают жизнь и жизнь отражает цифры [i_045.jpg] Иллюстрация к книге — Красота в квадрате. Как цифры отражают жизнь и жизнь отражает цифры [i_045.jpg]](img/book_covers/071/71253/i_045.jpg)
![Иллюстрация к книге — Красота в квадрате. Как цифры отражают жизнь и жизнь отражает цифры [i_046.jpg] Иллюстрация к книге — Красота в квадрате. Как цифры отражают жизнь и жизнь отражает цифры [i_046.jpg]](img/book_covers/071/71253/i_046.jpg)