Онлайн книга «Красота в квадрате. Как цифры отражают жизнь и жизнь отражает цифры»
|
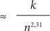
Для Ципфа обнаружение одной и той же элементарной математической закономерности в разных контекстах было равносильно духовному пробуждению. «В явлениях повседневной жизни мы находим единство, упорядоченность и равновесие, внушающие нам веру в высшую разумность всего сущего, целостность которого пребывает за пределами наших полномочий и понимания», — писал Ципф. Он предложил принцип наименьших усилий в качестве теоретической базы для своих эмпирических наблюдений. Мы часто используем ограниченное количество слов, потому что нашему мозгу так легче; мы живем в больших городах, потому что нам так удобнее. Однако Ципф так и не смог предоставить убедительное математическое обоснование закона, как, впрочем, и никто сто лет спустя. Многие пытались это сделать, и хотя некоторые даже добились определенных успехов в данном направлении, причина, почему закон действует, по-прежнему остается загадкой. Математические модели часто подвергают критике за то, что они слишком упрощают сложные закономерности. В случае закона Ципфа верно обратное утверждение: математические модели невероятно сложны, а закономерность настолько проста, что ее может понять даже ребенок. В начале ХХ века итальянский экономист Вильфредо Парето заявил, что распределение богатства среди населения подчиняется следующему закону: ![]() Очевидно, что с математической точки зрения закон Парето эквивалентен закону Ципфа. Если составить список всех граждан страны в порядке уменьшения их богатства, график распределения последнего будет выглядеть точно так же, как представленный выше график частоты использования слов в этой книге. В целом самый богатый человек страны существенно богаче второго наиболее состоятельного человека, а тот, в свою очередь, намного богаче (хотя и чуть меньше, чем в предыдущем случае) третьего наиболее состоятельного человека, который гораздо богаче (хотя и чуть меньше, чем в предыдущем случае) четвертого наиболее состоятельного человека и т. д. В общем, к категории богачей относится крохотное меньшинство населения, тогда как его подавляющее большинство живет в бедности. Парето вывел этот закон на основании данных из многих стран и череды столетий. И он по-прежнему актуален. Обратно пропорциональная зависимость описывает ситуации, в которых имеет место предельное, вопиющее неравенство. В случае закона Ципфа крохотный процент слов выполняет почти всю работу. В случае закона Парето в руках крохотного процента населения сосредоточена основная часть капитала. В 1906 году Парето написал, что в Италии около 20 процентов людей владеют 80 процентами земли. Это меткое замечание вошло в массовую культуру как «принцип Парето», или закон 80/20, согласно которому 20 процентов причин порождает 80 процентов следствий — фраза, отражающая несправедливость жизни. По мнению Ричарда Коха, автора книги о законе Парето [44], 20 процентов сотрудников обеспечивают 80 процентов результата; 20 процентов покупателей приносят 80 процентов прибыли; 80 процентов счастья мы испытываем за 20 процентов времени. Ричард Кох пишет, что закон 80/20 — это ключ к управлению своей жизнью, поскольку мы можем преодолеть трудности современного мира только одним способом: сосредоточившись на 20 процентах самых важных вещей. Закон Парето хорошо запоминается благодаря своей арифметической точности: 80 + 20 = 100. Однако такая точность не всегда применима к математической модели, описываемой этим законом, так как обратно пропорциональная зависимость во многих случаях носит приближенный характер. Как закон Парето, так и закон Ципфа гласят, что одна величина обратно пропорциональна определенной степени другой величины. Если переменные величины — x и y, то общая формула этой математической зависимости выглядит так: ![]() Уравнения данного типа обозначаются термином «степенной закон». Имена Ципфа и Парето носят два самых известных закона подобного рода, но за последние годы действие степенных законов проявилось в очень большом количестве самых разных ситуаций. Например, по результатам проведенного в Швеции опроса по поводу сексуальных привычек была установлена такая закономерность [45]: процент мужчин, имевших минимум n половых партнеров на протяжении прошлого года ![]() Символ ≈ говорит не о том, что шведские женщины предпочитают мужчин с волнистыми усами. Он означает «приблизительно равно» и используется здесь потому, что данное уравнение обеспечивает наилучшее приближение. Примерно один из тысячи шведских мужчин имеет в течение года двадцать половых партнеров, в то время как большинство — только одного. Если продолжить линию максимального приближения, то получится, что где-то один из десяти тысяч мужчин имеет около шестидесяти половых партнеров в год. В любви — как на войне. Исследователи, изучавшие случаи насилия в зонах военных конфликтов, выявили следующую закономерность [46]: процент инцидентов во время гражданской войны в Колумбии, в которых произошло не менее n смертей и ранений ![]() Массовая гибель людей в результате военных действий наблюдается гораздо реже по сравнению с числом единичных случаев. Подобные выводы были сделаны в ходе анализа и сравнения данных о разных войнах. В мире велось всего несколько войн, повлекших за собой гибель миллионов людей; сотни тысяч людей лишились жизни в чуть большем количестве войн; еще больше войн унесло жизни десятков тысяч людей и т. д. Чарльз Дарвин написал за свою жизнь тысячи писем, многие из которых представляли собой ответ на полученные письма. На большинство из них он отвечал в первый же день, а чтобы ответить на другие, ему понадобились годы [47]: |
![Иллюстрация к книге — Красота в квадрате. Как цифры отражают жизнь и жизнь отражает цифры [i_030.jpg] Иллюстрация к книге — Красота в квадрате. Как цифры отражают жизнь и жизнь отражает цифры [i_030.jpg]](img/book_covers/071/71253/i_030.jpg)
![Иллюстрация к книге — Красота в квадрате. Как цифры отражают жизнь и жизнь отражает цифры [i_031.jpg] Иллюстрация к книге — Красота в квадрате. Как цифры отражают жизнь и жизнь отражает цифры [i_031.jpg]](img/book_covers/071/71253/i_031.jpg)
![Иллюстрация к книге — Красота в квадрате. Как цифры отражают жизнь и жизнь отражает цифры [i_032.jpg] Иллюстрация к книге — Красота в квадрате. Как цифры отражают жизнь и жизнь отражает цифры [i_032.jpg]](img/book_covers/071/71253/i_032.jpg)
![Иллюстрация к книге — Красота в квадрате. Как цифры отражают жизнь и жизнь отражает цифры [i_033.jpg] Иллюстрация к книге — Красота в квадрате. Как цифры отражают жизнь и жизнь отражает цифры [i_033.jpg]](img/book_covers/071/71253/i_033.jpg)