Книга Теория организации, страница 47 – Валентина Парахина, Елена Шацкая, Татьяна Федоренко

Авторы: А Б В Г Д Е Ж З И Й К Л М Н О П Р С Т У Ф Х Ч Ш Ы Э Ю Я
Книги: А Б В Г Д Е Ж З И Й К Л М Н О П Р С Т У Ф Х Ц Ч Ш Щ Ы Э Ю Я
Бесплатная онлайн библиотека LoveRead.in

Онлайн книга «Теория организации»

📃 Cтраница 47

Суть закона развития – непрерывные изменения систем, обусловливающие их переход с одного уровня иерархии на другой, и появление новых эмерджентных свойств. Профессиональная реализация закона развития основана на выполнении ряда принципов: инерции, самозависимости, эластичности, непрерывности и стабилизации.

Принцип инерции реализуется в двух направлениях:

• изменение потенциала Rj должно начинаться спустя некоторое???

• время после начала функционирования новых ресурсов организации и продолжаться некоторое время после их выбытия;

• внедрение нового ресурса должно начинаться спустя некоторое время после его создания или приобретения, а устаревший ресурс должен изыматься из использования через некоторое время после внедрения нового.

Принцип самозависимости подразумевает, что на ход развития организации влияет потенциал самой организации.

Принцип эластичности: каждая организация пытается сгладить последствия внутренних и внешних возмущающих воздействий, высокая эластичность – быстрое и плавное реагирование на возмущающие воздействия, низкая эластичность – принимаются неадекватные решения в течение длительного срока.

Принцип непрерывности состоит в том, что процесс изменения потенциала организации идет непрерывно, меняются только скорость и знак изменения.

Принцип стабилизации: компания стремится к стабилизации эффективных этапов жизненного цикла.

Изучение организаций как социально-экономических объектов предусматривает обязательное использование операций анализа и синтеза. Анализ и синтез при исследовании процессов функционирования организации настолько переплетаются, что не могут существовать друг без друга. Поэтому, говоря о законе единстве анализа и синтеза, следует подразумевать их неразрывность и постоянное взаимодействие, осуществляемое в рамках диалектического принципа единства и борьбы противоположностей. Анализ и синтез в своем единении составляют основу системного подхода к изучению деятельности организации.

Анализ, или декомпозиция, – это разделение целого на части, представление сложного объекта в виде простых составляющих, изменение этих частей, добавление новых или ликвидация некоторых из них для более эффективной деятельности или удобства исследования.

Анализ причинно-следственных связей между выделенными частями сводится к нахождению необходимых и достаточных условий для поддержания требуемого взаимодействия между этими частями целого.

Синтез – соединение, объединение (мысленное или реальное) обновленного набора простых составляющих объекта в единое целое, согласование их деятельности для более эффективной деятельности или удобства исследования.

Объединение в рамках синтеза осуществляется на основе взаимной необходимости и взаимосвязи. Здесь могут помочь опыт и интуиция, причем опыт «работает» при повторяющихся ситуациях, а интуиция – при новых обстоятельствах. Важно, чтобы в процессе декомпозиции не были потеряны основные свойства составных частей целого. Не менее важно, чтобы исполнители не забывали о том, что каждое подразделение в организации является лишь частью единой системы, управление любой целенаправленной динамической организационной системой предусматривает выработку и реализацию конкретных решений. Решение, принимаемое по управлению социально-экономической организацией или какой-либо ее частью, является связующим элементом между звеньями управления и звеньями, выполняющими конкретные функции. Кроме того, с помощью управляющих решений реализуется связь между отдельными звеньями системы управления. С этой точки зрения решение – это средство коммуникации между звеньями и элементами организации, в том числе и между людьми.

Как правило, решения принимаются в соответствии с иерархией распределения властных полномочий, определяемой организационной структурой. Звенья верхних ступеней иерархии принимают решения по управлению подчиненными им звеньями нижних ступеней иерархии. Эффективность принимаемых управленческих решений определяет выживаемость организации в условиях острой конкурентной борьбы.

Закон единства анализа и синтеза – каждая система (биологическая или социальная) стремится настроиться на наиболее экономный режим функционирования за счет постоянного изменения своей структуры или выполняемых функций [42].

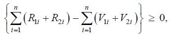
Математическая интерпретация данного закона:

Иллюстрация к книге — Теория организации [i_061.jpg]

где R1i и R2i – внутренние и внешние созидательные факторы соответственно;

V1i и V2i – внутренние и внешние разрушительные факторы соответственно;

i – область, в которой расположен определенный фактор.

Изменения R1i, R2i и V1i, V2i достигаются за счет преобразований внутренней и внешней среды. Если эти преобразования дают положительный эффект, то материальная система функционирует успешно, а если нет – то время деятельности данной системы ограничено.

Благодаря использованию в процессах управления организацией процедур анализа и синтеза обеспечивается настройка организационной системы на оптимальный вариант достижения поставленной цели.

Следствия закона единства анализа и синтеза:

1) V1i + V2i существенно меньше, чем R1i + R2i, т. е. практически отсутствуют внешние и внутренние возмущающие воздействия – организация идет к полному истощению ресурсов. Такая ситуация показывает, что потребности в продукции (услугах) организации не существует, либо внешняя среда не информирована о деятельности компании;

2) R1i + R2i меньше, чем V1i + V2i – практически отсутствуют внешние и внутренние созидательные ресурсы, что ведет к банкротству организации;

3) R1i существенно больше, чем R2i, т. е. практически отсутствует внешний созидательный потенциал, – организация не занимается общественно полезной деятельностью;

4) R2i существенно больше, чем R1i, т. е. внутренние созидательные ресурсы недостаточны, – организации требуются внешние субсидии или дотации;

5) V1i существенно больше, чем V2i – созидательные ресурсы организации тратятся на преодоление внутренних возмущающих воздействий;

6) V2i существенно больше, чем V1i – созидательные ресурсы организации тратятся на преодоление внешних возмущающих воздействий.

Для реализации закона единства анализа и синтеза руководителю рекомендуется:

Вход
Поиск по сайту
Ищем:
Календарь