Книга Теория организации, страница 45 – Валентина Парахина, Елена Шацкая, Татьяна Федоренко

Авторы: А Б В Г Д Е Ж З И Й К Л М Н О П Р С Т У Ф Х Ч Ш Ы Э Ю Я
Книги: А Б В Г Д Е Ж З И Й К Л М Н О П Р С Т У Ф Х Ц Ч Ш Щ Ы Э Ю Я
Бесплатная онлайн библиотека LoveRead.in

Онлайн книга «Теория организации»

📃 Cтраница 45
8.3. Общие законы организации

Общие законы организации действуют во всех материальных системах. К основным из них можно отнести: закон синергии, закон самосохранения, закон развития, закон единства анализа и синтеза, закон соответствия разнообразия управляющей системы разнообразию управляемого объекта, объективный закон приоритета целого над частью, общий закон учета системы потребностей и др. [6, 49].

Любая организация обладает организационным, производственным, социальным, технологическим, экономическим, правовым, политическим и этическим потенциалом. Потенциал организации зависит от квалификации работников, технологической оснащенности и профессионализма руководителей. Он определяется рядом элементов: производительность, научный потенциал, перспективы развития, технический потенциал, кадровый потенциал, имидж организации и др. Сочетание этих элементов в различных комбинациях формируют разные потенциалы – от очень низкого до очень высокого. Изменение потенциала компании может происходить пропорционально привлечению ресурсов либо скачкообразно.

В реальной деятельности организации важен потенциал совокупности ресурсов. Синергия – это процесс существенного изменения потенциала. Основной смысл эффекта синергии заключается в том, что привлекаемые ресурсы либо существенно усиливают, либо существенно ослабляют друг друга (в 2 или более раз) и в связи с этим общий потенциал компании становится заметно больше или заметно меньше суммы потенциалов всех используемых в деятельности ресурсов.

Эффект синергии аналогичен резонансу, т. е. резкому росту или снижению производительности. Таким образом, синергия может вызывать как резко положительные, так и резко отрицательные последствия. Положительная синергия реализуется за счет совпадения набора ресурсов и оптимального сочетания их характеристик. Отрицательная синергия получается в результате абсолютно непрофессионального подхода к порученной деятельности. Руководителей организаций в большей степени интересует эффект синергии. Механизмом его действия является объективный закон теории организации – закон синергии.

Повышение потенциала компании можно сопоставить с формальным приобретением новых ресурсов, а его понижение – с фактическим выводом из процесса производства части ресурсов. Повышенный потенциал компании определяется по формуле


Р1 = Пк – (П1 + П2 + П3),


где Пк – общий потенциал компании;

П1, П2, П3 – потенциалы первого, второго и третьего ресурсов.

Пониженный потенциал компании определяется по формуле


Р2 = (П1 + П2 + П3) – Пк.


Закон синергии – для любой организации существует такой набор элементов, при котором ее потенциал всегда будет либо существенно больше простой суммы потенциалов входящих в нее элементов, либо существенно меньше [42].

Особое значение имеют социальные системы в виде компаний, фирм, товариществ или обществ. Задача руководителя заключается в том, чтобы найти такой набор, при котором ресурсы оптимально взаимодействовали бы между собой, создавая эффект положительной синергии. На практике эффект положительной и отрицательной синергии проявляется нечасто. Это объясняется очень редким сочетанием высочайшего управленческого профессионализма руководителя и длительного периода везения (удачи). Однако знание закона синергии может активизировать деятельность руководителя по поиску наилучшего набора ресурсов [43].

Закон синергии действует независимо от воли и сознания руководителя, однако результаты действия закона зависят от состояния трех сред: руководителя, подчиненных и внешней среды по отношению к закону синергии.

А.А. Богданов аргументирует важность и значимость тектологического закона синергии: «Полный расцвет ее будет выражать сознательное господство людей как над природой внешней, так и над природой социальной. Ибо всякая задача практики и теории сводится к тектологическому вопросу, каким способом наиболее целесообразно организовать некоторую совокупность элементов – реальных или идеальных» [9]. Богданов был весьма близок к открытию и обоснованию данного закона, указывая, что «организационное целое больше простой суммы своих частей». Его заслуги в разработке организационной науки были рассмотрены в главе 2.

Действие закона синергии будет положительным в том случае, когда руководитель и подчиненные знают об этом законе. Признаками достижения положительной синергии в организации могут быть:

благоприятный климат в коллективе;

сокращение технологического цикла;

активное приобретение сотрудниками акций своей компании;

пониженная усталость работников;

постоянный спрос на производимую продукцию;

поддержка коллективной оплаты труда;

отказ от услуг сторонних организаций;

лояльность к своей организации и вышестоящему руководству;

выполнение бизнес-плана;

благотворительная деятельность.

В настоящее время отсутствуют прямые методы оценки синергетического эффекта. Для успешной реализации закона синергии необходимо использовать методы организации и самоорганизации, управления и самоуправления. Среди них: вопросы-ответы, конференция идей или мозговая атака, метод эвристического прогнозирования.

Как уже было описано в главе 2, организация представляет собой некоторую самостоятельно существующую открытую систему, подобную живому организму, который появляется на свет, растет, развивается, совершенствуется, болеет, стареет и умирает. Организации присуще стремление к самосохранению. В жизни многих компаний бывали ситуации, когда они оказывались на грани ликвидации или вступали в процедуру банкротства. Одни из них при этом были ликвидированы, другие, реорганизовав предприятие, сумели найти ресурсы и выжили. Решению проблем выживания организаций способствует закон самосохранения.

Закон самосохранения – каждая материальная система стремится сохранить себя и для этого использует весь свой потенциал.

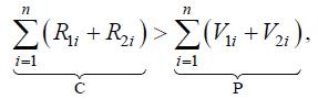
Особое значение закон самосохранения имеет для социальных систем (компаний, фирм, товариществ, обществ). Данный закон может быть представлен в виде следующего соотношения [42]:

Иллюстрация к книге — Теория организации [i_056.jpg]

где R1i и R2i – внутренние и внешние созидательные факторы соответственно;

V1i и V2i – внутренние и внешние разрушительные факторы соответственно;

i – область, в которой расположен определенный фактор.

Левая часть формулы носит название «потенциал созидания» (С), а правая – «потенциал разрушения» (Р). Cумма созидательных ресурсов организации всегда стремится быть больше суммы разрушительных ресурсов. Формулу можно представить в виде: С > Р. Если это соотношение длительное время не может быть выполнено, то организация прекращает свое существование либо добровольно, либо принудительно.

Вход
Поиск по сайту
Ищем:
Календарь