Книга Видеть лес за деревьями. Системный подход для совершенствования бизнес-модели, страница 65 – Деннис Шервуд

Авторы: А Б В Г Д Е Ж З И Й К Л М Н О П Р С Т У Ф Х Ч Ш Ы Э Ю Я
Книги: А Б В Г Д Е Ж З И Й К Л М Н О П Р С Т У Ф Х Ц Ч Ш Щ Ы Э Ю Я
Бесплатная онлайн библиотека LoveRead.in

Онлайн книга «Видеть лес за деревьями. Системный подход для совершенствования бизнес-модели»

📃 Cтраница 65
Идеально ли соотношение 80:20?

Соотношение 80:20 я предложил наугад, возможно, 85:15 или даже 100:0 окажется более выгодным. С помощью «ползунка» на контрольной панели это легко проверить. Однако когда доля средств, выделяемых на рекламу, достигает примерно 70 %, дальнейшее увеличение оказывает слабое влияние, доход все равно понижается.

Но где начинается это понижение? График влияния рекламы напривлечение новых клиентов является одним примером (см. рис. 12.12), он выравнивается на уровне запаса рекламы в размере £4,5 млн. В отличие от него график влияния продвижения на привлечение новых клиентов (см. рис. 12.14) после выравнивания снова начинает расти.

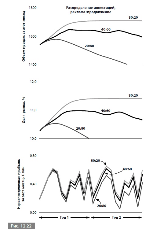
Однако имеется еще одно ограничение, предел доли рынка, который действует независимо от всех остальных переменных. Как показывает график эффекта насыщения рынка на рис. 12.4, очень сложно увеличить долю рынка после достижения ею отметки 11 % и еще сложнее после 11,5 %. График на рис. 12.22 показывает, что соотношение 80:20 приводит долю рынка к стабильному уровню 11,4 %, что довольно близко к максимально возможному.

Итак, есть два независимых ограничения, движущих снижением доходов: влияниерекламы, которое выравнивает запас рекламы на отметке чуть выше £4,5 млн, и эффект насыщения рынка, который значительно затрудняет рост доли рынка выше 11,5 %.

Но какое ограничение вступает в силу первым? Если реклама, то доля рынка выровнялась бы, но на уровне ниже 11 %. Однако если первым вступит ограничение доли рынка, доля рынка вырастет до уровня примерно 11,5 % и не двинется оттуда, сколько бы средств ни тратилось на рекламу и продвижение.

На рис. 12.22 показано, что доля рынка ограничивается на уровне примерно 11 %, очень близко к ограничению доли рынка. Это означает, что оно вступает в силу первым.

Иллюстрация к книге — Видеть лес за деревьями. Системный подход для совершенствования бизнес-модели [i_184.jpg]

Если это действительно так, можно сделать важный вывод: может быть, мы тратим на рекламу и продвижение слишком много, выбрасывая деньги на кампании, которые просто не могут переломить ограничение доли рынка?

Это можно проверить с помощью модели. Важной переменной здесь является коэффициент инвестиций, процент чистой прибыли за этот месяц, который определяет, сколько выделено на средства для инвестиций за этот месяц, являющиеся в свою очередь источником затрат на рекламу за этот месяц и затрат на продвижение за этот месяц. Если мы сократим коэффициент инвестиций, меньше денег будет выделено на средства для инвестиций за этот месяц, но это может и не иметь большого значения. Действительно имеет значение, что деньги, не предназначенные для увеличения инвестиций, увеличивают нераспределенную прибыль за этот месяц, а следовательно, и доходы инвесторов.

Так что произойдет, когда коэффициент инвестиций составит 50 %, а остальные средства для инвестиций распределятся между рекламой и продвижением в соотношении 80:20?

Иллюстрация к книге — Видеть лес за деревьями. Системный подход для совершенствования бизнес-модели [i_185.jpg]

На рис. 12.23 показан результат, наложенный на последнюю группу графиков с коэффициентом инвестиций 75 %.

В этот раз в результате работы модели мы видим чуть более низкий объем продаж за этот месяц и долю рынка, что ожидаемо, поскольку было инвестировано значительно меньше средств. Тем не менее сокращение невелико. Когда коэффициент инвестиций составлял 75 %, ежемесячно тратилась более крупная сумма в безнадежных попытках стимулировать усиливающую петлю двигателя роста с помощью рекламы и продвижения, в то время как уравновешивающая петля насыщения рынка сильнее отталкивала назад. Если тратить значительно меньшие суммы, это не оказывает измеримого влияния на продажи, но посмотрите, как это влияет на нераспределенную прибыль за этотмесяц! Она ежемесячно удваивается. Когда коэффициент инвестиций составлял 75 %, 25 % чистой прибыли за этот месяц направлялось в нераспределенную прибыль за этот месяц. Теперь, когда коэффициент инвестиций установлен на уровне 50 %, остальные 50 % идут на доходы инвесторов.

Как можно видеть, в этом более реалистичном случае речь идет не о распределении средств между рекламой и продвижением, а в первую очередь о том, сколько потратить.

Как мы видели в главе 8, очень заманчиво сильнее давить на газ, чтобы двигатель роста работал активнее. Но когда на усиливающую петлю действуют ограничители, это может истощить ресурсы.

Эпилог
Мы справились с проблемой сложности

Ну вот и все! Надеюсь, вы с удовольствием прочитали эту книгу и теперь абсолютно уверены в том, что со сложностью можно справиться и что вам это тоже под силу.

Лучший способ доказать, что вы на это способны, – взять и сделать. В следующий раз, когда вы будете присутствовать на совещании и решать действительно сложную проблему, попробуйте изобразить причинно-следственные связи, соединив их в петли. Возможно, вы сделаете это довольно быстро, возможно, вам понадобится несколько дней. Неважно, попробуйте. И тогда вы внезапно обнаружите, что составили логичную диаграмму, позволяющую «увидеть лес за деревьями». Возьмите ее на совещание и скажите: «Я хотел бы показать, как вижу эту проблему. И мне хотелось бы услышать ваше мнение. Вы видите ее так же?»

Вы удивитесь тому, что произойдет. Вы вызовете конструктивную дискуссию и споры, потому что будете изучать проблему на правильном уровне, уровне ментальной модели. Обмен ментальными моделями в контексте бизнеса бывает полезен. Он лежит в основе командной работы и принятия мудрых решений.

Если вам понравилась эта книга, пользуйтесь ею. Берите фломастер, идите к доске и говорите: «Я вижу мир так. Вы видите его так же?» И вы увидите, что произойдет.

Случаи из жизни, которые я описал в этой книге, взяты из моей более чем 15-летней практики, и все они отражают мои ментальные модели. Я полностью отвечаю за них и рад, если вам кажется, что они действительно отражают реальность. Если нет, я уважаю вашу точку зрения и готов к дискуссии. Вы можете связаться со мной по адресу dennis@silverbulletmachine.com.

Поделитесь со мной своими историями. Мне нравится собирать рассказы о том, как системное мышление и системная динамика помогли решить сложные проблемы.

Мудрость редко дается нам от природы. Но любой может научиться рисовать диаграммы цикличной причинности, отслеживать и понимать причинно-следственные связи, изучать последствия альтернативных действий и принимать решения, которые выдержат проверку временем. Мы все можем стать мудрее!

Вход
Поиск по сайту
Ищем:
Календарь