Книга Видеть лес за деревьями. Системный подход для совершенствования бизнес-модели, страница 64 – Деннис Шервуд

Авторы: А Б В Г Д Е Ж З И Й К Л М Н О П Р С Т У Ф Х Ч Ш Ы Э Ю Я
Книги: А Б В Г Д Е Ж З И Й К Л М Н О П Р С Т У Ф Х Ц Ч Ш Щ Ы Э Ю Я
Бесплатная онлайн библиотека LoveRead.in

Онлайн книга «Видеть лес за деревьями. Системный подход для совершенствования бизнес-модели»

📃 Cтраница 64

Она очень похожа на диаграмму на рис. 12.2, но в ней есть ряд отличий.

Во-первых, здесь нет связи между средствами для инвестиций за этот месяц и новыми клиентами за этот месяц. Данную связь заменила диаграмма комплекса маркетинга, которой движет эта переменная и которая рассчитывает базовый уровень новых клиентов за этот месяц. Этот элемент также появился на диаграмме, где он «подпитывает» новых клиентов за этот месяц, на количество которых влияет эффект насыщения рынка. Вы также заметите, что круг, обозначенный как базовый уровень клиентов, показан пунктиром. Это означает, что переменная действует как связь между двумя различными диаграммами запасов и потоков. Возможность связывать диаграммы подобным образом позволяет изображать очень сложные системы на нескольких диаграммах и избегать необходимости рисовать перегруженные, а следовательно, непонятные диаграммы.

Связь, идущая от средств для инвестиций за этот месяц через диаграмму комплекса маркетинга и обратно к новым клиентам за этот месяц, является формальным проявлением в системной динамике связи между уравновешивающей петлей рычагов управления и усиливающей петлей двигателя роста бизнеса, который мы подробно рассматривали в главе 10. В этом примере показаны всего два рычага – реклама и продвижение, планируемые показатели которых обозначены в правиле распределения. Прочие рычаги можно присоединить аналогично.

На этой диаграмме есть еще один новый элемент. На рис. 12.2 была показана прямая связь между доходом от продаж за этот месяц и чистой прибылью за этот месяц, как указано общей маржей. На рис. 12.17 в петлю двигателя роста бизнеса введена новая переменная, валовая прибыль за этот месяц, которая рассчитывается с помощью дохода от продаж за этот месяц и валовой маржи. Затем, чтобы рассчитать чистую прибыль за этот месяц, из валовой прибыли за этот месяц вычитают накладные расходы (за исключением затрат на рекламу и продвижение). Признание накладных расходов позволяет рассматривать их явно, как показано на графике на рис. 12.18.

Иллюстрация к книге — Видеть лес за деревьями. Системный подход для совершенствования бизнес-модели [i_179.jpg]

Расчет чистой прибыли за этот месяц:

ЧИСТАЯ ПРИБЫЛЬ ЗА ЭТОТ МЕСЯЦ = ВАЛОВАЯ ПРИБЫЛЬ ЗА ЭТОТ МЕСЯЦ – НАКЛАДНЫЕ РАСХОДЫ

дает новую возможность: чистая прибыль за этот месяц может быть отрицательной, если накладные расходы будут высоки.

У этой возможности есть два следствия: во-первых, влияние на средства для инвестиций за этот месяц и, во-вторых, влияние на нераспределенную прибыль за этот месяц. Одна из потенциальных реакций на такую возможность состоит в ограничении средств для инвестиций до минимального значения нуль с использованием условного правила:


СРЕДСТВА ДЛЯ ИНВЕСТИЦИЙ ЗА ЭТОТ МЕСЯЦ =

ЕСЛИ (чистая прибыль за этот месяц > 0)

ТО (чистая прибыль за этот месяц × коэффициент инвестиций / 100)

ИНАЧЕ (0).

По этому правилу выполняется именно то, о чем в нем говорится: если чистая прибыль за этот месяц является положительным числом, то средства для инвестиций за этот месяц рассчитываются путем умножения чистой прибыли за этот месяц на коэффициент инвестиций. Если чистая прибыль за этот месяц равна нулю или является отрицательным числом, то средства для инвестиций за этот месяц равны нулю. Это логично, но, как следствие, нераспределенная прибыль за этот месяц будет равна (отрицательно) чистой прибыли за этот месяц, и нераспределенная прибыль за этот месяц будет уменьшать доходы инвесторов. В этих обстоятельствах нераспределенная прибыль за этот месяц будет действовать скорее как отток от доходов инвесторов, чем как приток.

Потоки, которые могут действовать как притоки или оттоки в зависимости от обстоятельств, известны как двусторонние потоки (в отличие от односторонних потоков) и обозначаются как кран с двумя трубами (рис. 12.19).

Иллюстрация к книге — Видеть лес за деревьями. Системный подход для совершенствования бизнес-модели [i_180.jpg]

Двусторонний поток действует довольно просто. В каждый период времени модель рассчитывает нераспределенную прибыль за данный период, и если она положительна, доходы инвесторов увеличиваются. Если же она отрицательна, доходы инвесторов сокращаются.

Контрольная панель также изменилась и теперь включает новые переменные, а также средство прямого просмотра некоторых из основных результатов (рис. 12.20).

Иллюстрация к книге — Видеть лес за деревьями. Системный подход для совершенствования бизнес-модели [i_181.jpg]
Иллюстрация к книге — Видеть лес за деревьями. Системный подход для совершенствования бизнес-модели [i_182.jpg]

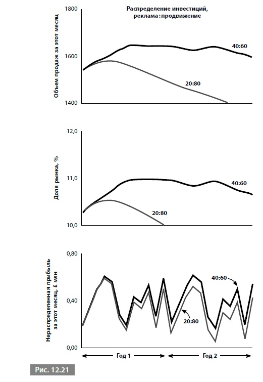
Каковы же результаты? На рис. 12.21 показаны некоторые из результатов для настроек, продемонстрированных на контрольной панели, в двух вариантах: с 20 % средств для инвестиций за этот месяц, выделенными на рекламу, и 80 % – на продвижение и с распределением средств 40:60.

Иллюстрация к книге — Видеть лес за деревьями. Системный подход для совершенствования бизнес-модели [i_183.jpg]
Какую политику вы бы выбрали для оптимизации бизнеса?

При распределении средств в соотношении 20:80 в пользу продвижения объем продаж за этот месяц возрастает в течение первого квартала, но затем устойчиво падает. При изменении соотношения на 40:60 объем продаж за этот месяц стабилизируется на уровне примерно 1650 автомобилей в месяц. Нераспределенная прибыль за этот месяц – приток в доходы инвесторов и, вероятно, самый важный метод диагностики здоровья бизнеса – немного выше, если повышается доля рекламы. Однако в обоих случаях это число довольно сильно колеблется, в основном из-за отличающихся месяц от месяца накладных расходов.

В целом графики, по-видимому, указывают на то, что реклама дает более заметный эффект, чем продвижение, и вы можете сдвинуть баланс в сторону рекламы еще сильнее. На рис. 12.22 показано, что происходит при распределении средств 80:20 в пользу рекламы.

Объем продаж за этот месяц поднялся до устойчивого уровня 1710 автомобилей в месяц, и мы избавились от колебаний, если не уменьшения, доли рынка. Однако нераспределенная прибыль за этот месяц значительно не увеличилась. Это, вероятно, произошло из-за того, что дополнительная реклама стоит довольно дорого, и увеличение маржи на дополнительные продажи было не намного выше, чем дополнительные расходы на рекламу. При моделировании делаются довольно осторожные предположения: мы не тратим то, чего у нас нет. Средства для инвестиций за этот месяц получены из чистой прибыли за этот месяц, поэтому если прибыль немного сокращается, то же самое происходит и со средствами для инвестиций за этот месяц, и в целом для распределения остается меньше денег.

Вход
Поиск по сайту
Ищем:
Календарь