Онлайн книга «Управленческие решения»
|
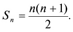
Таблица 8.1 Эталонные весовые коэффициенты источников аргументации ![]() Источник: Малин А. С., Мухин В. И. Исследование систем управления: Учебник для вузов. – Изд. 2-е. М.: ГУ ВШЭ, 2004. – С. 340 Методы сбора экспертной информации Анкетирование считается наиболее эффективным и самым распространенным видом опроса и заключается в заполнении экспертами опросных листов-анкет. «Анкета – это определенным образом организованный набор вопросов, ответы на которые позволяют получить информацию об объекте экспертизы, необходимую для проведения управленческого анализа». [37] По мнению Т. Гавриловой, анкетирование – наиболее жесткий метод сбора экспертной информации, поскольку он наиболее стандартизирован – аналитик заранее составляет вопросник или анкету, размножает ее и использует для опроса нескольких работников компании. [38] Типы анкет и типы применяемых вопросов по кругу решаемых задач В зависимости от того, какие задачи ставятся перед экспертами и, соответственно, какую информацию требуется собрать в результате проведения анкетирования, целесообразно рассмотреть следующие типы анкет. Фактографические анкеты позволяют собрать объективную информацию об анализируемом объекте и получить, таким образом, систематизированную информационную модель объекта анализа (например, информационную модель внешней среды). Тематические анкеты – анкеты, позволяющие собрать информацию по определенной тематике (например, о работе кадровой подсистемы, подсистемы маркетинга или управления). Анкеты альтернатив – анкеты, предназначенные для разработки альтернатив. Оценочные анкеты – анкеты, предназначенные для оценки объектов экспертизы или элементов оцениваемой системы, в том числе альтернатив. Другими словами, все перечисленные выше типы анкет могут быть оценочными помимо обозначенных особенностей в случае, когда в анкете предусмотрены поля для вынесения суждений. Вопросному составу анкеты и структуре вопросов следует уделять пристальное внимание, результаты анкетирования должны обеспечивать ЛПР максимально полной и достоверной информацией, необходимой для принятия решения. Типология вопросов, применяемых при составлении анкет, представлена в табл. 8.2. Таблица 8.2 Виды и типы вопросов ![]() Источник: Малин А. С., Мухин В. И. Исследование систем управления. – С. 343 Окончательный вопросный состав анкеты формируется после ее пилотажа, т. е. апробации опроса экспертов с целью выявления некорректных, неясных вопросов, вызывающих дополнительные (со стороны экспертов) вопросы, и т. п. Кроме анкет-опросников экспертам предоставляется пояснительная записка, объясняющая исходные условия (цель и задачи опроса, объект экспертизы, сведения о проблемной ситуации, т. е. ее модель) и правила по заполнению анкет. Анкетирование как процесс сбора информации может быть очным и заочным. Очное анкетирование – это непосредственный контакт опрашивающего и опрашиваемого, предполагающий разъяснения по ходу опроса со стороны первого (недостаток – субъективное влияние опрашивающего на ответы опрашиваемого, достоинство – возможность уточнения и разъяснения вопросов). Заочное анкетирование не требует непосредственного контакта опрашиваемого и опрашивающего и позволяет привлекать к процессу оценивания территориально разделенных экспертов (например, из разных городов или структурных подразделений организации) без их отрыва от выполняемых функций (недостаток – невозможность уточнения вопросов, проблемной ситуации и правил по заполнению анкет). Методы обработки экспертной информации Экспертное ранжирование.Рангом называется степень отличия по какому-либо признаку, а ранжированием – процесс определения рангов, относительных количественных оценок степеней отличий по качественным признакам (например, расположение факторов в порядке их существенности, значимости в данном исследовательском контексте). Ранжирование применяется в случаях, когда невозможна или нецелесообразна непосредственная оценка. При этом «ранжирование объектов содержит лишь информацию о том, какой из объектов более предпочтителен, и не содержит информацию о том, насколько или во сколько раз один объект предпочтительнее другого. Объект, расположенный в ранжировании эксперта, скажем, на третьем месте, может превосходить объект, расположенный на четвертом месте, в 1,01 раза, а может превосходить и в 101 раз». [39] Метод простой ранжировки [40] заключается в том, что эксперты располагают объекты ранжирования (например, критерии) в порядке убывания их значимости (для альтернатив это убывание предпочтительности). Ранги обозначаются цифрами от 1 до n, где n – количество рангов. Сумма рангов Sn при этом будет равна сумме чисел натурального ряда: ![]() Так, при n = 6 последовательность рангов альтернатив An может выглядеть следующим образом: 2, 4, 1, 3, 6, 5, что означает, что ранг альтернативы A3 равен единице (RA3 = 1) и она наиболее предпочтительна из всех шести альтернатив (наименее предпочтительна альтернатива A5, так как RA5 = 6). При ранжировании n объектов m экспертами ранжирование проводят следующим образом. 1. Каждый эксперт выносит суждения о рангах объектов. 2. Для каждого объекта подсчитывают сумму рангов, полученных от всех экспертов, т. е. ![]() где Sn – представляет собой результирующий ранг n-го объекта; |
![Иллюстрация к книге — Управленческие решения [i_037.jpg] Иллюстрация к книге — Управленческие решения [i_037.jpg]](img/book_covers/066/66124/i_037.jpg)
![Иллюстрация к книге — Управленческие решения [i_038.jpg] Иллюстрация к книге — Управленческие решения [i_038.jpg]](img/book_covers/066/66124/i_038.jpg)
![Иллюстрация к книге — Управленческие решения [i_039.jpg] Иллюстрация к книге — Управленческие решения [i_039.jpg]](img/book_covers/066/66124/i_039.jpg)
![Иллюстрация к книге — Управленческие решения [i_040.jpg] Иллюстрация к книге — Управленческие решения [i_040.jpg]](img/book_covers/066/66124/i_040.jpg)