Книга Управленческие решения, страница 33 – Юрий Лапыгин, Денис Лапыгин

Авторы: А Б В Г Д Е Ж З И Й К Л М Н О П Р С Т У Ф Х Ч Ш Ы Э Ю Я
Книги: А Б В Г Д Е Ж З И Й К Л М Н О П Р С Т У Ф Х Ц Ч Ш Щ Ы Э Ю Я
Бесплатная онлайн библиотека LoveRead.in

Онлайн книга «Управленческие решения»

📃 Cтраница 33

Данное противоречие решается путем привлечения к процессу оценивания консультантов по управлению, одна из задач которых – организация взаимодействия участников процесса, в результате которого происходит взаимное информирование сторонних и внутренних экспертов.

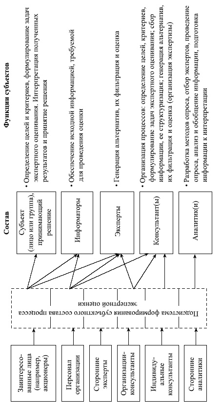
Субъектный состав экспертизы. Как система процесса оценки он может быть получен из круга решаемых задач и условий, в которых происходит процесс РУР.

Иллюстрация к книге — Управленческие решения [i_034.jpg]

Рис. 8.4. Схема формирования субъектного состава процесса экспертной оценки

В общем случае субъектный состав процесса экспертной оценки следующий (рис. 8.4):

● субъект (лицо или группа лиц), принимающий решение, – в этом случае в данное понятие включается не только лицо или группа, осуществляющая выбор, но и участники активной группы, т. е. лица, заинтересованные в решении;

● информаторы – это все те люди – источники информации, непосредственно связанные с процессами переработки ресурсов или управления;

● эксперты – это специалисты в конкретных областях функционирования организации (владеющие технологией переработки ресурсов) или в области управления ею (владеющие технологией управления), обладающие необходимыми процедуральными знаниями и способные на основе вновь поступившей информации выносить суждения, рекомендации и заключение по объекту экспертизы в пределах своей компетенции;

● консультанты по управлению – специалисты в области организации процессов выявления проблем, определения видения, миссии, целей, разработки критериев, генерирования альтернатив и их оценки, владеющие специальными инструментами и технологией разработки управленческих решений;

● аналитики – специалисты в какой-либо узкой области знаний, способные проводить анализ в областях решаемых проблем и владеющие специальными инструментами анализа и технологией их применения.

Объектный состав процесса экспертного оценивания. Представляет собой информационные модели действительного и желаемого состояний организации, а также условий среды, в которых она функционирует (рис. 8.5). Кроме этого в объектном составе могут присутствовать базы знаний, образованные путем анализа и систематизации как внутреннего опыта организации, так и внешнего (опыта других организаций).

Иллюстрация к книге — Управленческие решения [i_035.jpg]

Рис. 8.5. Объектный состав процесса экспертной оценки, его источники и методы формирования

В качестве объектов оценивания обычно выступают альтернативы решения проблем, генерируемые на основе контекста, в котором происходит разработка решения. При этом в функции эксперт-группы входит как генерация альтернатив, так и их оценка с выработкой рекомендаций по решению проблем.

Рассмотрим подробнее методы формирования эксперт-групп, методы сбора и обработки информации, получаемой от экспертов, и расширения метода экспертных оценок.

По объекту исследования экспертная информация может быть разделена на следующую информацию о:

● миссии и целях системы (в том числе рангах целей);

● функциях системы;

● составе системы;

● связях между элементами системы;

● тенденциях развития системы (прогнозе развития при различных факторах среды);

● возможных вариантах изменения системы (альтернативах);

● весах (рангах, значимости) элементов системы и их функциях.

Методы формирования эксперт-групп

На точность результатов экспертизы существенно влияет состав эксперт-группы. Одна из задач процедуры отбора – формирование системы характеристик эксперта. А. С. Малинин и В. И. Мухин предлагают для описания экспертов, с точки зрения оценки качества решения проблемы, использовать следующие характеристики: компетентность, креативность, конформность, аналитичность, широту и глубину мышления, самокритичность и др.

Под компетентностью понимают степень квалификации эксперта в определенной области знаний, обладание компетенцией (компетенция – круг вопросов, для решения которых лицо обладает необходимыми знаниями и умениями).

Креативность (англ. сreate – создавать) – это способность видеть контекст (существенные по отношению к данной проблеме обстоятельства) и создавать на его основе модели необходимых изменений, т. е. разрабатывать альтернативы.

Конформность – с одной стороны, способность личности к действительному преобразованию индивидуальных установок в результате внутреннего принятия позиции окружающих, которая оценивается как более объективная и обоснованная (обычно играет положительную роль), а с другой стороны, неустойчивость мнения, подверженность влиянию более авторитетных членов группы (играет отрицательную роль).

Аналитичность – в широком смысле способность эксперта к анализу и самоанализу, в узком смысле – способность анализировать проблемную ситуацию, т. е. выделять в ней элементы, определять связи между ними и функциональные зависимости, что позволяет находить место рассогласования в системе и разрабатывать модели требуемых изменений.

Широта мышления – это способность эксперта представлять исследуемую сущность не только в общем контексте, но и в других контекстах, формирующих новый аспект исследуемой сущности.

Глубина мышления – это способность эксперта представлять максимально возможное множество аспектов исследуемой сущности именно в данном контексте.

Самокритичность – способность эксперта абстрагироваться от эмоционального контекста и объективно оценивать собственную позицию.

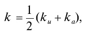
Определение компетентности эксперта методом самооценки

Компетентность экспертов оценивается определением коэффициента компетентности k по простой и полной методике. Коэффициент компетентности k вычисляется на основе суждений эксперта о степени своей информированности по решаемой проблеме с указанием источников аргументации своих суждений:

Иллюстрация к книге — Управленческие решения [i_036.jpg]

где ku – коэффициент информированности, получаемый на основе самооценки эксперта по 10-балльной шкале, умножаемый на 0,1;

ka – коэффициент аргументации, получаемый в результате суммирования баллов по табл. 8.1.

Эксперт заполняет таблицу без значений степеней влияния, оценивая влияние источников по качественной шкале: высокая – средняя – низкая. Затем качественные оценки заменяются их количественными показателями и подсчитывается (суммированием значений) количество баллов по всем источникам.

При этом должны выполняться условия: 0 ≤ ka ≤ 1, 0 ≤ ku ≤ 1 и соответственно 0 ≤ k ≤ 1.

Вход
Поиск по сайту
Ищем:
Календарь