Книга Теория ограничений Голдратта. Системный подход к непрерывному совершенствованию, страница 62 – Уильям Детмер

Авторы: А Б В Г Д Е Ж З И Й К Л М Н О П Р С Т У Ф Х Ч Ш Ы Э Ю Я
Книги: А Б В Г Д Е Ж З И Й К Л М Н О П Р С Т У Ф Х Ц Ч Ш Щ Ы Э Ю Я
Бесплатная онлайн библиотека LoveRead.in

Онлайн книга «Теория ограничений Голдратта. Системный подход к непрерывному совершенствованию»

📃 Cтраница 62

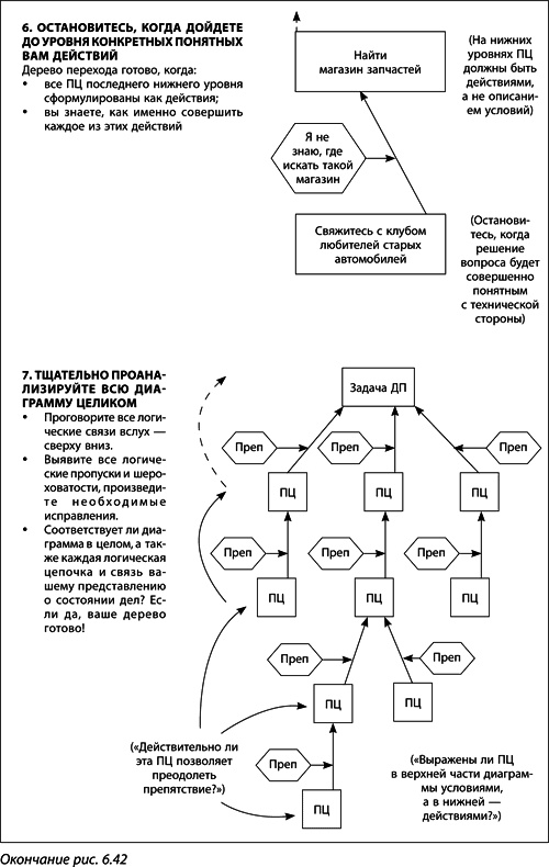
Кроме того, ППР дает возможность оценить план реализации задачи на предмет полноты и выполнимости. Ведь мы помним, что дерево перехода выявляет только необходимые для реализации задачи условия, в нем указан минимальный набор условий и действий по преодолению препятствий. Тем не менее этот набор может быть неполным, недостаточным для достижения желаемых результатов системы в целом.

Если же следом за ДП вы строите ППР, промежуточные цели ДП становятся первоочередными действиями или же результатами в ППР. В последнем как минимум будут учтены необходимые условия реализации задачи, но ППР позволяет дополнительно сформулировать и достаточные условия. Подробнее о совместном использовании дерева перехода и плана преобразований говорится в главе 7 «План преобразований».

Итак, теперь, когда наше дерево перехода готово, можно приступать к завершающей стадии – разработке детальной последовательности шагов, необходимых для реализации принятого решения.

Дерево текущей реальности выявило, что именно необходимо изменить в текущей ситуации; диаграмма разрешения конфликтов позволила сформулировать, в каком направлении вести перемены, а дерево будущей реальности помогло протестировать предложенные идеи на возможность воплощения. Далее мы использовали дерево перехода, чтобы наметить приблизительный, ориентировочный путь достижения цели, понять, какие действия помогут осуществить перемены, преодолеть стоящие на пути препятствия. Теперь схематичный рисунок (ДП) нужно наполнить содержанием, добавив в него не просто необходимые (как в дереве перехода), но достаточные для решения основной задачи пункты. Как это сделать, описано в главе 7, которая дает ответ на вопрос «Достаточно ли предложенных действий, чтобы сделать очередной шаг, приближающий нас к решению основной задачи?». Помните, что одного желания для совершенствования системы может быть недостаточно.

Благими намерениями вымощена дорога в ад.

Неизвестный источник
Иллюстрация к книге — Теория ограничений Голдратта. Системный подход к непрерывному совершенствованию [_331.jpg]
Иллюстрация к книге — Теория ограничений Голдратта. Системный подход к непрерывному совершенствованию [_332.jpg]
Иллюстрация к книге — Теория ограничений Голдратта. Системный подход к непрерывному совершенствованию [_333.jpg]
Иллюстрация к книге — Теория ограничений Голдратта. Системный подход к непрерывному совершенствованию [_334.jpg]
Иллюстрация к книге — Теория ограничений Голдратта. Системный подход к непрерывному совершенствованию [_335.jpg]
Иллюстрация к книге — Теория ограничений Голдратта. Системный подход к непрерывному совершенствованию [_336.jpg]
Иллюстрация к книге — Теория ограничений Голдратта. Системный подход к непрерывному совершенствованию [_337.jpg]
Иллюстрация к книге — Теория ограничений Голдратта. Системный подход к непрерывному совершенствованию [_338.jpg]
Иллюстрация к книге — Теория ограничений Голдратта. Системный подход к непрерывному совершенствованию [_339.jpg]
Иллюстрация к книге — Теория ограничений Голдратта. Системный подход к непрерывному совершенствованию [_340.jpg]
Иллюстрация к книге — Теория ограничений Голдратта. Системный подход к непрерывному совершенствованию [_341.jpg]
Иллюстрация к книге — Теория ограничений Голдратта. Системный подход к непрерывному совершенствованию [_342.jpg]
Иллюстрация к книге — Теория ограничений Голдратта. Системный подход к непрерывному совершенствованию [_343.jpg]
7 План преобразований

Одно практическое применение стоит тысячи теорий.

Закон Буккера
Иллюстрация к книге — Теория ограничений Голдратта. Системный подход к непрерывному совершенствованию [_345.jpg]

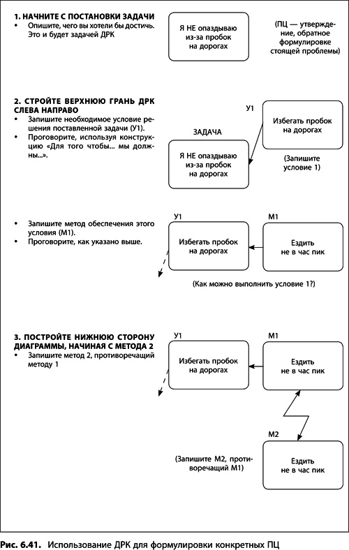
План преобразований (ППР) разрабатывается на завершающей стадии преобразования системы. С его помощью завершается строительство логики преобразований – от задач, поставленных перед конкретными исполнителями, до осуществления заветной цели руководства – создания обновленной развивающейся организации.

Различие между деревом перехода и планом преобразований заключается в том, что последнее содержит полный набор условий и действий, достаточный для выполнения стоящей задачи. Если ДП только выявляет преграды и помогает найти способы их преодоления, то ППР позволяет составить полноценный план действий по достижению цели.

Определение

План преобразований – это логическое построение, представляющее собой пошаговое описание процесса реализации задачи. Это инструмент внедрения. Его суть – дать исполнителям направляющие инструкции, следуя которым можно достичь желаемого результата (рис. 7.1). При этом ППР обычно использует последовательную логику продвижения к цели, а сама основная задача формулируется весьма конкретно.

Иллюстрация к книге — Теория ограничений Голдратта. Системный подход к непрерывному совершенствованию [_347.jpg]
Цель

План преобразований строится для того, чтобы:

Вход
Поиск по сайту
Ищем:
Календарь