Книга Теория ограничений Голдратта. Системный подход к непрерывному совершенствованию, страница 43 – Уильям Детмер

Авторы: А Б В Г Д Е Ж З И Й К Л М Н О П Р С Т У Ф Х Ч Ш Ы Э Ю Я
Книги: А Б В Г Д Е Ж З И Й К Л М Н О П Р С Т У Ф Х Ц Ч Ш Щ Ы Э Ю Я
Бесплатная онлайн библиотека LoveRead.in

Онлайн книга «Теория ограничений Голдратта. Системный подход к непрерывному совершенствованию»

📃 Cтраница 43

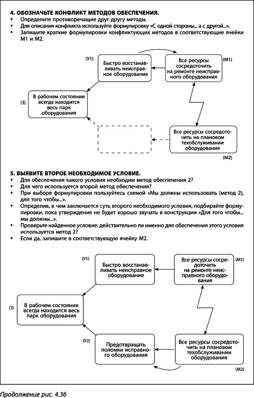
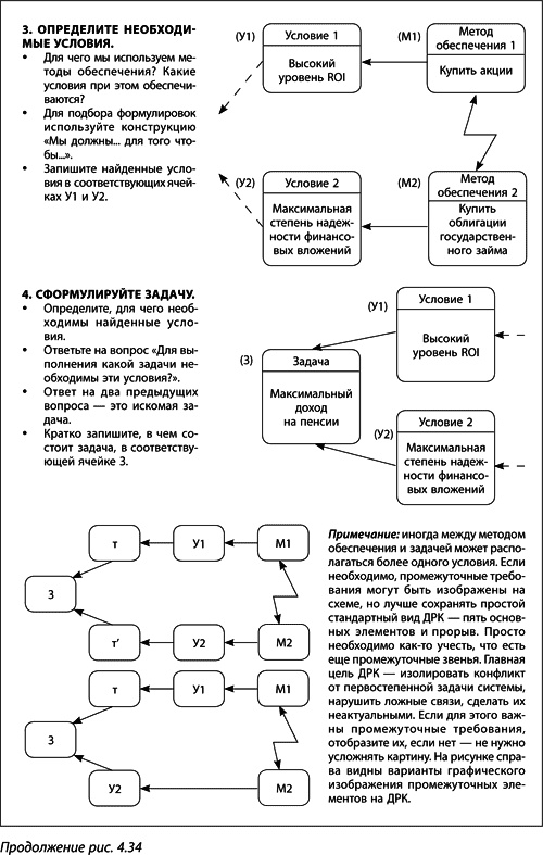
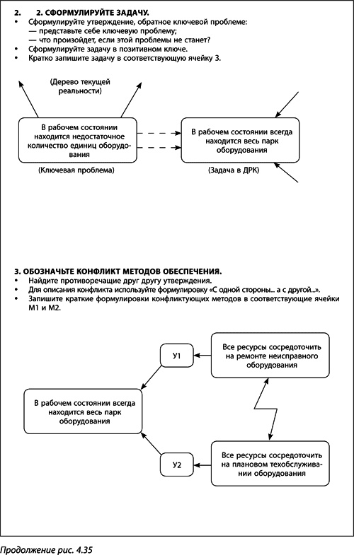
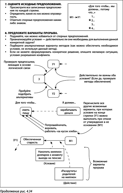
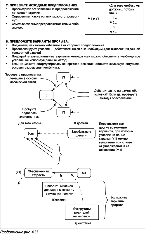
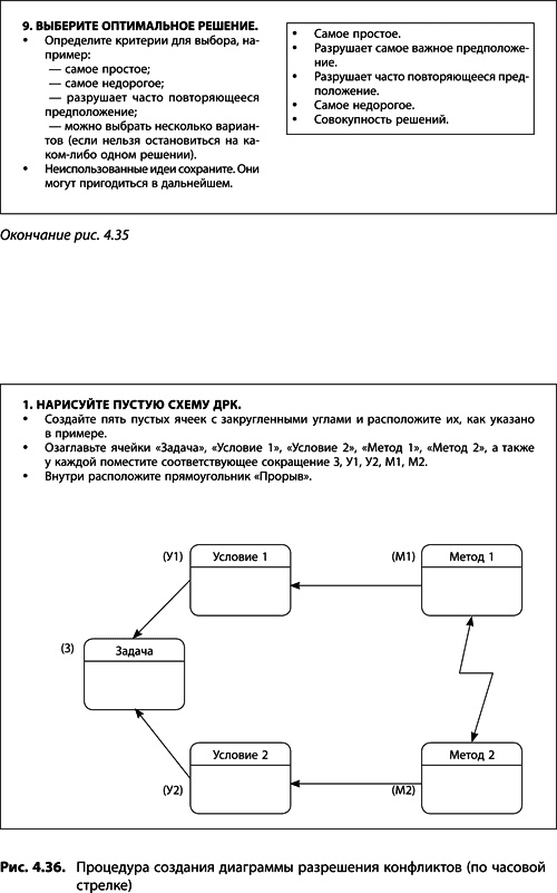
На рис. 4.33 приведен пример диаграммы разрешения конфликтов. Рисунки 4.34, 4.35 и 4.36 – это планы построения ДРК по часовой стрелке, справа налево или слева направо и в центр. На рис. 4.37 вы найдете чистые шаблоны, которые можно скопировать и использовать для создания ваших собственных ДРК.

Иллюстрация к книге — Теория ограничений Голдратта. Системный подход к непрерывному совершенствованию [_210.jpg]
Иллюстрация к книге — Теория ограничений Голдратта. Системный подход к непрерывному совершенствованию [_211.jpg]

Итак, секрет успешного построения ДРК кроется в возможности раскрыть и оспорить исходные предположения, которые лежат в основе логического построения. И если конфликт основан на ошибочных предположениях, то это необходимо показать его участникам, помочь им найти пути взаимовыгодного разрешения конфликтной ситуации.

Но даже светлые идеи сами по себе проблему не решат. Их необходимо испробовать и реализовать на практике. Необходимо проверить: действительно ли мы нашли прорыв, ведущий к желаемому результату? Не возникнут ли при таком решении новые проблемы? Все эти вопросы нужны для следующего инструмента ТОС – дерева будущей реальности, описанного в главе 5. ДБР позволяет полностью ответить на вопрос «Что делать с ограничением?».

Мы не решаемся сделать шаг не потому, что он труден. Он труден именно потому, что мы на него не решаемся.

Сенека
Иллюстрация к книге — Теория ограничений Голдратта. Системный подход к непрерывному совершенствованию [_212.jpg]
Иллюстрация к книге — Теория ограничений Голдратта. Системный подход к непрерывному совершенствованию [_213.jpg]
Иллюстрация к книге — Теория ограничений Голдратта. Системный подход к непрерывному совершенствованию [_214.jpg]
Иллюстрация к книге — Теория ограничений Голдратта. Системный подход к непрерывному совершенствованию [_215.jpg]
Иллюстрация к книге — Теория ограничений Голдратта. Системный подход к непрерывному совершенствованию [_216.jpg]
Иллюстрация к книге — Теория ограничений Голдратта. Системный подход к непрерывному совершенствованию [_217.jpg]
Иллюстрация к книге — Теория ограничений Голдратта. Системный подход к непрерывному совершенствованию [_218.jpg]
Иллюстрация к книге — Теория ограничений Голдратта. Системный подход к непрерывному совершенствованию [_219.jpg]
Иллюстрация к книге — Теория ограничений Голдратта. Системный подход к непрерывному совершенствованию [_220.jpg]
Иллюстрация к книге — Теория ограничений Голдратта. Системный подход к непрерывному совершенствованию [_221.jpg]
Иллюстрация к книге — Теория ограничений Голдратта. Системный подход к непрерывному совершенствованию [_222.jpg]
Иллюстрация к книге — Теория ограничений Голдратта. Системный подход к непрерывному совершенствованию [_223.jpg]
Иллюстрация к книге — Теория ограничений Голдратта. Системный подход к непрерывному совершенствованию [_224.jpg]
Иллюстрация к книге — Теория ограничений Голдратта. Системный подход к непрерывному совершенствованию [_225.jpg]
Иллюстрация к книге — Теория ограничений Голдратта. Системный подход к непрерывному совершенствованию [_226.jpg]
Иллюстрация к книге — Теория ограничений Голдратта. Системный подход к непрерывному совершенствованию [_227.jpg]
Иллюстрация к книге — Теория ограничений Голдратта. Системный подход к непрерывному совершенствованию [_228.jpg]
5 Дерево будущей реальности

Заняться чем-то абсолютно новым – значит начать все с нуля, отказавшись от привычного и рискуя не овладеть непознанным.

Айзек Азимов
Иллюстрация к книге — Теория ограничений Голдратта. Системный подход к непрерывному совершенствованию [_229.jpg]

Представьте себе, что вы отвечаете за работу некой сложной системы, к примеру государственной системы образования. Теперь предположим, что система эта не справляется со своей задачей – предоставлением качественного образования. И вы понимаете: нужно что-то менять, иначе вся система разрушится. Недостатка в идеях нет, но решиться на конкретные шаги очень сложно. Вы понимаете: потребуются огромные вложения и ошибаться нельзя.

Что же предпринять? Просто выбрать какой-то интересный вариант, сказав: «Кажется, вот это неплохая идея»? Или все же как-то убедиться заранее, что выбранное решение принесет ожидаемые результаты и при этом не породит новых проблем?

Вход
Поиск по сайту
Ищем:
Календарь