Книга Битва за хлеб. От продразверстки до коллективизации, страница 142 – Елена Прудникова

Авторы: А Б В Г Д Е Ж З И Й К Л М Н О П Р С Т У Ф Х Ч Ш Ы Э Ю Я
Книги: А Б В Г Д Е Ж З И Й К Л М Н О П Р С Т У Ф Х Ц Ч Ш Щ Ы Э Ю Я
Бесплатная онлайн библиотека LoveRead.in

Онлайн книга «Битва за хлеб. От продразверстки до коллективизации»

📃 Cтраница 142

Все закончилось в октябре.

«23 и особенно 24 октября 1929 г. началось стремительное падение акций Нью-Йоркской фондовой биржи. Сотни тысяч вкладчиков пытались спасти свои небольшие капиталы, усиливая панику. К концу октября в США обесценились акции на 15 млрд долларов. Разорилось почти 500 миллионеров (из 513) и около миллиона мелких вкладчиков. Потерявшие все бизнесмены отправлялись на биржу труда или кончали с собой.

Сначала большинству американцев казалось, что крах на Уолл-стрит касается прежде всего биржевых игроков. Даже видные аналитики, завороженные экономическими догмами саморегулирующегося рынка, утверждали, что положение вот-вот выправится. Это были наивные надежды. В условиях капиталистической экономики именно финансовая система была регулятором развития реального производства. Она разваливалась – разваливались и хозяйственные связи. К тому же перенасыщенный рынок не мог помочь финансовой системе возродиться.

Банки лишились средств, промышленность – банковских кредитов и собственных оборотных средств. Акции „Юнайтед стил“ упали в 17 раз, „Дженерал моторс“ – почти в 80 раз, „Радиокорпорейшн“ – в 33 раза, „Крайслера“ – в 27 раз. Общая цена акций упала в 4,5 раза. К концу года обесценились акции на 40 млрд долларов. Это значило не только разорение вкладчиков. Теперь у компаний не было средств на развитие производства. Обескровленное производство останавливалось, массы работников оказывались на улице…»

Это было только начало. В течение ближайших четырех лет кризис, одну за другой, будет охватывать все новые и новые страны. И только одно государство, защищенное от всех мировых бурь стеной полностью национализированной плановой экономики, сумеет опереться на кризис и рванется вверх с огромной скоростью. Когда Великая депрессия закончится, это будет уже совершенно другая страна.

Но это еще только будет. А пока, сразу вслед за первыми признаками надвигающегося краха, советское правительство сорвало предохранители, задействовало все ресурсы – административные, идеологические, кадровые – и бросило их в деревню, готовить индустриализацию, пока еще есть хоть немного времени…

Низкий старт

Но ты зацветаешь,

моя дорогая земля.

Ты зацветешь

(или буду я трижды проклят)

на серных болванках железа,

на пирамидах угля,

на пепле

сожженной соломенной кровли.

Владимир Луговской. Пепел

Итак, до лета 1929 года все шло достаточно спокойно и по плану. Дальше началась кампания и, как обычно бывает при любых кампаниях, хоть при царе Петре, хоть при генсеке Сталине, процесс состоял из двух встречных потоков: плановых руководящих указаний сверху и низовой стихии, как ее ни называй – хоть волюнтаризмом, хоть административным восторгом, хоть усердием не по разуму. Многочисленные местные леваки, которых за несколько послевоенных лет не успели ни научить, ни перевоспитать, радостно рванули вперед.

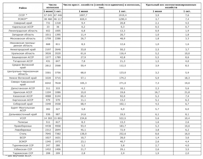
Но о них чуть позже, а пока вернемся в Чапаевский район, один из очагов коллективизации. Уже к сентябрю там было организовано 500 колхозов, однако вовсе не тех, где курей сгоняют на общий двор, а по преимуществу ТОЗов, коих из общего числа насчитывалась 461 штука, а кроме того, 34 артели и всего 5 коммун. Они объединяли 6441 хозяйство из 10 275 (63 %) и обобществили 131 тыс. га из 220 тыс., в том числе 82 га пашни (почти 50 % из того, что имелось в районе). Простым подсчетом мы получим, что средний размер пашни на одно хозяйство – 1,3 га. То есть объединялись действительно бедные из бедных, что и требовалось получить.

Районы сплошной коллективизации стали появляться и в других местах. В августе 1929 года о ней объявил уже целый округ – Хоперский в Нижне-Волжском крае. 27 августа вопрос был рассмотрен окружным комитетом ВКП(б), 4 сентября – Колхозцентром. Однако срок ставился вполне разумный – коллективизацию округа предполагалось закончить в течение пятилетки, и только четырех передовых районов – в ближайший год. С 15 сентября в округе был объявлен месячник по проведению коллективизации – и работа началась.

Это была именно работа, продвигаемая и направляемая сверху, обкатка механизма, которому предстоит вскоре закрутиться по всей стране. В станицы и села округа выехали 11 бригад организаторов из партийных и профсоюзных работников, общей численностью 216 человек – т. е. по 20 человек на бригаду, и почти столько же партийных работников из районов. Они созывали собрания бедняков и батраков, бывших красногвардейцев и партизан, комсомольцев и женщин – всех, на кого могла хоть как-то опереться власть. В августе колхозы объединяли около 12 тыс. хозяйств, в октябре уже втрое больше, а процент коллективизации поднялся до 38 %. Что еще более важно, примерно в 6 раз выросли размеры колхозов. Контингент они охватывали тот, который нужно: 56 % колхозников составляли бедняки и батраки, 42 % – середняки. Среди мелких хозяйств преобладали ТОЗы, среди крупных почти все были артелями и коммунами, где почти полностью обобществлен рабочий скот и наполовину – коровы и овцы.

Потихоньку процесс начали раскручивать по всем сельскохозяйственным регионам, придерживая потребляющие: не ради них эта затея. Впереди шли зерновые районы, ради которых все и начиналось. Именно там были собраны и главные агитсредства в пользу колхозов. Думаете, политагитаторы из центра? Ага, конечно! Лучше всех за новые формы хозяйства агитировал Его Величество.

В то время в СССР насчитывалось около 27 тысяч тракторов. Практически все они теперь были объединены в МТС и тракторные колонны, которых к тому времени на территории РСФСР и Украины насчитывалось уже около сотни – мобилизация техники потихоньку давала плоды. 17 МТС действовали на Северном Кавказе, 17 – в Центрально-Черноземной области, 16 – в Поволжье. Именно они и служили центрами коллективизации. Всего один пример: в Мамлютском районе в Сибири до организации МТС в колхозах состояло 26 % крестьянских хозяйств, а после одного сезона работы станции этот процент подскочил до 88 %. Административным нажимом этого никак не объяснишь, а вот наглядным примером – очень даже просто. То же происходило и вокруг других МТС и колонн – где-то процент коллективизации был выше, где-то ниже, но всегда больше, чем в удаленных от МТС районах.

Группировались коллективные хозяйства и возле успешных совхозов. Что тоже неудивительно – оказывал свое действие пример крупного интенсивного хозяйства. Так, вокруг 14 совхозов Северного Кавказа в 1929 году появилось 125 колхозов, в Пугачевском округе Нижне-Волжского края, где было создано 8 крупных зерновых хозяйств, в концe 1929 года уровень коллективизации был 42,6 %, а в соседних районах – от 9 до 16 %.

В октябре успехи первого рывка выглядели следующим образом [271]:

Иллюстрация к книге — Битва за хлеб. От продразверстки до коллективизации [t9.jpg]
Вход
Поиск по сайту
Ищем:
Календарь