Книга Водоснабжение, канализация и отопление загородного дома, страница 38 – Иван Никитко

Авторы: А Б В Г Д Е Ж З И Й К Л М Н О П Р С Т У Ф Х Ч Ш Ы Э Ю Я
Книги: А Б В Г Д Е Ж З И Й К Л М Н О П Р С Т У Ф Х Ц Ч Ш Щ Ы Э Ю Я
Бесплатная онлайн библиотека LoveRead.in

Онлайн книга «Водоснабжение, канализация и отопление загородного дома»

📃 Cтраница 38

Недостатками котла со встроенным бойлером являются существенно увеличившиеся габариты (по сравнению с котлом со встроенным змеевиком), большой вес (за счет бойлера), а также увеличение расхода топлива (необходимо поддерживать температуру воды, запасенной в бойлере).

Одноконтурные котлы считаются более надежными и удобными в эксплуатации. К тому же выход из строя одноконтурного котла означает лишение дома тепла, но система горячего водоснабжения при этом продолжает работать. Если же из строя вышел двухконтурный котел, то дом лишается сразу и отопления, и горячего водоснабжения. Еще одним недостатком двухконтурных котлов является ограничение по выбору теплоносителя: если теплоноситель ядовит или агрессивен и его попадание в систему водоснабжения может привести к возникновению опасности для жизни и здоровья людей, то двухконтурный котел использовать нельзя.

Выбор теплоносителя

Вода – широко известный теплоноситель, применяющийся с давних времен. У нее множество положительных качеств: вода дешева; для обеспечения системы теплоснабжения водой достаточно иметь систему водоснабжения (воду не приходится покупать для того, чтобы залить ее в систему теплоснабжения); ее удельная теплоемкость равна 4,168 кДж/кг, что делает воду не только общедоступным, но и весьма эффективным теплоносителем.

К недостаткам воды относится высокая точка замерзания – 0 °C. Для большей части российской территории это настоящая проблема, ведь холодный период года длится несколько месяцев, и температура окружающей среды падает не только до точки замерзания воды, но и гораздо ниже, что способно обеспечить замерзание воды не только в лужах, открытых водоемах и на катках, но и в отопительной системе. А вода при замерзании, как всем известно, расширяется, и в результате в отопительной системе могут быть разрушены краны, трубы, отопительные приборы (радиаторы) и даже сами отопительные котлы. Поэтому, используя в качестве теплоносителя воду, приходится тщательно оберегать отопительную систему от замерзания – либо постоянно топить (что возможно только при постоянном проживании в доме), либо удалять воду из системы отопления, если в доме долгое время никого не будет и отопление не требуется.

Подобный недостаток воды привел к активному поиску альтернативного теплоносителя, который мог бы выполнять все необходимые функции (доставка тепла от отопительного котла к отопительным приборам) и при этом обладал более низкой точкой замерзания. В результате появились специальные антифризы для отопительных систем.

Следует заметить, что антифриз для отопительных систем – это совсем не то же самое, что антифриз для автомобиля. Так что автомобильный тосол категорически нельзя заливать в отопительную систему. И дело тут вовсе не в точке замерзания, с ней как раз все в порядке. Антифриз для отопительных систем должен обладать определенными свойствами, которых автомобильный антифриз не имеет. Для того чтобы применяться в системе отопления жилого дома, антифриз должен:

✓ быть пожаробезопасным;

✓ не содержать добавок, запрещенных к использованию в жилых помещениях и способных нанести вред здоровью человека;

✓ не содержать добавок, которые могли бы вступить в реакцию с металлом;

✓ не разрушать резину, пластик, эластомеры и т. д. (материалы, которые используются в отопительных системах, к примеру резиновые прокладки).


Автомобильные тосолы этим требованиям не соответствуют.

Антифризы для систем отопления в большинстве случаев имеют в своей основе водный раствор пропиленгликоля или этиленгликоля. Существуют также антифризы, в основе которых лежат водные растворы солей, спиртов, диэтиленгликоля, моногликоля и другие, но они не получили такого широкого распространения.

Антифризы очень текучи, гораздо текучее воды, особенно это проявляется при охлаждении системы – когда при низких температурах происходит неравномерное сжатие металла и прокладок и появляются микрощели, антифриз способен через них просочиться. Для того чтобы быстро определять утечку, антифризы на основе этиленгликоля окрашиваются в красный цвет, а на основе пропиленгликоля – в зеленый.

Антифризы на базе этиленгликоля достаточно дешевы, но имеют существенный недостаток: этиленгликоль токсичен. Поэтому для использования такого антифриза не годятся отопительные системы с открытым расширительным баком (пары этиленгликоля тоже не безвредны), и его нельзя использовать в системах отопления двухконтурного типа – такая система отопления включает в себя контур отопления и контур горячего водоснабжения, и высока вероятность того, что токсичное вещество попадет в контур горячего водоснабжения. Так что использовать антифризы на базе этиленгликоля можно только в одноконтурных отопительных системах.

Антифризы на базе пропиленгликоля гораздо дороже, но они безопаснее в применении – такие антифризы являются нетоксичными и могут быть использованы в двухконтурных системах отопления без всякого опасения за здоровье.

Все антифризы, предназначенные для использования в отопительных системах, имеют специальные присадки, снижающие вероятность коррозии, препятствующие образованию накипи, защищающие от вспенивания, препятствующие растворению и набуханию уплотнителей для герметизации. Такие присадки позволяют использовать антифризы в отопительной системе – и именно из-за отсутствия данных присадок использовать в отопительной системе автомобильный тосол нельзя, это приведет лишь к выходу системы из строя, а то и к отравлению (если тосол будет использован в двухконтурной отопительной системе или просочится, разрушив прокладки).

Антифризы выпускаются в виде концентрата, который рекомендуется разбавлять водой для получения нужной температуры замерзания. Считается, что оптимально использовать антифриз с температурой замерзания +20… +25 °C.

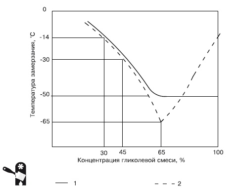
При разбавлении антифризов водой может возникнуть проблема: выпадение осадка, что происходит из-за наличия в воде солей (Рис. 3.25). Рекомендуется либо использовать дистиллированную воду, либо воду с жесткостью, не превышающей 5 мг-экв/л. К сожалению, далеко не всегда известна жесткость воды в водопроводе, а она может оказаться существенно выше, чем допустимая. Для того чтобы не переводить напрасно дорогостоящий продукт (антифриз), лучше развести водой небольшое его количество, соблюдая нужную пропорцию, и убедиться в отсутствии осадка. Если же осадок имеется, то придется отказаться от водопроводной воды и приобрести дистиллированную.

Иллюстрация к книге — Водоснабжение, канализация и отопление загородного дома [i_111.jpg]

Рис. 3.25.Изменение точки замерзания в зависимости от концентрации антифриза: 1 – антифриз на основе пропиленгликоля; 2 – антифриз на основе этиленгликоля


Случается, что температура зимой падает и ниже, но при этом нет таких катастрофических последствий для отопительной системы, как в случае с водой: если вода при достижении точки замерзания превращается в лед, расширяется и разрушает систему отопления, то антифризы всего лишь густеют (до –65 °C), а затем, после отогревания, вновь возвращаются все свойства, необходимые для нормального функционирования отопительной системы, в том числе и плотность.

Вход
Поиск по сайту
Ищем:
Календарь