Книга Занимательная экономика. Теория экономических механизмов от А до Я, страница 48 – Александр Филатов, Алексей Савватеев

Авторы: А Б В Г Д Е Ж З И Й К Л М Н О П Р С Т У Ф Х Ч Ш Ы Э Ю Я
Книги: А Б В Г Д Е Ж З И Й К Л М Н О П Р С Т У Ф Х Ц Ч Ш Щ Ы Э Ю Я
Бесплатная онлайн библиотека LoveRead.in

Онлайн книга «Занимательная экономика. Теория экономических механизмов от А до Я»

📃 Cтраница 48

Третий вид включает схемы со скользящей шкалой: 0 < b < 1. Такой метод регулирования является компромиссом между двумя вышеперечисленными. Часть выгоды от снижения издержек достается потребителям, а часть – монополии. Это могут быть механизмы с так называемой скользящей шкалой и другие механизмы разделения выгод и издержек.

6.3.2. Регулирование нормы отдачи на капитал

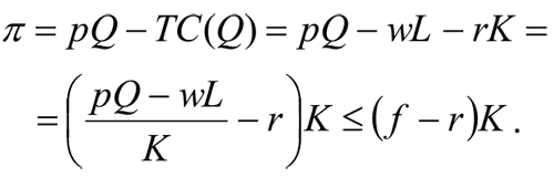
Механизм регулировании нормы отдачи на капитал заключается в том, что доход на капитал, получаемый фирмой, не должен превышать установленного регулирующими органами «справедливого» уровня f. Доход на капитал определяется как (pQ – wL) / K, то есть разность выручки и издержек по некапитальным ресурсам, деленная на капитал. Здесь и далее p – цена, Q – объем выпуска, L – рабочая сила, K – основной капитал компании, w – средняя заработная плата, r – цена единицы капитала. Фирма может выбирать любые значения K, L, Q, p так, чтобы выполнялось неравенство

(pQ – wL) / K ≤ f

Соотнесем это ограничение с прибылью монополиста, которая находится как разность суммарной выручки и суммарных издержек:

Иллюстрация к книге — Занимательная экономика. Теория экономических механизмов от А до Я [i_086.jpg]

Таким образом, ограничение нормы отдачи на капитал эквивалентно ограничению прибыли некоторым положительным значением:

π ≤ (f – r)K.

Заметим, что прибыль в этой ситуации все-таки может быть больше нуля, а значит, не происходит выхода монополиста не только на первое, но и на второе наилучшее решение. Впрочем, это не главный недостаток метода. Хуже то, что в данном механизме выручка фирмы привязана к ее издержкам, а это ведет к отсутствию стимулов снижать их путем совершенствования технологий и методов управления. Более того, механизм ориентирован на капитальную составляющую. Фирме выгодно завышать соотношение K/L и производить продукцию с бо́льшим объемом капитала и меньшим объемом труда, а значит, и инвестировать в избыточные мощности. Есть и другие проблемы, в том числе связанные с информационной асимметрией. Выявление регулирующими органами истинных издержек и доходов фирмы – очень непростая задача, и здесь тоже следует ожидать злоупотреблений.

Некоторые отрицательные моменты могут быть сглажены длиной регуляционного лага. Чем больше время между периодами пересмотра ограничений, тем больше стимулов у монополии к снижению издержек. Действительно, все сэкономленное внутри периода (в нашем случае долгого) достается фирме. Напротив, избыточные мощности, хотя и позволят осуществить в будущем корректировку допустимой прибыли, но если дело касается очень отдаленных времен, то сегодняшние потери могут перекрыть будущие выгоды. Таким образом, в механизме появляются черты схемы ценовых лимитов или скользящей шкалы.

Одновременно с указанными недостатками нужно отметить и положительные черты данного вида регулирования. Во-первых, он позволяет избежать риска банкротства монополии, обеспечивая стабильность положения отрасли вне контекста внешних шоков. Во-вторых, он гарантирует получение отдачи от сделанных инвестиций, что особенно важно для отраслей с высоким уровнем постоянных издержек, где нехватка инвестиций ощущается достаточно остро.

6.3.3. Ценовые лимиты

Основной идеей данного вида регулирования является установление фиксированного потолка для цены, по которой регулируемая фирма продает продукцию. Поскольку ограничение, накладываемое на фирму, не ставится в зависимость от фактических издержек, ценовые лимиты в чистом виде являются механизмом, порождающим мощные стимулы к удешевлению продукции. Действительно, как и в совершенной конкуренции, где фирма также выступает в роли ценополучателя, снижение издержек является единственным способом получения прибыли.

При использовании данного механизма в случае однопродуктовой монополии фирме разрешается назначать цену, которая не превосходит установленный регулятором лимит и присваивать всю получаемую в результате прибыль. В многопродуктовой монополии регулирующие органы устанавливают агрегированный ценовой лимит для корзины имеющихся продуктов, например в формате средневзвешенной цены. Фирме разрешается менять цены на отдельные продукты, но с тем условием, что эти изменения не приведут к превышению над агрегированным лимитом.

Регулирующие органы также могут объявить о том, что ценовой лимит будет постоянно корректироваться в соответствии с заранее установленным экзогенным для фирмы фактором. Например, он может быть привязан к индексу цен ресурсов. Часто также используется индекс потребительских цен CPI, иногда за вычетом ожидаемого в среднем роста производительности X. Данный механизм получил название CPI–X регулирования.

Если регулирующий орган обладает полной информацией о спросе на продукцию и об издержках производителя, он может назначить оптимальные цены, соответствующие второму наилучшему решению. В противном случае, для того чтобы фирма гарантированно не несла убытков, цена обычно устанавливается выше оптимальной, объем производства сокращается, а у фирмы появляется прибыль. Более того, благодаря стимулам к снижению издержек прибыль может начать увеличиваться.

Существует несколько проблем, связанных с применением представленного механизма на практике. Для многопродуктовой фирмы лимитом является некоторый агрегированный показатель, рассчитываемый на основе цен отдельных товаров. Монополисту предоставляется некоторая свобода в отношении корректировки цен. Он должен находиться в рамках общего ограничения, однако ребалансировка цен (одни продукты становятся дороже, а другие – дешевле) позволяет ему повысить прибыль. И первая проблема заключается в том, что такие действия могут задеть интересы некоторых групп потребителей и привести к нежелательным перераспределительным эффектам. Поэтому регулирующие органы зачастую вводят дополнительные ограничения на скорость, с которой проводится изменение соотношений цен.

Другая проблема связана с лагом регулирования. Большой период между пересмотрами лимитов обеспечивает высокие стимулы для производственной эффективности, хотя и может сказаться отрицательно на общественной эффективности. Следовательно, важно, чтобы между пересмотрами был достаточный период, однако его продолжительность заранее и четко зафиксирована. Чаще всего лаг составляет около пяти лет.

6.3.4. Схемы скользящей шкалы

Рассмотренные в нескольких предыдущих параграфах механизмы обладают ощутимыми недостатками. Регулирование нормы отдачи на капитал не создает никаких стимулов к снижению издержек производства. Напротив, схемы ценовых лимитов разрешают монополии получать достаточно высокие прибыли, а значит, сопряжены с сокращением выпуска и мертвыми потерями. Можно разработать более гибкий промежуточный механизм, позволяющий сократить как те, так и другие недостатки.

Вход
Поиск по сайту
Ищем:
Календарь