Книга Занимательная экономика. Теория экономических механизмов от А до Я, страница 45 – Александр Филатов, Алексей Савватеев

Авторы: А Б В Г Д Е Ж З И Й К Л М Н О П Р С Т У Ф Х Ч Ш Ы Э Ю Я
Книги: А Б В Г Д Е Ж З И Й К Л М Н О П Р С Т У Ф Х Ц Ч Ш Щ Ы Э Ю Я
Бесплатная онлайн библиотека LoveRead.in

Онлайн книга «Занимательная экономика. Теория экономических механизмов от А до Я»

📃 Cтраница 45

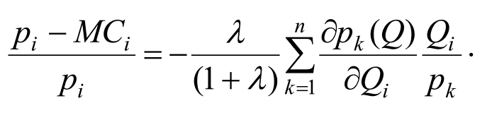
Находим решение данной задачи в общем виде. Доля наценки на i-товар в его цене выражается соотношением

Иллюстрация к книге — Занимательная экономика. Теория экономических механизмов от А до Я [i_076.jpg]

Здесь λ – множитель Лагранжа ограничения-равенства.

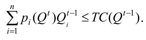
Если все перекрестные эластичности нулевые, то решение примет вид

Иллюстрация к книге — Занимательная экономика. Теория экономических механизмов от А до Я [i_077.jpg]

Здесь εi – эластичность спроса на i-й продукт по цене.

Приведенное выражение называют правилом обратных эластичностей. Впервые оно было сформулировано французским исследователем Франком Рамсеем и носит его имя. Смысл этого выражения заключается в том, что цена выше для тех товаров, у которых эластичность мала. Причем степень отклонения цен от предельных издержек определяется степенью жесткости бюджетного ограничения фирмы, то есть коэффициентом λ.

Механизм Рамсея можно реализовать следующим образом. Пусть известны общественно эффективные объемы выпуска всех продуктов естественной монополии, то есть удовлетворяющие спрос по ценам, равным предельным издержкам. Эта убыточная для производителя ситуация будет точкой отсчета. Далее же по Рамсею необходимо сокращать объемы выпуска всех продуктов в одинаковой пропорции до тех пор, пока не исчезнут убытки монополиста, то есть пока суммарная выручка не сравняется с суммарными издержками.

Данный подход является вполне разумным. Во-первых, он предоставляет возможность выхода на второе наилучшее решение, то есть позволяет монополии избежать убытков, а регулятору – всех связанных с необходимостью субсидирования проблем. Одновременно он обеспечивает максимальную экономическую эффективность в назначении цен. Тем не менее и у цен Рамсея имеются свои подводные камни, не позволяющие во многих случаях применять их на практике.

Во-первых, регулирующему органу необходима подробная информация о спросе на каждый из продуктов, производимых монополистом, а также о функции суммарных издержек. На деле добыть такую информацию достаточно трудно. Поэтому, например, правило одинаковых надбавок над предельными издержками используется куда чаще, чем правило надбавок, величина которых определяется в соответствии с эластичностями.

Усугубляет ситуацию тот факт, что по правилу Рамсея наценка оказывается выше на товары с более низкой эластичностью спроса. Но как мы знаем, низкая эластичность, как правило, наблюдается на рынках товаров первой необходимости, не имеющих близких аналогов. Потребителями таких товаров часто являются малообеспеченные слои населения, не имеющие выбора в потреблении и не обладающие при этом возможностью отказаться от приобретения данного товара в силу его жизненной важности.

Получается, что применение цен Рамсея приводит к максимальной наценке на товары для бедных, что нарушает принципы социальной справедливости, хоть и обеспечивает максимальную эффективность, понимаемую строго формально.

6.2.2. Механизм Вогельсанга-Финсингера

Если традиционный для экономики конфликт между экономической эффективностью и социальной справедливостью разрешить сложно, то осуществить переход к ценам Рамсея в условиях неполноты и асимметрии информации помогает предложенный в 1979 году механизм Вогельсанга-Финсингера. Это динамический регуляторный механизм, под воздействием которого монополия со временем меняет объемы выпуска так, чтобы в конце концов прийти к оптимальным по Рамсею ценам. Важно, что она делает это добровольно, исходя из принципов индивидуальной рациональности. При этом регулирующему органу удается избежать сбора большого объема информации.

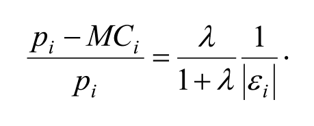
Рассмотрим механизм Вогельсанга-Финсингера более подробно. Пусть известными являются выпуск и суммарные издержки монополиста в предыдущий период времени TC(Q t–1). Монополисту разрешено в следующий период устанавливать такие цены, чтобы его суммарная выручка при неизменном выпуске Q t–1 не превышала старых издержек, то есть чтобы выполнялось следующее ограничение:

Иллюстрация к книге — Занимательная экономика. Теория экономических механизмов от А до Я [i_078.jpg]

При этом, меняя выпуск Q t, монополист снова может перейти к ситуации положительной прибыли, которую и захочет максимизировать:

Иллюстрация к книге — Занимательная экономика. Теория экономических механизмов от А до Я [i_079.jpg]

Таким образом он сам меняет цены и объемы, приближаясь к устойчивому общественно эффективному состоянию. Для упрощенного варианта однопродуктового производства схема механизма изображена на рис. 6.4.

При этом, что особенно важно, механизм Вогельсанга-Финсингера работает в условиях неполной информации. Регулирующему органу необязательно знать хоть что-то про спрос, вид функции издержек, а также оптимальные цены. По сути для регулирования требуется знать только средние издержки компании при прошлом выпуске.

В то же время на практике зачастую бывает сложно определить даже величину фактически имевшихся в прошлом затрат. Регулирующий орган полагается в основном на отчетность фирмы, а в этом случае фирма заинтересована завышать реальные цифры. Действительно, завышение издержек АTC t–1 приводит к более высоким ценам pt в следующем периоде. А значит, существует опасность целенаправленной растраты ресурсов, которая увеличивает издержки. Например, это можно сделать, покупая материалы по слишком высоким ценам (в том числе по взаимовыгодной договоренности с их поставщиком) или создавая избыточные мощности.

Иллюстрация к книге — Занимательная экономика. Теория экономических механизмов от А до Я [i_080.jpg]

Рис. 6.4. Динамический механизм Вогельсанга-Финсингера.


Кроме того, если средние издержки не снижаются с ростом производства, применение такой схемы может привести к убыткам фирмы. Также остается неясным, как механизм будет адаптироваться к изменениям технологии, цен на ресурсы, спроса и т. д. Тем не менее данная схема всегда вынуждает монополию двигаться ко второму наилучшему решению и в конечном счете работать эффективнее.

Механизм Вогельсанга-Финсингера может применяться не только к обычным тарифам, но и к двухкомпонентным, включающим плату за доступ. Рассмотрим эту ситуацию более подробно.

Вход
Поиск по сайту
Ищем:
Календарь