Книга Вирусы и эпидемии в истории мира. Прошлое, настоящее и будущее, страница 70 – Майкл Олдстоун

Авторы: А Б В Г Д Е Ж З И Й К Л М Н О П Р С Т У Ф Х Ч Ш Ы Э Ю Я
Книги: А Б В Г Д Е Ж З И Й К Л М Н О П Р С Т У Ф Х Ц Ч Ш Щ Ы Э Ю Я
Бесплатная онлайн библиотека LoveRead.in

Онлайн книга «Вирусы и эпидемии в истории мира. Прошлое, настоящее и будущее»

📃 Cтраница 70

Когда эксперты прибыли на место, больница была практически заброшена, остались лишь несколько пациентов, неспособных передвигаться. Команда ученых приступила к работе, а правительство Заира тем временем выставило кордоны, чтобы предотвратить побег еще большего количества заразных горожан в близлежащие деревни или даже огромные трущобы Киншасы, столицы Заира, где проживала большая часть ее 4,5-миллионного населения. Карантинные меры по большей части оказались декларативными – в Заире уже год не было нормально функционирующего правительства. Международная команда врачей послала на улицы людей с громкоговорителями, чтобы постараться уговорить людей оставаться дома. Им удалось также вычислить предварительное число погибших – по крайней мере 58 из 76 подтвержденных больных уже умерли.

Образцы крови и тканей были собраны и отправлены через посольство Бельгии в Институт тропической медицины в Антверпене для исследований. Но там оказалось невозможно диагностировать лихорадку Эбола, потому что в институте больше не было соответствующей изолированной лаборатории для проведения таких тестов. В Бельгии, как и в других странах, включая США, сиюминутные политические соображения привели к сокращению финансирования наблюдений и исследований инфекционных заболеваний. Поэтому образцы отправились из Антверпена в CDC, где тесты показали, что большинство пациентов инфицированы вирусом Эбола.

К этому времени представители органов здравоохранения начали искать путешественников, бывших в районе Киквита во время вспышки эпидемии – возможных переносчиков Эболы. Одна такая семья, помещенная в карантин в Великобритании, стала предметом для первых полос местных газет. Карантин продлился до тех пор, пока анализы крови не показали, что никто в семье не заражен вирусом Эбола.

Несомненно, официально подтвержденные 280 случаев Эболы в Киквите и его пригородах – грубое занижение реальных чисел произошедшей трагедии. Почему так вышло? Во-первых, стигматизация болезни часто мешает людям из деревень обратиться в больницу, и они умирают у себя дома. Во-вторых, эпидемии часто отрицаются или преуменьшаются из-за опасений, что туристы отменят поездку в страну, а это экономически невыгодно. Приличная часть бюджета ДРК, как и других африканских стан, зависит от туризма. Тем не менее команды ученых из разных стран прибыли в ДРК и стали искать растения, животных и насекомых, которые могли быть резервуарами для Эболы, когда вирус не опустошал деревни и города. Они не могли обнаружить никаких зацепок до 2007 года, 12 лет прошло с момента вспышки в Киквите, когда наконец носителем вируса был назван крылан17,18.

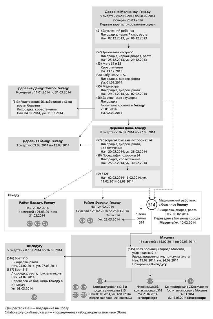
Затем, в 2013–2015 годах, неожиданно эпидемия Эбола разразилась на территории более чем в 3700 километров в Гвинее, Западная Африка2. Лихорадка появилась в удаленной деревушке Мелианду, в районе Гекеду, граничащем с двумя другими западноафриканскими странами – Либерией и Сьерра-Леоне2,10,11. В то время, в декабре 2013 года, Мелианду представляла собой сельскую лесную общину всего из 31 хижины. Жители занимались сельским хозяйством и охотой, чтобы прокормить свои семьи. Шимпанзе и крыланы были известными источниками мяса, а оба этих животных могут быть заражены вирусом Эбола. Каким образом вирус Эбола – Заир, впервые появившийся за тысячи километров в Ямбуку в ДРК 37 годами ранее (1976 год), теперь возник в Мелианду, Западная Африка, остается загадкой.

Нам известно, что двухлетний мальчик Эмиль Уамуно контактировал с шимпанзе и крыланами и употреблял их в пищу. В начале декабря 2013 года у Эмиля началась лихорадка, рвота и черный стул. Дегтеобразный или черный стул всегда должен вызывать подозрение во внутреннем кровотечении кишечника. Через четыре дня Эмиль уже умер. С начала болезни Эмиля (2 декабря 2013 года) и до 26 марта 2014 года умерло 11 его соседей по деревне: девять смертей со 2 декабря 2013 по 8 февраля 2014 год, две смерти 26 марта 2014 года. Сначала умерла мать Эмиля (13 декабря), его трехлетняя сестра заболела 25 декабря и умерла 29 декабря. Его бабушка умерла 1 января 2014 года, 29 января того же года заболела медсестра, она умерла 2 февраля. Наконец, заболела деревенская акушерка, 25 января она была доставлена в больницу в городе Гекеду и умерла 2 февраля 2014 года. (Рисунок 11.4.)

Вскоре в соседних деревнях Данду Помбо и Дава, а затем и в медучреждениях, включая больницу в городе Гекеду и другие близлежащие медицинские центры и больницы, последовали похожие смерти. Д-р Калисса Н’Фансумане из больницы Гекуду вспоминает: «Эта болезнь казалась нам загадкой». Например, из соседней деревни Дава на похороны бабушки Эмиля в Мелианду пришли ее сестра и подруга. Обе последовали местному обычаю омовения трупа и прикосновения к нему. По возвращении домой в Дава в конце января обе заболели лихорадкой, диареей, рвотой и кровотечением, и умерли до начала следующего месяца. Восемь таких смертей было зарегистрировано в Дава с 26 января по 27 марта 2014 года. Что касается соседней деревни Данду Помбо, то с 11 февраля по 31 марта 2014 года там случилось шесть смертей. Лихорадку Эбола туда занесла акушерка из Мелианду, за которой ухаживал родственник из Данду Помбо. Вирус продолжал распространяться от деревни к деревне. В районной больнице Гекуду больной медицинский работник заразил других, а те принесли заразу в больницу города Масента. Пациенты, умершие в больнице Масента, были похоронены в деревне Кисидугу. Эти похороны стали причиной еще пяти смертей 26 марта 2014 года. Вирус Эбола переместился в Кисидугу.

Иллюстрация к книге — Вирусы и эпидемии в истории мира. Прошлое, настоящее и будущее [i_026.jpg]

РИСУНОК 11.2. Распространение Эболы от нулевого пациента в Гвинее, Западная Африка. Электронная микроскопия гвинейского штамма EBOV в крови пациента. Показаны типичная вирусная частица (ее края отмечены стрелками) и две деградированные частицы (стрелки без линий).


После немыслимого (более трех месяцев) периода с момента первых смертей, 10 марта, больницы и чиновники от здравоохранения в Гегеду и Масенте наконец-то оповестили министерство здравоохранения Гвинеи о вспышке неизвестной и «загадочной» смертельной болезни. Два дня спустя были поставлены в известность «Врачи без границ» (Médecins Sans Frontières). Тогда же, в марте, в ВОЗ узнали о вспышке неизвестного патогена, опустошающего регион и стремительно распространяющегося. Плачевный итог ситуации заключался в том, что пренебрежение со стороны бюрократов допустило задержку в 109 дней после первой смерти. Только 23 марта 2014 года ВОЗ заявила о том, что вирусное заболевание в Западной Африке – это Эбола (см. таблицу 11.2)2,19.

К 14 марта группа ученых из Министерства здравоохранения Гвинеи прибыла в районы вспышки, члены организации «Врачи без границ» прибыли 18 марта. Они провели эпидемиологическое расследование и вскоре обратились за помощью в установлении этиологического агента, ответственного за таинственную болезнь. Образцы крови были собраны и отправлены в лаборатории четвертого уровня биобезопасности [28] в Лионе, Франция, и Гамбурге, Германия. В этих лабораториях был поставлен диагноз Эбола. Таким образом, впервые инфекция, вызванная вирусом Эбола, имела масштабы эпидемии и стала распространяться в Западной Африке. Группа из Института Пастера, Франция, открыла диагностическую лабораторию в Масенте, Гвинея11. Группа Ассоциации вирусных геморрагических заболеваний (Viral Hemorrhagic Consortium) из института им. Эли и Эдит Броуд покинула Бостон и направилась в Сьерра-Леоне. Ученые прибыли в Государственную больницу Кенемы10 и создали диагностические молекулярные тесты для специфического обнаружения лихорадки Эбола и секвенирования генома вируса. Лабораторные результаты из Сьерра-Леоне и других мест дали полные данные секвенирования и биоинформатики: образцы вируса Эбола, циркулирующие в крови инфицированных пациентов в Западной Африке, показали, что более 96 % (96,8 %) идентичны исходному штамму Эбола-Заир 1976 года (ДРК в Центральной Африке)2,10.

Вход
Поиск по сайту
Ищем:
Календарь