Книга Яды: вокруг и внутри. Путеводитель по самым опасным веществам на планете, страница 14 – Сакина Зейналова

Авторы: А Б В Г Д Е Ж З И Й К Л М Н О П Р С Т У Ф Х Ч Ш Ы Э Ю Я
Книги: А Б В Г Д Е Ж З И Й К Л М Н О П Р С Т У Ф Х Ц Ч Ш Щ Ы Э Ю Я
Бесплатная онлайн библиотека LoveRead.in

Онлайн книга «Яды: вокруг и внутри. Путеводитель по самым опасным веществам на планете»

📃 Cтраница 14

В бледной поганке два основных типа ядовитых веществ: фаллотоксины и аматоксины. Первые действуют быстрее, их LD50 для мышей составляет 1,5–4,5 мг/кг при внутрибрюшинном введении. Однако вторые намного токсичнее, хоть и действуют медленнее.

Иллюстрация к книге — Яды: вокруг и внутри. Путеводитель по самым опасным веществам на планете [i_041.jpg]

Вещества из группы фаллотоксинов разрушают органеллы клетки, усиливают потерю ионов K+ и Ca2+. Они необратимо связывают белки плазмы крови и поражают печень. Аматоксины ингибируют ферменты, из-за этого нарушается синтез белка клетки. Это приводит к множеству биохимических нарушений внутри клетки, к прекращению клеточного деления и некрозу тканей.

Почувствовать отравление сразу не получится: оно даёт о себе знать спустя 6–10 часов, а порой и позже. Развивается тошнота, рвота, сильная диарея, на фоне чего возникает сильное обезвоживание. Появляется желтуха, признаки острой печёночной и/или почечной недостаточности. Падает артериальное давление, человек даже может впасть в кому. Смерть наступает на четвёртые – седьмые сутки. Практически единственное лечение при отравлении бледной поганкой – пересадка печени, так как на момент появления симптомов собственная печень пациента уже необратимо повреждена и более не способна функционировать. Около 90 % отравлений бледной поганкой заканчиваются летальным исходом.

О том, что в неприметном бледном грибе содержатся сильнейшие яды, люди знали давно. Поэтому сами гриб не употребляли, но охотно добавляли в пищу тому, от кого хотели избавиться. Настойки, отвары, сырые и сушёные бледные поганки использовали в качестве орудия убийства. По неподтверждённой информации, жертвой такого преднамеренного отравления стал римский император Клавдий.


ФОРМУЛЫ

Иллюстрация к книге — Яды: вокруг и внутри. Путеводитель по самым опасным веществам на планете [i_042.jpg]

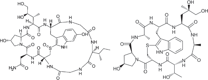
Формулы α-аманитина (слева) и фаллоидина (справа). Одни из самых распространённых ама– и фаллотоксинов.

ТОКСИЧНЫЕ ВЕЩЕСТВА: фаллотоксины бледной поганки: фаллоидин, фаллоин, профалин, фаллизин, фаллацин, фаллацидин и фаллисацин. Аматоксины: α-аманитин, β-аманитин, γ-аманитин, ε-аманитин, аманин, аманинамид, амануллин, амануллиновая кислота, и проамануллин.

АРЕАЛ: вся территория России, Европа, Азия, Северная Америка.

СМЕРТЕЛЬНАЯ ДОЗИРОВКА: смертельная доза α-аманитина 0,3–0,6 мг/кг для мышей (внутрибрюшинно), фаллоидина – 2 мг/кг для мышей при таком же введении.

Галерина окаймлённая

Это маленький неприметный коричневый гриб, который легко перепутать с летним опёнком. Разница в том, что опёнок съедобен, а галерина окаймлённая – смертельно опасный гриб.

Галерина встречается в лесах нашей страны и всего Северного полушария. Грибы растут на трухлявых поваленных деревьях и пнях. Плодовые тела появляются с июля по октябрь и растут по отдельности или группой по два-три гриба. На ножке есть кольцо или след от него. Шляпка скользкая от жёлтого до бурого цвета, достигает 4 см в диаметре. Внутри неё – широко проросшие пластинки под цвет шляпки. По словам тех, кто пробовал этот гриб, на вкус он напоминает муку.

Галерина окаймлённая содержит аматоксины: α-, β– и γ-аманитина, действующие как амотоксины бледной поганки. Даже симптомы отравления схожи: боль в животе, желудочно-кишечные кровотечения, рвота, почечная недостаточность, кома или даже смерть.

Первый случай смертельного отравления был зафиксирован в США в 1912 году, с тех пор подобные случаи регистрировались регулярно. Но летальные исходы при употреблении галерины окаймлённой случаются не так часто, как при отравлении бледной поганкой. Скорее всего, из-за непримечательного внешнего вида гриба мало кто кладёт его в корзину, принимая за съедобный.

АРЕАЛ: почти всё Северное полушарие.

ТОКСИЧНЫЕ ВЕЩЕСТВА: α-аманитин, β-аманитин, γ-аманитин.

Иллюстрация к книге — Яды: вокруг и внутри. Путеводитель по самым опасным веществам на планете [i_043.jpg]
Сатанинский гриб

Если в лесу вы встретили толстый гриб со светлой шляпкой и красной ножкой – вероятно, перед вами сатанинский гриб, или, как его ещё называют, подберёзовик дьявола. Ядовитая мякоть этого гриба при разрезе синеет и источает неприятный запах гниющей плоти. Встречается гриб редко, с июня по сентябрь в Европе и на Кавказе.

В сатанинском грибе содержится гликопротеин болесатин. Он ингибирует белковый синтез и синтез ДНК, вызывает массивный тромбоз. LD50 чистого болесатина для мышей составляет 3,3 мг/кг при приёме перорально. Для человека летальная доза ещё меньше.

Отравления грибом случаются, когда кто-то отваживается поесть его сырым. Через шесть часов возникает боль в животе, тошнота и сильная рвота, повышение температуры, диарея с кровью. Без помощи врача может развиться гепатит с тромботическим поражением сосудов печени и почечной недостаточностью.

Но есть и хорошая новость: болесатин разрушается при термической обработке. Из-за этого в некоторых странах сатанинский гриб считают условно съедобным. Информация разнится: одни источники говорят, что при достаточно долгом отваривании в грибе не остаётся никаких ядовитых веществ. Другие ставят под сомнение, что болесатин разрушается полностью, и полагают, что гриб всё равно может быть опасен. Так или иначе, в сыром виде гриб сильно ядовит и употреблять его нельзя.

Иллюстрация к книге — Яды: вокруг и внутри. Путеводитель по самым опасным веществам на планете [i_044.jpg]

АРЕАЛ: Южная Европа, юг европейской части России, Кавказ, Ближний Восток.

ТОКСИЧНОЕ ВЕЩЕСТВО: болесатин.

СМЕРТЕЛЬНАЯ ДОЗИРОВКА: LD50 болесатина для мышей 3,3 мг/кг при приёме перорально.

Паутинник горный

Если назвать этот гриб другим его именем – плюшевым, он покажется чем-то добрым и безобидным. До определённого периода так и было: этот гриб считался съедобным, пока в 1950-х годах из Польши не стали поступать сообщения о частых отравлениях. В один год было зафиксировано массовое отравление со 135 пострадавшими, 19 из которых погибли. Этот эпизод заставил иначе взглянуть на совсем не плюшевые грибы.

Паутинник горный (или оранжево-красный) – гриб с выпуклой шляпкой от оранжево-охристой до красно-бурой окраски, внутри шляпки – толстые редкие пластинки. Ножка гриба в охристо-золотом цвете без юбки или кольца. Мякоть желтоватая. В нашей стране этот гриб считается редким.

Вход
Поиск по сайту
Ищем:
Календарь