Книга Яды: вокруг и внутри. Путеводитель по самым опасным веществам на планете, страница 12 – Сакина Зейналова

Авторы: А Б В Г Д Е Ж З И Й К Л М Н О П Р С Т У Ф Х Ч Ш Ы Э Ю Я
Книги: А Б В Г Д Е Ж З И Й К Л М Н О П Р С Т У Ф Х Ц Ч Ш Щ Ы Э Ю Я
Бесплатная онлайн библиотека LoveRead.in

Онлайн книга «Яды: вокруг и внутри. Путеводитель по самым опасным веществам на планете»

📃 Cтраница 12
Иллюстрация к книге — Яды: вокруг и внутри. Путеводитель по самым опасным веществам на планете [i_034.jpg]

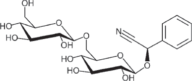
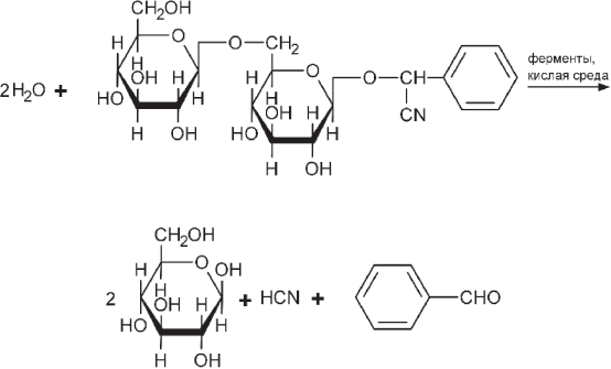
Схема полного разложения амигдалина.

Иллюстрация к книге — Яды: вокруг и внутри. Путеводитель по самым опасным веществам на планете [i_035.jpg]

Симптомы отравления различны и зависят от дозы. При слабых отравлениях пациенты отмечают металлический вкус во рту, слабость, тошноту, рвоту и боли в животе, судороги, потерю сознания. При больших дозах возможна головная боль, шум в ушах, боли в сердце. Если доза была смертельной, начинается приступ судорог, при этом цвет кожи не меняется. Через несколько минут наступает смерть от остановки дыхания.

В последнее время участились случаи отравления амигдалином из-за его использования в «медицинских» целях. Он выпускается под торговым названием «Лаэтрил» и преподносится как новый витамин В17. Его рекламируют как противораковое средство. Эффективность этого препарата не доказана: исследования показали, что он работает не лучше, чем плацебо. Несмотря на отсутствие доказательств о пользе амигдалина и наличии данных о его токсичности, сторонники альтернативной медицины продолжают его использовать. Больше всего случаев отравления происходит именно среди них. Лечение рака с помощью «витамина В17» – почти канонический пример шарлатанства в медицине.


ФОРМУЛА

Иллюстрация к книге — Яды: вокруг и внутри. Путеводитель по самым опасным веществам на планете [i_036.jpg]

АРЕАЛ: Азия, юг Америки, Средиземноморье.

ТОКСИЧНЫЕ ВЕЩЕСТВА: амигдалин, дающий при распаде синильную кислоту.

СМЕРТЕЛЬНАЯ ДОЗИРОВКА: 500 мг амигдалина высвобождает 180 мг синильной кислоты. Этого количества достаточно, чтобы убить взрослого человека.

Иллюстрация к книге — Яды: вокруг и внутри. Путеводитель по самым опасным веществам на планете [i_037.jpg]
Ядовитые высшие грибы и токсины микроорганизмов

«Поганки и мухоморы – это симметричный ответ грибного царства на поножовщину, устраиваемую людьми в лесах».

Юрий Татаркин
Иллюстрация к книге — Яды: вокруг и внутри. Путеводитель по самым опасным веществам на планете [i_038.jpg]

Долгие годы грибы относили к царству растений, полагая, что это просто их особенная форма. И только в 1970-х годах накопилось достаточно данных, чтобы выделить грибы в отдельное царство. В действительности эти существа разительно отличаются и от растений, и от животных. Грибы играют важную роль в экосистемах: они разлагают остатки живых организмов и способствуют образованию плодородного слоя почв.

То, что мы называем грибами, – это лишь их плодовое тело. Люди, как и животные, едят именно его. Грибы встречаются почти во всех уголках Земли, и блюда с ними можно встретить в кухнях многих стран мира.

Грибов существует очень много, поэтому для того, чтобы ориентироваться в них, нужна классификация. Одна из самых простых – по съедобности. Выделяют съедобные (и условно съедобные), несъедобные и ядовитые грибы.

Со съедобными грибами всё понятно. Их можно есть. Путаница возникает при разделении на несъедобные и ядовитые грибы.

Несъедобные – это те виды грибов, которые не едят не из-за наличия ядовитых веществ в них, а из-за слишком маленького размера, чрезвычайно горького вкуса (желчный гриб), неприятного запаха (мутинус собачий) или неподходящей консистенции (трутовик, навозник). Эти грибы не вызывают отравлений, и при должной термической обработке и очень большом желании их можно съесть. Будет невкусно и неудобно, но вы не отравитесь.

Ядовитые же грибы при их употреблении в пищу могут вызывать расстройства организма, так как в своём составе содержат токсины. Такие грибы разделяют на те, что вызывают пищевые отравления, приводящие к нарушению деятельности нервной системы, и смертельно ядовитые. Среди более 100 000 видов грибов не так уж много признано смертельно ядовитыми. Но те, что относятся к ним, нужно знать каждому.

Как и токсины растений, токсичные вещества грибов можно разделить на несколько групп.

Циклические пептиды

Одни из самых распространённых видов циклических пептидов – фаллотоксины (содержат семь остатков аминокислот, связанных между собой) и аматоксины (восемь остатков). Они содержатся в различных видах мухоморов, бледной поганке, галерине. Фалло– и аматоксины выдерживают термическую обработку, поэтому грибы, в которых они есть, употреблять категорически нельзя.

N-монометилгидразин

Гемолитический яд; нарушает работу печени, как и гиромитрин, из которого он получается. Содержится в строчках.

Орелланин, гризмалин, кортинарин

Содержатся в ядовитых видах паутинников и волоконниц; поражают почки.

Мускарин

Ядовитый алкалоид содержится в мухоморах, волоконницах и говорушках. Вызывает лихорадочное состояние и тахикардию.

Иботеновая кислота, мусцимол, микоатропин

Тоже содержатся в мухоморах. Отравление ими напоминает алкогольное опьянение. Хотя смертельной опасности не несут, могут вызывать сильное обезвоживание.

Кроме этого, существуют грибы, способные вызывать сильные желудочные и кишечные расстройства (ложноопёнок серно-жёлтый, шампиньон желтокожий) и аллергические реакции (свинушка тонкая). Иногда отличить съедобные грибы от их ядовитых собратьев крайне сложно. Поэтому, отправляясь по грибы, стоит подробнее изучить, как их распознать. В этом разделе мы обсудим самые ядовитые грибы, которые вы можете встретить в лесу.

Поговорим не только о грибах, но и о невидимых глазу микроорганизмах. Хоть они и не видны нам, их деятельность мы ощущаем регулярно. Именно они способны портить продукты и вызывать их гниение, заражение ран, брожение растительного сырья, и с их помощью получают спирты.

Токсины бактериальной природы оказывают воздействие на живые организмы. Их разделяют на экзотоксины и эндотоксины. Первые выделяются бактериями в окружающую среду в процессе их жизнедеятельности и обладают сильнейшим воздействием на живые организмы. Экзотоксины вызывают ботулизм, дифтерию, газовую гангрену и столбняк. Они имеют белковую природу и могут нарушать внутриклеточные процессы, блокируя синтез белка или передачу нервных импульсов, нарушают взаимодействия клеток между собой или увеличивают проницаемость клеточных мембран. Экзотоксины разрушаются под действием температуры, и для них существуют «антидоты» – анатоксины, которые позволяют экстренно обезвредить их.

Вход
Поиск по сайту
Ищем:
Календарь