Книга Математика жизни и смерти. 7 математических принципов, формирующих нашу жизнь, страница 74 – Кит Йейтс

Авторы: А Б В Г Д Е Ж З И Й К Л М Н О П Р С Т У Ф Х Ч Ш Ы Э Ю Я
Книги: А Б В Г Д Е Ж З И Й К Л М Н О П Р С Т У Ф Х Ц Ч Ш Щ Ы Э Ю Я
Бесплатная онлайн библиотека LoveRead.in

Онлайн книга «Математика жизни и смерти. 7 математических принципов, формирующих нашу жизнь»

📃 Cтраница 74

Точным знанием первых шагов развития болезни мы обязаны той скрупулезности, с которой эпидемия была проанализирована учеными и медицинскими работниками, преградившими ей путь. Метод, известный как контактное отслеживание, позволяет эпидемиологам проследить историю развития заболевания ретроспективно через многие поколения инфицированных, вплоть до исходного случая – нулевого пациента. Отсюда и обозначение Эмиля. Обратившись к инфицированным людям с просьбой перечислить всех, с кем они контактировали во время и после инкубационного периода болезни – когда они уже инфицированы, но, возможно, без выраженной симптоматики, – ученые могут выстроить картину всей контактной сети пациента. Путем многократного опроса тех, кто вошел в эту сеть, маршрут распространение, болезни часто можно свести к одному источнику. Отслеживание контактов позволяет не только выявить сложную схему распространения болезни и предложить методы предотвращения будущих вспышек, но и принимать меры по контролю за распространением болезни в режиме реального времени. Оно может служить источником информации для разработки эффективных стратегий сдерживания болезни на ее ранних стадиях. Каждый, кто имел непосредственный контакт с инфицированным лицом в течение инкубационного периода, помещается в карантин до тех пор, пока не будет ясно, инфицирован он или нет. Инфицированных можно держать в изоляции до тех пор, пока они не переболеют.

На практике, однако, контактные сети часто оказываются неполными, и многие носители инфекции остаются неизвестны властям. Фактически многие даже не знают, что больны – из-за инкубационного периода, протекающего с момента заражения до появления симптомов. В случае с лихорадкой Эбола инкубационный период может длиться до 21 дня, но в среднем он составляет около 12 дней. В октябре 2014 года стало ясно, что эпидемия в Западной Африке может приобрести глобальные масштабы. Правительство Великобритании под предлогом защиты своих граждан объявило, что пассажиров, въезжающих в Великобританию из стран с высоким уровнем риска, будут проверять на заболевание лихорадкой Эбола в пяти крупных аэропортах Великобритании и в терминале поезда «Евростар» в Лондоне.

Аналогичная программа в Канаде во время эпидемии атипичной пневмонии (тяжелого острого респираторного синдрома – ТОРС/SARS) в 2004 году охватила почти полмиллиона путешественников, ни у одного из которых не обнаружили повышенной температуры, свидетельствующей о наличии ТОРС. Эта программа обошлась канадскому правительству в 15 миллионов долларов. Оглядываясь назад, можно сказать, что программа скрининга атипичной пневмонии была бесполезной мерой, которая, возможно, в какой-то степени и помогла убедить канадскую общественность в том, что она в безопасности, но в качестве стратегии вмешательства оказалась неэффективной.

Памятуя об этих расходах, а также о гиперреакции на угрозу эпидемии, группа математиков Лондонской школы гигиены и тропической медицины разработала простую математическую модель, учитывающую инкубационный период [193]. Принимая во внимание средний 12-дневный инкубационный период для лихорадки Эбола и шесть с половиной часов полета из Фритауна в Сьерра-Леоне в Лондон, математики подсчитали, что эти новые дорогостоящие меры выявления инфицированных могли бы выявить лишь около 7 % пассажиров – носителей вируса Эбола. Они предположили, что эти деньги, возможно, было бы лучше потратить на развивающийся гуманитарный кризис в Западной Африке, который нанес бы удар по источнику проблемы и, следовательно, снизил риск передачи вируса в Великобританию. Это наилучший пример математического вмешательства – простого, решительного и основанного на фактах. Вместо того чтобы строить догадки, насколько эффективными могут быть скрининговые меры, простое математическое описание ситуации в состоянии дать мощное представление о сути происходящего и направить политику в нужное русло.

R0 и экспоненциальный взрыв

Отслеживание маршрута передачи инфекции, использованное для идентификации Эмиля Уамуно как нулевого пациента лихорадки Эбола, – далеко не уникальный опыт. Болезнь распространялась из своего очага в Мелианду несколькими путями. Фактически на ранних стадиях болезни она реплицировалась экспоненциально по нескольким независимым каналам, подобно мемам или вирусным маркетинговым кампаниям, описанным в первой главе. Один человек заражал трех других, которые продолжали заражать следующих; те заражали еще больше людей – в результате происходила вспышка заболевания. Определить, разовьется эта вспышка в масштабную эпидемию или выдохнется и забудется, можно с помощью всего одного показателя, уникального для каждой вспышки, – базового показателя репродукции.

Давайте представим, что население на некой территории полностью восприимчиво к определенным болезням – как это было с коренными жителями Мезоамерики в 1500-х годах до прибытия конкистадоров. Среднее число лиц, инфицированных одним носителем болезни, воздействию которой они прежде не подвергались, известно как базовый показатель репродукции и часто обозначается R0 (произносится «R-ноль»). Если болезнь имеет R0 менее 1, то инфекция быстро сходит на нет, так как каждый инфицированный в среднем передает болезнь менее чем одному другому. Вспышка не становится самоподдерживающейся. Если R0 больше 1, то инфекция будет распространяться в геометрической прогрессии.

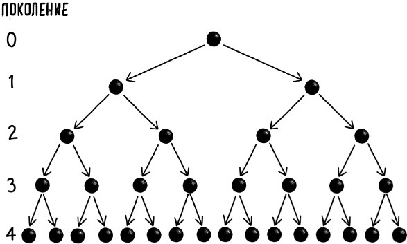
Возьмем, к примеру, такое заболевание, как атипичная пневмония (SARS), имеющее базовый показатель репродукции 2. Первый человек с этим заболеванием – нулевой пациент. Он заражает двоих, каждый из которых распространяет болезнь еще на двоих – и так далее. Как мы видели в первой главе, рис. 23 иллюстрирует экспоненциальный рост, характеризующий начальную фазу распространения инфекции. Если бы она распространялась таким образом и далее, то через десять поколений вниз по цепочке прогрессии заразилось бы более 1000 человек. Еще десять шагов – и число зараженных превысит миллион.

На практике, как и в случае с распространением вирусной идеи, расширением пирамидальной схемы, ростом колонии бактерий или распространением популяции, экспоненциальный рост, прогнозируемый на основе базового показателя репродукции, редко поддерживается более чем на несколько поколений. Вспышки в конечном итоге достигают пика, а затем идут на спад из-за того, что контакты между инфицированными и восприимчивыми к вирусу людьми становятся реже.

Иллюстрация к книге — Математика жизни и смерти. 7 математических принципов, формирующих нашу жизнь [i_034.jpg]

Рис. 23. Экспоненциальное распространение болезни с базовым показателем репродукции R0 равным 2. Первое инфицированное лицо считается нулевым поколением. К четвертому поколению инфицируются уже 16 человек


В конечном счете, даже когда зараженных не будет и вспышка официально закончится, некоторые восприимчивые к инфекции люди еще останутся. Еще в 1920-х годах Кермак и Маккендрик предложили формулу, в которой базовый показатель репродукции использовался для предсказания количества восприимчивых лиц, которых инфекция не затронет до самого конца вспышки. При значении R0 около 1,5 формула Кермака и Маккендрика предсказывает, что вспышка лихорадки Эбола в 2013–2016 годах поразила бы 58 % популяции, если бы не было принято никаких мер. Вспышки полиомиелита, напротив, имеют R0 около 6, что, по прогнозам Кермака и Маккендрика, означает, что без вмешательства только четверть процента населения переживет эпидемию, не заразившись.

Вход
Поиск по сайту
Ищем:
Календарь