Книга Ода контрразведке, страница 161 – Андрей Ведяев

Авторы: А Б В Г Д Е Ж З И Й К Л М Н О П Р С Т У Ф Х Ч Ш Ы Э Ю Я
Книги: А Б В Г Д Е Ж З И Й К Л М Н О П Р С Т У Ф Х Ц Ч Ш Щ Ы Э Ю Я
Бесплатная онлайн библиотека LoveRead.in

Онлайн книга «Ода контрразведке»

📃 Cтраница 161

Для защиты цивилизации, основанной на духовных ценностях, потребуется борьба, которая является неизбежной в мире до тех пор, пока в нем присутствуют рынок, капитал и его адепты. Сама собой «эра милосердия» не наступит, и счастье можно обрести лишь в борьбе. Ниже я приведу модель борьбы, предложенную в свое время Виталием Григорьевичем Шолоховым – математиком, доктором философских наук, с которым мы знакомы очень давно. Он входил вместе с моим отцом в группу «мозгового штурма» при бывшем председателе КГБ Украины генерал-полковнике Виталии Федотовиче Никитченко и помогал мне делать первые шаги в овладении искусством моделирования поисковой и разведывательной деятельности.

Управление в обществе – как в форме оперативного управления, так и в форме нормативных актов (обычаев, традиций, законов, планов) – происходит на основе и с использованием информации, которая необходима человеку (и создаваемым им техническим устройствам) для ориентирования в обстановке и принятия решений с целью обеспечения самосохранения и развития. Из определения информационных сигналов следует их (логическая) независимость от свойств материального носителя. Эта характеристика сигнала широко используется на практике системами, «потребляющими» информацию. С другой стороны, информация обладает всеми признаками товара – как продукт труда, произведенный для продажи и имеющий меновую стоимость, которая является мерой труда (К. Маркс. «Капитал», том 1).

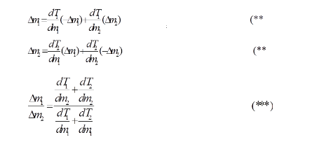
Рассмотрим эквивалентный обмен двух сторон (людей, организаций, человека и организации). Условие эквивалентного обмена состоит, как известно, в равенстве (средних) трудозатрат на производство товаров, обмен которыми и является предметом исследования. В математической форме равенство трудозатрат можно выразить уравнением:

Δ (T1) = Δ (Т2) (*)


Если обозначить через Т затраты труда, а через т – объем выпускаемой продукции, то эту закономерность можно записать в виде функциональных зависимостей:


T1 = Т1 (т1)

Т2 = Т2 (т2)


Можно доказать, что

T1 = T1 (т1, т2)

Т2 = Т2 (т2, т1)


Действительно, вклады общества в развитие отраслей, производящих т1 и т2, меньше, чем в том случае, когда имеет место монопроизводство и экономика ориентируется на производство только одного товара.

Развернем с учетом сказанного равенство (*) по правилам дифференциального исчисления:


Первое равенство выражает оценку трудозатрат, связанную с обменом, в котором продукт т1 отдается, а продукт т2 получается. Второе равенство выражает подобную оценку второй стороной.

Воспользовавшись условием эквивалентного обмена (*), получим:

Иллюстрация к книге — Ода контрразведке [i_001.jpg]

Принято связывать величину трудозатрат с потребностью в продукте, на производство которого требуются эти трудозатраты. Поэтому можно сказать, что если потребность в каком-то продукте растет, то это приводит к росту его стоимости. По сравнению с равным обменом фактическую ситуацию можно интерпретировать как получение прибыли. А получение прибыли и является целью экономического механизма.

Основной путь получения прибыли состоит в обеспечении превосходства, выражающегося в более высокой производительности труда, и не только по тому продукту, который производится на обмен, но и по тому продукту, который выменивается.

Таким образом, эквивалентный обмен является только формальным равенством обмениваемых трудозатрат, а в рамках этого обмена мы имеем неравенство сторон, которое порождается неравенством потребностей. В случае обмена между людьми неравенство потребностей является следствием социального неравенства людей в обществе.

Неравенство сторон порождает борьбу. Борьбу за обеспечение превосходства в производительности труда, с одной стороны, и уничтожение производительных сил (производственных отношений), с другой. Здесь борьба приобретает форму физического творчества и уничтожения. Однако результат обмена является следствием не только фактического состояния производительных сил, но и знания о них. Это направление борьбы принимает форму разведывательной борьбы. В вопросах получения информации особая роль принадлежит разведке.

Пропорция обмена, определяемая значением (***), зависит от того, насколько точно обменивающимся субъектам известны их потребности, насколько удается обмануть партнера и не обмануться самому, насколько можно скрыть свои потребности (дезинформировать партнера) и убедить конкурента в наличии у него определенных потребностей (с помощью рекламы, агитации или пропаганды).

Прекрасный урок такой борьбы показан в фильме «Место встречи изменить нельзя», когда начальник оперативной бригады отдела по борьбе с бандитизмом (ОББ) Главного управления милиции НКВД СССР капитан Глеб Жеглов объясняет законы борьбы начинающему оперуполномоченному Володе Шарапову: «Спрос, он в нашем деле дорого стоит!» – «А что…» – «А то, что спрашивать-то надо вовремя, чтоб в самую десятку лупить!» (высокая цена спроса, т. е. информации, означает необходимость скрывать свою потребность в этой информации, минимизировать возможности противника в продвижении дезинформации и находить пути раскрытия имеющейся у противника информации. – А.В.).

– Слушай, Глеб, как это у тебя всё так здорово получается, быстро, ловко. Вот мне бы так научиться, а?

– Тебе надо усвоить работу со свидетелем.

– Со свидетелем, почему?

– Потому что в каждом, даже в самом тайном делишке, всегда отыщется человечек, который что-либо слышал, что-либо видел, что-либо знает, помнит или догадывается. И твоя задача все эти сведения из него выудить.

– Глеб, а вот почему ты эти сведения умеешь выуживать, а вот, скажем, Коля Тараскин не умеет?

– Потому, что Коля Тараскин молодой ещё. А потом, Коля Тараскин не знает шесть правил Глеба Жеглова. Тебе, так и быть, скажу. Итак, правило первое. Запоминай, повторять не стану. Затверди, как строевой устав. Разговаривая с людьми, всегда улыбайся, понял? Люди это любят. А оперативник, который не умеет влезть в душу к свидетелю, – … считай, что он зря получает рабочую карточку. Запомнил?

– Запомнил.

– Ну вот, а теперь правило второе. Будь к человеку внимательным и старайся подвинуть к разговору об нём самом. А как это сделать?

– Как это сделать?

– А вот для этого существует третье правило. Найди тему, которая ему интересна.

– Ничего себе задачка, для незнакомого человека.

– А вот для этого существует четвёртое правило, которое гласит:… Проявляй к человеку искренний интерес. Вникни в него, узнай, чем он живёт. Это, конечно, трудно. И в общем, попотеть придётся. Но зато, если ты это сможешь, он тебе всё расскажет…

Вход
Поиск по сайту
Ищем:
Календарь