Книга Эмоциональный мозг, страница 41 – Павел Симонов

Авторы: А Б В Г Д Е Ж З И Й К Л М Н О П Р С Т У Ф Х Ч Ш Ы Э Ю Я
Книги: А Б В Г Д Е Ж З И Й К Л М Н О П Р С Т У Ф Х Ц Ч Ш Щ Ы Э Ю Я
Бесплатная онлайн библиотека LoveRead.in

Онлайн книга «Эмоциональный мозг»

📃 Cтраница 41

Спустя 10 дней после операции оживления электродов крысу помещали в плексигласовый ящик размером 21 × 25 × 40 см, у одной из стенок которого находилась педаль. Как правило, на протяжении первых 2–3 дней регистрировали количество нажатий на педаль, совершаемых крысой в процессе ее ориентировочно-исследовательской активности. Затем замыкали цепь, в результате чего каждое нажатие на педаль начинало сопровождаться воздействием анода или катода постоянного тока. Поляризации подвергали только те пункты, подкрепляющие свойства которых были предварительно установлены стимуляцией ритмическим током. Если крыса долго не вставала на педаль, ее сажали на педаль, удерживая в этом положении несколько секунд. Об эффективности поляризации эмоционально-позитивных зон гипоталамуса можно было судить по числу нажатий и продолжительности пребывания на педали, а также — по динамике угашения реакции самостимуляции после выключения тока. В ряде случаев влияние постоянного тока контролировалось по избеганию нажатий на педаль после поляризации эмоционально-негативных пунктов «наказания».

Четырехсекундные интервалы записи электрической активности мозговых образований обрабатывали на ЭЦВМ. При этом оценивали автоспектры потенциалов каждого исследуемого образования, а также кросскорреляционные коэффициенты и когерентные функции между потенциалами каждой пары изучаемых структур. Все спектральные характеристики оценивали в диапазоне от 1 до 20 Гц. Методика определения частотного спектра и вычисления функции когерентности описаны ранее [Труш, Кориневский, 1978]. Морфологический контроль мозга крыс подтвердил локализацию отводящих и стимулирующих электродов.

У крыс № 197, 221 и 222, у которых регистрировалась электрическая активность двигательной и зрительной областей новой коры, эмоционально-позитивной и негативной зон гипоталамуса, в фоновых потенциалах перечисленных структур согласно автоспектральным оценкам, как правило (примерно 80 % наблюдений), доминирующими были частоты тета- и альфа-диапазонов. Во время пребывания крысы на педали при действии подкрепляющего постоянного тока в 40 % записей наблюдалось доминирование дельта-волн. Приблизительно в 50 % случаев, когда наиболее выраженными оставались колебания тета- и альфа-диапазонов, частота доминирующего ритма уменьшалась на 1,5–3 Гц по сравнению с фоновыми записями. После ухода крысы с педали во всех без исключения случаях частота доминирующего ритма возрастала в 60 % — на 0,5–2 Гц.

При анализе оценок когерентных функций гипоталамических и корковых структур прежде всего обращает на себя внимание то, что каждому из изучавшихся в эксперименте этапов поведения соответствует определенный «рисунок» распределения корреляционных связей (рис. 36). Это подтверждает мнение М. Н. Ливанова [1972] о том, что именно в пространственной организации биопотенциалов находят отражение различные функциональные состояния мозга, что было убедительно показано, например, для ориентировочного рефлекса, для различных стадий выработки условного рефлекса и для некоторых тормозных состояний.

В табл. 5, где представлены результаты анализа оценок когерентных функций потенциалов мозга крыс № 221 и 222, приняты следующие обозначения. Цифры показывают процент случаев регистрации значимой когерентности (уровень значимости Р < 0,05) на частотах тета- и альфа-диапазонов при наличии соответствующих ритмических составляющих в потенциалах сравниваемых образований.

Рассматривая таблицу, можно убедиться, что непосредственно перед нажатием на педаль резко (более чем в три раза) возрастает когерентность электрической активности эмоционально-позитивного пункта гипоталамуса с ЭЭГ моторной и зрительной коры и когерентность потенциалов двух корковых участков. В то же время корреляционные отношения между потенциалами этих структур и эмоционально-негативной зоны гипоталамуса существенно не изменяются.

Иллюстрация к книге — Эмоциональный мозг [i_042.jpg]

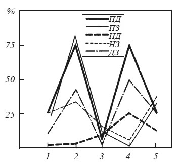
Рис. 36. Оценки вероятности наличия значимой когерентности между потенциалами мозговых структур на различных этапах поведения при осуществлении реакции самополяризации

Ордината — процент случаев регистрации значимой когерентности на тета- и альфа-частотах; абсцисса — этапы поведения крысы: 1 — фон; 2 — перед нажатием на педаль; 3 — во время пребывания на педали; 4 — перед уходом с педали; 5 — после ухода с педали.

Кривыми обозначено поведение когерентности для потенциалов различных структур: П — эмоционально-позитивный пункт гипоталамуса; Н — эмоционально-негативный пункт; Д и 3 — соответственно двигательная и зрительная области коры (по Р. А. Павлыгиной, В. Д. Трушу, Н. Г. Михайловой и П. В. Симонову).


Напомним, что согласно М. Н. Ливанову [1972, с. 169] «…в синхронности колебаний биопотенциалов каких-либо пунктов коры головного мозга мы видим не прямое выражение связей между ними, а лишь усло- вия, делающие возможной их реализацию». Возросшая в нашем случае когерентность, по-видимому, свидетельствует о готовности проведения возбуждения по двум каналам: от ранее раздражавшегося эмоционально-позитивного пункта к двигательной коре и к зрительному анализатору, воспринимающему условный сигнал будущего подкрепления (вид педали, ее местонахождение в камере и т. д.). Более чем в три раза возрастает также когерентность ЭЭГ двигательной и зрительной коры, поскольку именно вид педали направляет движение животного, инициированное следовым возбуждением эмоционально-позитивной зоны.

В период пребывания крысы на педали когерентность между потенциалами практически всех изучавшихся структур падает: животное получает подкрепление постоянным током и остается совершенно пассивным. Такое падение когерентности наряду с наблюдающимися на этом этапе замедлением ритмики потенциалов и усилением дельтаактивности делают состояние животного во время самостимуляции постоянным током весьма сходным по электрографическим показателям с такими тормозными состояниями, как естественный, наркотический и электросон. Для ситуации самостимуляции характерным при этом является возрастание когерентности эмоционально-позитивных и негативных структур, что, возможно, является отражением постепенной замены эмоционально-позитивного состояния эмоционально-негативным возбуждением, побуждающим животное прервать стимуляцию и уйти с педали.

Непосредственно перед уходом крысы с педали впервые возрастает когерентность потенциалов негативного пункта и моторной области. Одновременно увеличивается когерентность потенциалов моторной и зрительной коры, а также — моторной коры и позитивного пункта наряду с нулевой когерентностью электрической активности зрительной коры и гипоталамуса. В этой картине пространственной организации биоэлектрической активности находят отражение некоторые черты формирования новой программы действий. Причем характерным отличием этой новой двигательной задачи — реакции избегания — от задачи, формировавшейся перед нажатием на педаль, являются прежде всего иная конечная цель и возбуждение иного мотивационного центра, инициирующего двигательную активность. Не исключено, что в зарегистрированной на данном этапе совокупности электрографических характеристик отражается и такая особенность состояния мозга, как своеобразная борьба двух тенденций: остаться на педали ради продолжения подкрепления или уйти с нее, поскольку действие постоянного тока становится все более аверсивным. С этим могут быть связаны, в частности, активация не только негативного пункта гипоталамуса (в приблизительно 30 % наблюдений — учащение ритмики потенциалов и ни одного случая урежения) и увеличение корреляционной зависимости между электрической активностью негативной и позитивной зон гипоталамуса, с одной стороны, и ЭЭГ моторной коры — с другой.

Вход
Поиск по сайту
Ищем:
Календарь