Онлайн книга «Время переменных. Математический анализ в безумном мире»
|
Альтернатива: пробежать по берегу, пока она не окажется точно напротив Тарзана, а потом переплыть реку под прямым углом. Это уменьшит расстояние, которое надо проплыть (что, возможно, подходит для пугающе неподвижной реки), но путь в целом удлинится. ![]() Между этими двумя крайностями у Джейн есть множество менее экстремальных вариантов, когда она пробегает часть пути вдоль берега, а потом плывет по диагонали. ![]() Эта загадка просто создана для математического анализа. Небольшая корректировка точки прыжка в воду оказывает крошечный эффект на общее время. Найдите, где эта производная
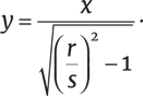
Мог Элвис, столкнувшись с подобной проблемой, выбрать оптимальный путь? Или, как спросил Пеннингс в заглавии своей исследовательской работы: «Знают ли собаки математический анализ?» Во-первых, нам нужно задать несколько переменных: r – скорость бега Элвиса, s – скорость, с которой он плывет, x – расстояние, на котором мячик находится от берега, и z – расстояние до мячика по пляжу. ![]() Последнее важное решение – это переменная y: какой угол должен срезать Элвис? ![]() Проведя некоторые алгебраические преобразования, Пеннингс вывел удивительную формулу: ![]() Почему эта формула удивительная? Не столько из-за того, из чего она состоит (просто куча символов), но из-за того, что в ней отсутствует. В формуле нет z. В следующие годы Пеннингс подчеркивал этот момент, читая лекции студентам. «Что должен Элвис сделать, – спрашивал Тим, – если я отойду еще на десяток метров, прежде чем бросить мяч?» Иными словами, если z вырастет, что произойдет с y? ![]() Подавляющее большинство отвечающих – более 90 % – выбирали вариант (б). Но тогда Пеннингс говорит о том, что в формуле нет z. Ее отсутствие указывает на то, что оптимум не зависит от z. Не важно, насколько далеко от береговой линии начнет движение пес – 10 метров, 100 метров, 100 километров: Элвис всегда должен выбирать один и тот же момент, чтобы войти в воду. ![]() – Вы все с этим согласились, – говорил Пеннингс слушателям. – Это казалось очевидным. Но тем не менее математика преодолевает мнение масс. Она преодолевает вашу интуицию. Она преодолевает все это. Мог Элвис также прорваться сквозь песок и волны, чтобы добраться до своей награды? Мог собачий мозг добиться успеха там, где спасовал человеческий? Неутомимые Пеннингс, Элвис и помогавший им студент провели день на пляже, собирая данные. Во-первых, замерили время, чтобы определить скорость пса: на земле Элвис преодолевал 6,4 м/с, а в воде – 0,91 м/с. Во-вторых, экспериментаторов ждало главное событие. Пеннингс провел 13-метровую черту с разметкой вдоль берега. Он бросал мячик 35 раз, 35 раз гнался за Элвисом, пока пес не нырял в воду, 35 раз втыкал отвертку в песок, чтобы сделать отметку, и 35 раз бросался, чтобы измерить расстояние, на котором мяч находился от берега до того, как Элвис схватил его. – Что вы делаете, охотитесь за своей собакой с крестовой отверткой? – спросил какой-то прохожий. – Провожу научный эксперимент, – ответил Пеннингс, вместо того чтобы нескромно сказать правду: он творил историю математики. Формула Пеннингса предсказывала линейную связь между х (расстоянием, на котором мяч находился от берега) и y (точкой, где Элвис прыгал в воду). Нанеся на график 35 точек, за исключением двух попыток, когда слишком нетерпеливый Элвис прыгал прямо в воду, отметая разумное объяснение о том, что «даже у студента-отличника может быть плохой день», Тим получил впечатляющую картину. ![]() Он отправил статью «Знают ли собаки математический анализ?» в журнал College Mathematics Review. Редактор Андервуд Дадли – мечтатель, достойный своего имени, – немедленно ее принял, поместил фотографию Элвиса на обложку и написал Пеннингсу письмо: «Когда следующие поколения читателей прочтут эту статью, они скажут: “В те дни жили гиганты”. И будут правы». Историей заинтересовались Chicago Tribune, Baltimore Sun, NPR и BBC. В письме из Букингемского дворца были добрые пожелания королевы. В Wisconsin State Journal статья об Элвисе стояла на первой странице, а оборот отвели под графики. Популяризатор математики Кит Девлин посвятил главу своей книги «Математический инстинкт» (The Math Instinct) Элвису и даже предлагал назвать книгу «Знают ли собаки матан?». Издатель отговорил его, предупредив, что слово «матан» отпугнет читателей. (Забавно: мой говорил мне то же самое.) Гениальность этой истории, как и гениальность самого Элвиса, в простоте. – Скорее всего, – говорит Пеннингс, – есть сотня математиков, которые кусают локти, думая: «Я мог давным-давно сделать это со своей собакой!» Двое исследователей из Франции – психолог Пьер Перрушет и математик Хорхе Галлего – сделали еще один шаг вперед. Во-первых, они повторили эксперимент с лабрадором-ретривером по кличке Сальса. Затем ученые бросили решительный вызов интерпретации Пеннингса. Они задались вопросом, действительно ли Элвис исследовал все возможные пути, чтобы выбрать оптимальный. Такой путь кажется чудовищно сложным для собаки. «Это позволяет предположить, – писали они, – что собаки, возможно, способны рассчитать… весь маршрут еще до того, как начнут бежать». |
![Иллюстрация к книге — Время переменных. Математический анализ в безумном мире [i_194.jpg] Иллюстрация к книге — Время переменных. Математический анализ в безумном мире [i_194.jpg]](img/book_covers/098/98152/i_194.jpg)
![Иллюстрация к книге — Время переменных. Математический анализ в безумном мире [i_195.jpg] Иллюстрация к книге — Время переменных. Математический анализ в безумном мире [i_195.jpg]](img/book_covers/098/98152/i_195.jpg)
![Иллюстрация к книге — Время переменных. Математический анализ в безумном мире [i_196.jpg] Иллюстрация к книге — Время переменных. Математический анализ в безумном мире [i_196.jpg]](img/book_covers/098/98152/i_196.jpg)
![Иллюстрация к книге — Время переменных. Математический анализ в безумном мире [i_197.jpg] Иллюстрация к книге — Время переменных. Математический анализ в безумном мире [i_197.jpg]](img/book_covers/098/98152/i_197.jpg)
![Иллюстрация к книге — Время переменных. Математический анализ в безумном мире [i_198.jpg] Иллюстрация к книге — Время переменных. Математический анализ в безумном мире [i_198.jpg]](img/book_covers/098/98152/i_198.jpg)
![Иллюстрация к книге — Время переменных. Математический анализ в безумном мире [i_199.jpg] Иллюстрация к книге — Время переменных. Математический анализ в безумном мире [i_199.jpg]](img/book_covers/098/98152/i_199.jpg)
![Иллюстрация к книге — Время переменных. Математический анализ в безумном мире [i_200.jpg] Иллюстрация к книге — Время переменных. Математический анализ в безумном мире [i_200.jpg]](img/book_covers/098/98152/i_200.jpg)
![Иллюстрация к книге — Время переменных. Математический анализ в безумном мире [i_201.jpg] Иллюстрация к книге — Время переменных. Математический анализ в безумном мире [i_201.jpg]](img/book_covers/098/98152/i_201.jpg)
![Иллюстрация к книге — Время переменных. Математический анализ в безумном мире [i_202.jpg] Иллюстрация к книге — Время переменных. Математический анализ в безумном мире [i_202.jpg]](img/book_covers/098/98152/i_202.jpg)