Книга Капуста, неверные мужья и зебра. Загадки и головоломки для развития критического мышления, страница 1 – Алекс Беллос

Авторы: А Б В Г Д Е Ж З И Й К Л М Н О П Р С Т У Ф Х Ч Ш Ы Э Ю Я
Книги: А Б В Г Д Е Ж З И Й К Л М Н О П Р С Т У Ф Х Ц Ч Ш Щ Ы Э Ю Я
Бесплатная онлайн библиотека LoveRead.in

Онлайн книга «Капуста, неверные мужья и зебра. Загадки и головоломки для развития критического мышления»

📃 Cтраница 1
Введение

Все мои проблемы начались с Шерил.

Она была сложной девочкой. Настоящая подстрекательница. Большая любительница поддразнить. Но я не мог не думать о ней. Во многих отношениях она изменила мою жизнь.

Здесь я хотел бы уточнить, что Шерил не существует. Она – главное действующее лицо задачи по математике на экзамене в сингапурской школе. Эта задача захватила мое воображение и вовлекла в исследование мира головоломок, приведшее к написанию этой книги.

Вы найдете задачу о дне рождения Шерил, а также исчерпывающую историю наших отношений (речь идет о задаче 21) чуть позже. А пока, прежде чем отправиться в путешествие по моим любимым задачам, предлагаю решить две увлекательные головоломки, которые подогреют ваш интерес к этой теме.

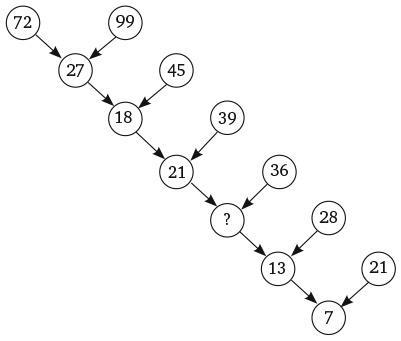
Во-первых, посмотрите на представленный ниже рисунок. Числа на нем расположены согласно определенному правилу. Установив его, вы найдете отсутствующее число. Число семь в последнем кружочке не опечатка.

Иллюстрация к книге — Капуста, неверные мужья и зебра. Загадки и головоломки для развития критического мышления [i_001.jpg]

Я считаю эту головоломку неотразимой. Она интригующа и не требует глубоких знаний математики. Задача прямо-таки подзадоривает вас решить ее, а когда вы находите ответ (если находите), у вас возникает возбуждающее, манящее чувство удовлетворения. Ноб Йошигахара – знаменитый японский изобретатель головоломок XX столетия – считал ее своим шедевром. Попытайтесь отыскать решение, прежде чем я раскрою его в конце этого раздела.

Вторая головоломка – о марсианских каналах. На карте Красной планеты отображены недавно открытые города и водные пути. Отправляйтесь в дорогу из города T на Южном полюсе. Передвигайтесь по каналам и, посетив каждый город только один раз и вернувшись в исходную точку, составьте предложение на английском языке.

Иллюстрация к книге — Капуста, неверные мужья и зебра. Загадки и головоломки для развития критического мышления [i_002.jpg]

Этой задаче, придуманной плодовитым американским изобретателем головоломок Сэмом Лойдом, более ста лет. Лойд писал: «Когда головоломка была впервые опубликована в журнале, свыше пятидесяти тысяч читателей заявили: “There is no possible way” [1]. И все же она очень простая». Вы будете кусать себе локти, если прочитаете решение, прежде чем попытаетесь найти его самостоятельно.

Если вы сделали паузу, чтобы заняться решением какой-то из этих двух задач, мне вряд ли нужно вам объяснять, почему разгадывание головоломок столь увлекательное занятие! Когда вы фокусируетесь на поиске решения, отвлекающие факторы исчезают. Необходимость использовать свой разум оказывает жизнеутверждающее воздействие. А дедуктивные размышления, выраженные в виде простых логических шагов, успокаивают, особенно на фоне алогичности реальной жизни. Кроме того, хорошие головоломки ставят вполне осуществимые цели, достижение которых приносит высшее удовлетворение.

Одним из следствий моей встречи с Шерил стала интернет-колонка головоломок в Guardian, которую я начал вести. Для поиска лучших головоломок я организовал переписку как с их любителями, так и с профессиональными создателями, а также погрузился в чтение книг. Меня всегда увлекали математические загадки, но до начала этой исследовательской работы я в полной мере не осознавал их разнообразия, концептуальной глубины и богатой истории. В частности, я не понимал, что тысячу лет назад основная роль математики (помимо решения скучных задач коммерческого плана, таких как подсчет и измерение) сводилась к обеспечению интеллектуальных развлечений и увлекательного времяпрепровождения. (Возможно, все так и осталось, учитывая, что число любителей судоку существенно превышает количество профессиональных математиков.) Головоломки составляют параллельную историю математики, которая отображает великие открытия и вдохновляет блистательные умы.

В этой книге представлены 125 специально отобранных головоломок, созданных за прошедшие два тысячелетия, плюс истории их происхождения и влияния. Я выбрал только те, которые считаю наиболее захватывающими, увлекательными и стимулирующими работу мысли. Их можно рассматривать как математические только в самом широком смысле, потому что их решение требует логического мышления, а не глубоких знаний математики. Все они пришли из Китая, средневековой Европы, викторианской Англии и современной Японии, а также из других мест и времен. Одни представляют собой традиционные загадки, другие созданы ведущими профессиональными математиками своего времени. Но во многих случаях происхождение задачи трудно определить. Подобно анекдотам и сказкам, головоломки постоянно меняются, поскольку каждое новое поколение приукрашивает, адаптирует, упрощает, расширяет и видоизменяет их.

Лучшие головоломки сродни настоящей поэзии. Они, с присущей им элегантностью и лаконичностью, пробуждают интерес, разжигают дух соперничества, проверяют нашу изобретательность, а порой даже открывают универсальные истины. Для решения хорошей головоломки не требуется никаких специальных знаний – только творческий подход, остроумие и способность ясно мыслить. Математические загадки захватывают наше воображение, поскольку отвечают стремлению человека осмыслить этот мир; доставляют нам удовольствие, потому что, решая их, мы постигаем смысл происходящего. При этом, какими бы поверхностными и надуманными ни были головоломки, стратегии, используемые нами для их решения, расширяют наш арсенал средств борьбы со многими проблемами в жизни. И самое важное – головоломки дают волю нашей интеллектуальной игривости. Они забавны и пробуждают любознательность. Представленный мной диапазон головоломок требует совершенно разных подходов к их решению. В одних случаях все будет зависеть от озарения, в других вам придется довериться интуиции, а в третьих… Но об этом мы еще поговорим.

Каждая глава посвящена определенной теме, а задачи следуют примерно в хронологическом порядке. Головоломки не упорядочены по сложности. Впрочем, зачастую определить уровень сложности довольно трудно, ведь то, что один человек воспринимает как пытки, другому кажется элементарным, и наоборот. Я объясню вам решение нескольких головоломок и подскажу, как разгадать еще несколько, но над остальными вам предстоит работать самостоятельно. (Ответы можно найти в конце книги.) Одни задачи достаточно просты. Над другими вы будете ломать голову несколько дней. Самые трудные обозначены символом

Иллюстрация к книге — Капуста, неверные мужья и зебра. Загадки и головоломки для развития критического мышления [i_003.jpg]
. Даже если вы не справитесь с ними, надеюсь, их решение покажется вам таким же увлекательным, как и сами задачи. Порой самые волнующие ощущения вызывает открытие нового метода, идеи или последствий ее реализации, о которых вы не знали.

Вход
Поиск по сайту
Ищем:
Календарь