Онлайн книга «Бесконечная сила. Как математический анализ раскрывает тайны вселенной»
|
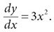
А поскольку y = x3, упрощаем уравнение до вида dy = 3x2dx. Деление обеих частей на dx дает соответствующий наклон ![]() В точке x = 2 это дает наклон 3×(2)2 = 12. То же число 12, что мы видели ранее. Именно поэтому изменение с 2 до 2,001 давало нам (2,001)3 ≈ 8,012. Это означает, что бесконечно малое изменение x около 2 (назовем его dx) преобразуется в бесконечно малое изменение y около 8 (назовем его dy), которое в 12 раз больше (dy = 12dx). Между прочим, аналогичные рассуждения показывают, что для любого положительного n производная y = xn равна dy / dx = Δxn-1; этот результат мы уже упоминали ранее. При небольших дополнительных усилиях мы могли бы распространить его на отрицательные, дробные и иррациональные n. Большое преимущество бесконечно малых в целом и дифференциалов в частности состоит в том, что они облегчают вычисления. Они срезают путь. Освобождают разум для более творческого мышления, так же как алгебра делала это для геометрии в давние годы. Вот за это Лейбниц и обожал дифференциалы. Он писал своему наставнику Гюйгенсу: «Мой анализ обеспечил мне практически без размышлений огромную часть открытий, которые относятся к этой теме. Что мне больше всего нравится в моем анализе, так это то, что он предоставляет те же преимущества перед древними в геометрии Архимеда, которые Виет и Декарт дали нам в геометрии Евклида или Аполлония, освобождая нас от необходимости работать с воображением» [241]. Единственное, что нехорошо с бесконечно малыми величинами, – это то, что они не существуют, по крайней мере в системе действительных чисел. Да, и еще одно – они парадоксальны. Они не казались бы осмысленными, даже если бы существовали. Один из последователей Лейбница, Иоганн Бернулли, понял, что они обязаны удовлетворять бессмысленным уравнениям вроде x + dx = x, хотя dx – это не ноль. Хм. Ну нельзя же получить все сразу! Бесконечно малые величины действительно дают правильные ответы, как только мы научимся с ними работать, а предоставляемые ими выгоды с лихвой компенсируют все психические расстройства, которые они могут вызывать. Они подобны лжи Пикассо, которая помогает нам осознать истину. В качестве еще одной демонстрации мощи бесконечно малых величин Лейбниц использовал их для вывода закона синусов для преломления света, предложенного Снеллом. Вспомните главу 4: когда свет переходит из одной среды в другую (скажем, из воздуха в воду), он изгибается в соответствии с математическим законом, который не раз был установлен в течение столетий. Ферма объяснил его своим принципом наименьшего времени, но изо всех сил пытался решить задачу оптимизации, которую подразумевал его принцип. С помощью своих дифференциалов Лейбниц с легкостью вывел закон синусов [242] и с явной гордостью отметил, что «другие весьма ученые мужи искали многими хитроумными способами то, что человек, сведущий в этом анализе, может достичь в этих строках, как по волшебству» [243]. Основная теорема анализа через дифференциалы Еще одним триумфом дифференциалов Лейбница стало то, что они сделали основную теорему прозрачной. Вспомним, что она относится к функции накопления площади A(x), которая определяет площадь под кривой y = f(x) в интервале от 0 до x. Теорема гласит, что при сдвиге x вправо площадь под кривой накапливается со скоростью самой f(x). Таким образом, f(x) является производной A(x). ![]() Чтобы понять, откуда берется этот результат, предположим, что мы увеличиваем x на бесконечно малую величину dx. Как изменится площадь A(x)? По определению, она изменится на величину dA, то есть новая площадь равна старой плюс ее приращение, A + dA. Основная теорема получается сразу же, как только мы наглядно представим, чему должно равняться dA. Как видно из рисунка ниже, площадь изменяется на бесконечно малую величину dA, которая представляет собой узкую вертикальную полоску между x и x + dx. ![]() Эта полоска – прямоугольник с высотой y и основанием dx. Поэтому его площадь равна произведению этих величин, то есть y dx или, если угодно, f(x)dx. В действительности такая полоска будет прямоугольником только при бесконечно малом приращении. В реальности для полоски конечной ширины Δx изменение площади ΔA будет состоять из двух частей. Основной вклад внесет прямоугольник площади yΔx. Намного меньше по площади маленький, криволинейный сверху, похожий на треугольник кусочек, располагающийся над этим прямоугольником. ![]() Вот еще один случай, когда мир бесконечно малых величин приятнее реального. В реальном мире нам пришлось бы учитывать площадь этой крышечки, а это сделать непросто, поскольку она зависит от формы кривой. Но когда ширина прямоугольника стремится к нулю и «становится» dx, площадь крышечки оказывается пренебрежимо малой по сравнению с площадью прямоугольника. Это сверхмалая величина по сравнению с малой величиной. В результате получается, что dA = y dx = f(x)dx. Бум! И вот вам основная теорема анализа. Или, как это более вежливо переформулируют в нынешние дни (в наше заблудшее время, когда дифференциалы отвергнуты ради производных), ![]() |
![Иллюстрация к книге — Бесконечная сила. Как математический анализ раскрывает тайны вселенной [i_123.jpg] Иллюстрация к книге — Бесконечная сила. Как математический анализ раскрывает тайны вселенной [i_123.jpg]](img/book_covers/095/95383/i_123.jpg)
![Иллюстрация к книге — Бесконечная сила. Как математический анализ раскрывает тайны вселенной [i_124.jpg] Иллюстрация к книге — Бесконечная сила. Как математический анализ раскрывает тайны вселенной [i_124.jpg]](img/book_covers/095/95383/i_124.jpg)
![Иллюстрация к книге — Бесконечная сила. Как математический анализ раскрывает тайны вселенной [i_125.jpg] Иллюстрация к книге — Бесконечная сила. Как математический анализ раскрывает тайны вселенной [i_125.jpg]](img/book_covers/095/95383/i_125.jpg)
![Иллюстрация к книге — Бесконечная сила. Как математический анализ раскрывает тайны вселенной [i_126.jpg] Иллюстрация к книге — Бесконечная сила. Как математический анализ раскрывает тайны вселенной [i_126.jpg]](img/book_covers/095/95383/i_126.jpg)
![Иллюстрация к книге — Бесконечная сила. Как математический анализ раскрывает тайны вселенной [i_127.jpg] Иллюстрация к книге — Бесконечная сила. Как математический анализ раскрывает тайны вселенной [i_127.jpg]](img/book_covers/095/95383/i_127.jpg)