Онлайн книга «Бесконечная сила. Как математический анализ раскрывает тайны вселенной»
|
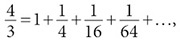
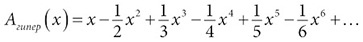
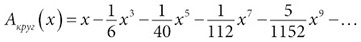
Если вас это утешит, то никто не совершенен. Когда Ньютон впервые выполнил эти вычисления, он допустил мелкую арифметическую ошибку. Его расчеты были верны только до 28-й цифры. Позднее он обнаружил ошибку и исправил ее. После атаки на натуральный логарифм Ньютон применил степенные ряды к тригонометрическим функциям, которые возникают каждый раз там, где есть окружности, циклы и треугольники, то есть в астрономии, геодезии или навигации. Однако здесь Ньютон не был первым. Более двух веков назад математики из Кералы в Индии открыли степенные ряды для синуса, косинуса и арктангенса [213]. В начале 1500-х Джьештадева и Нилаканта Сомаяджи приписали эти формулы Мадхаве из Сангамаграмы (около 1350 – около 1425), основателю Керальской школы математики и астрономии, который вывел их и выразил в стихах примерно за двести пятьдесят лет до Ньютона. В известном смысле логично, что степенные ряды появились в Индии. Именно здесь родились десятичные дроби, а, как мы видели, Ньютон полагал, что делает для кривых примерно то же, что бесконечные десятичные дроби для арифметики. Суть в том, что степенные ряды вооружили Ньютона универсальным инструментом анализа. С ними он мог брать интегралы, находить корни алгебраических уравнений и вычислять значения неалгебраических функций, таких как синусы, косинусы и логарифмы. Как заметил ученый, «с их помощью анализ справляется, я бы сказал, со всеми задачами» [214]. Ньютон как мастер мэшапа Я не верю, что Ньютон делал это сознательно, но в своей работе со степенными рядами он вел себя как мастер математического мэшапа [215]. Он подошел к задаче площади в геометрии через принцип бесконечности древних греков и сплавил его с индийскими десятичными дробями, исламской алгеброй и французской аналитической геометрией. Некоторые математические заимствования видны в структуре его уравнений. Например, сравните бесконечный ряд чисел, использованный Архимедом при квадрировании параболы: ![]() с бесконечным рядом символов, которые Ньютон использует при квадрировании гиперболы: ![]() Если вы подставите
Более того, сходство в их работе распространяется и на рассматриваемые ими геометрические задачи. Оба берут сегменты; Архимед использует свой ряд для квадрирования (нахождения площади) сегмента параболы, а Ньютон – свой усовершенствованный степенной ряд ![]() для квадрирования кругового сегмента и другой степенной ряд ![]() для квадрирования сегмента гиперболы. На самом деле ряды Ньютона неизмеримо мощнее, чем ряд Архимеда, потому что позволяли находить площади не одного, а бесконечного количества круговых и гиперболических сегментов. Вот что дал ученому абстрактный символ x. Он позволил ему непрерывно и безболезненно менять задачи; менять форму сегментов, сдвигая x влево или вправо, и в результате то, что казалось одним бесконечным рядом, на деле оказывалось бесконечным семейством бесконечных рядов, по одному ряду для каждого конкретного x. Такова мощь степенных рядов. Они дали возможность одним махом решить бесконечно много задач. Однако повторюсь: Ньютон не решил бы ни одной задачи, если бы не стоял на плечах гигантов. Он объединил, синтезировал и обобщил идеи своих великих предшественников. Он унаследовал принцип бесконечности от Архимеда; научился касательным у Ферма; родиной десятичных дробей была Индия; переменные восходят к арабской алгебре; представление кривых на координатной плоскости позаимствовано из трудов Декарта; раскованные ухищрения с бесконечностью, дух экспериментирования и открытость к допущениям и индукции пришли от Валлиса. Он смешал все это вместе, чтобы создать нечто новое – то, что мы до сих пор используем для решения задач анализа: универсальный метод степенных рядов. Частный анализ Пока Ньютон работал со степенными рядами зимой 1664–1665 годов, Европу захлестнула страшная эпидемия, двигавшаяся, подобно волне, от Средиземного моря в Голландию. Когда бубонная чума достигла Лондона, она еженедельно убивала сначала сотни, а затем и тысячи людей. Летом 1665 года Кембриджский университет был временно закрыт. Ньютон отправился домой в семейную усадьбу в Линкольншире. В течение следующих двух лет он стал лучшим математиком в мире. Но изобретения современного анализа было недостаточно, чтобы занять его ум. Он также открыл закон всемирного тяготения (закон обратных квадратов для гравитации) и применил его к движению Луны, изобрел телескоп-рефлектор и экспериментально показал, что белый свет состоит из всех цветов радуги. Ему не было еще и двадцати пяти. Как он позднее вспоминал, «в те дни я был в расцвете сил юности и думал о математике и философии больше, чем когда-либо впоследствии» [216]. |
![Иллюстрация к книге — Бесконечная сила. Как математический анализ раскрывает тайны вселенной [i_118.jpg] Иллюстрация к книге — Бесконечная сила. Как математический анализ раскрывает тайны вселенной [i_118.jpg]](img/book_covers/095/95383/i_118.jpg)
![Иллюстрация к книге — Бесконечная сила. Как математический анализ раскрывает тайны вселенной [i_116.jpg] Иллюстрация к книге — Бесконечная сила. Как математический анализ раскрывает тайны вселенной [i_116.jpg]](img/book_covers/095/95383/i_116.jpg)
![Иллюстрация к книге — Бесконечная сила. Как математический анализ раскрывает тайны вселенной [i_119.jpg] Иллюстрация к книге — Бесконечная сила. Как математический анализ раскрывает тайны вселенной [i_119.jpg]](img/book_covers/095/95383/i_119.jpg)
![Иллюстрация к книге — Бесконечная сила. Как математический анализ раскрывает тайны вселенной [i_120.jpg] Иллюстрация к книге — Бесконечная сила. Как математический анализ раскрывает тайны вселенной [i_120.jpg]](img/book_covers/095/95383/i_120.jpg)
![Иллюстрация к книге — Бесконечная сила. Как математический анализ раскрывает тайны вселенной [i_121.jpg] Иллюстрация к книге — Бесконечная сила. Как математический анализ раскрывает тайны вселенной [i_121.jpg]](img/book_covers/095/95383/i_121.jpg)