Онлайн книга «Бесконечная сила. Как математический анализ раскрывает тайны вселенной»
|
Высота этого прямоугольника – 60 километров в час, основание –
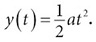
То же самое рассуждение работает для любого времени t. Основанием прямоугольника будет t, высота – по-прежнему 60, поэтому площадь равна 60t. И действительно, именно это расстояние мы и ожидаем найти, y = 60t. Таким образом, как минимум в этом примере, где скорость всегда постоянна, а кривая скорости – просто прямая линия, ключ к определению пройденного расстояния – поиск площади под кривой скорости. Открытие Ньютона состояло в том, что это равенство между площадью и расстоянием верно всегда, даже если скорость непостоянна. Как бы неравномерно ни двигался объект, площадь под кривой скорости к моменту t всегда равна общему расстоянию, пройденному за время t. Это один из вариантов основной теоремы. Он кажется слишком простым, чтобы претендовать на истину, но тем не менее это она и есть. Ньютон пришел к нему, думая о площади как о переменной величине, а не о фиксированной мере, как тогда было принято в геометрии. Он ввел в геометрию время, рассматривая ее как физику. Если бы Ньютон жил сегодня, возможно, он бы визуализировал приведенный выше рисунок с помощью анимации, например в виде кинеографа [201], а не мгновенного снимка. Чтобы сделать это, снова взгляните на картинку выше, но теперь представьте, что это один кадр фильма или одна страничка в кинеографе. Как будет меняться серый прямоугольник, если мы начнем просматривать анимацию? Мы увидим, что он расширяется вправо. Почему? Потому что длина его основания равна t и она увеличивается со временем. Если бы мы могли делать по кадру для каждого момента и последовательно их воспроизводить, словно пролистывая странички в кинеографе, то увидели бы, как анимированная версия серого прямоугольника расширяется вправо. Это походило бы на поршень или лежащий на боку шприц, который втягивает серую жидкость. Эта серая жидкость представляет собой увеличивающуюся площадь прямоугольника. Мы представляем, что эта площадь «накапливается» под кривой скорости v(t). В нашем случае площадь, накопленная к моменту времени t, равна A(t) = 60t, что совпадает с расстоянием, пройденным автомобилем, y(t) = 60t. Таким образом, накопленная площадь под кривой скорости дает расстояние как функцию времени. Это вариант основной теоремы для движения. Постоянное ускорение Мы прокладываем дорогу к Ньютонову общему геометрическому случаю основной теоремы, в котором фигурирует произвольная кривая y(t) и площадь A(t) под ней. Идея накопления площади – ключевая для объяснения теоремы, но я понимаю, что к ней следует немного привыкнуть. Поэтому давайте применим ее еще к одной конкретной задаче о движении, прежде чем перейдем к общему случаю. Рассмотрим объект, движущийся с постоянным ускорением. Это означает, что он перемещается все быстрее и быстрее с равномерно увеличивающейся скоростью. Это немного напоминает то, как вы нажимаете на педаль газа в своем автомобиле, и он разгоняется из состояния покоя. Через одну секунду машина достигнет скорости, предположим, 10 километров в час, через две – 20 километров в час, через три – 30 километров в час и так далее. В этом гипотетическом примере автомобиль каждую секунду добавляет к своей скорости 10 километров в час. Такое изменение скорости, 10 километров в час за секунду, называется ускорением автомобиля. (Для простоты проигнорируем тот факт, что машина не может ускоряться бесконечно и что ускорение не строго постоянно, когда вы давите на педаль газа.) В нашем идеализированном примере скорость в любой момент времени задается уравнением v(t) = 10t. Здесь число 10 означает ускорение автомобиля. Если бы ускорение было другой константой, допустим a, то формула приняла бы более общий вид v(t) = at. Мы хотим знать, как далеко уедет машина за время t, если начать с момента 0. Иными словами, какой функцией времени определяется пройденное расстояние? Было бы ужасной ошибкой использовать школьную формулу, когда расстояние равно произведению скорости на время, поскольку она верна только для движения с постоянной скоростью, а в нашем случае это не так. Наоборот, у нас скорость увеличивается с каждой секундой. Мы больше не в сонном мире постоянных скоростей, а в захватывающем мире постоянного ускорения. Ученые Средневековья уже знали ответ на этот вопрос. Уильям Хейтсбери, философ и логик из Мертон-колледжа в Оксфорде, решил эту задачу около 1335 года, а Николай Орем, французский теолог и математик, около 1350 года дополнительно разъяснил ее, представив наглядно. К сожалению, их работы не получили широкой известности и вскоре были забыты. Примерно 250 лет спустя Галилей показал, что равноускоренное движение – не какая-то абстракция. Именно так двигаются тяжелые предметы (например, металлические шары), когда падают на Землю или катятся по слегка наклонной плоскости. В обоих случаях скорость шаров растет пропорционально времени v = at, как и ожидается при движении с постоянным ускорением. Итак, мы знаем, что скорость увеличивается линейно v = at. А как увеличивается расстояние? Согласно основной теореме, пройденное расстояние равно площади под кривой скорости, накопленной к моменту t. Поскольку у нас кривая скорости – это наклонная прямая v = at, то соответствующую площадь нетрудно вычислить. Это площадь треугольника, изображенного ниже. ![]() Как и серый прямоугольник в предыдущей задаче, серый треугольник тоже будет расширяться со временем вправо. Разница в том, что прямоугольник увеличивался строго горизонтально, а треугольник растет в обоих направлениях. Для вычисления площади заметим, что в любой момент времени основание треугольника равно t, а высота – текущей скорости объекта, то есть v = at. Поскольку площадь треугольника составляет половину произведения длины основания на высоту, она равна ½ × t × at = at2 / 2. Согласно основной теореме площадь под кривой скорости говорит нам, какое расстояние прошло тело: ![]() |
![Иллюстрация к книге — Бесконечная сила. Как математический анализ раскрывает тайны вселенной [i_101.jpg] Иллюстрация к книге — Бесконечная сила. Как математический анализ раскрывает тайны вселенной [i_101.jpg]](img/book_covers/095/95383/i_101.jpg)
![Иллюстрация к книге — Бесконечная сила. Как математический анализ раскрывает тайны вселенной [i_102.jpg] Иллюстрация к книге — Бесконечная сила. Как математический анализ раскрывает тайны вселенной [i_102.jpg]](img/book_covers/095/95383/i_102.jpg)
![Иллюстрация к книге — Бесконечная сила. Как математический анализ раскрывает тайны вселенной [i_103.jpg] Иллюстрация к книге — Бесконечная сила. Как математический анализ раскрывает тайны вселенной [i_103.jpg]](img/book_covers/095/95383/i_103.jpg)