Книга Кардио или силовая? Какие нагрузки подходят именно вам, страница 23 – Алекс Хатчинсон

Авторы: А Б В Г Д Е Ж З И Й К Л М Н О П Р С Т У Ф Х Ч Ш Ы Э Ю Я
Книги: А Б В Г Д Е Ж З И Й К Л М Н О П Р С Т У Ф Х Ц Ч Ш Щ Ы Э Ю Я
Бесплатная онлайн библиотека LoveRead.in

Онлайн книга «Кардио или силовая? Какие нагрузки подходят именно вам»

📃 Cтраница 23

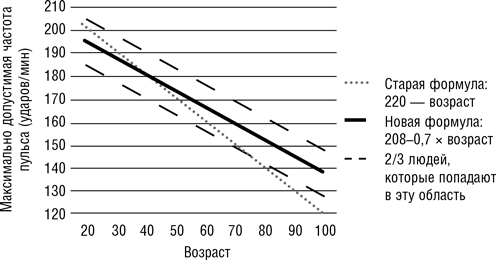
Согласно традиционным взглядам, на которые опираются разработчики даже самых навороченных современных кардиотренажеров, для определения максимально допустимой частоты пульса следует из 220 вычесть возраст человека. Это очень просто, однако чаще всего неверно. «Как выяснилось, традиционная формула практически не имеет никаких научных обоснований, — говорит Хирофуми Танака, глава Лаборатории по исследованию проблем старения сердечно-сосудистой системы при Техасском университете. — На самом деле это широко распространенное заблуждение возникло в начале 1970-х годов, когда проводились наблюдения над курильщиками и пациентами, принимающими препараты для лечения сердечно-сосудистых заболеваний; при этом почти все испытуемые были не старше 55 лет». Танака нашел более совершенную формулу: «208 минус ваш возраст, умноженный на 0,7». Но даже эта формула дает очень грубый усредненный результат, потому что в работе сердца происходит очень много естественных изменений. Примерно у каждого третьего результаты будут отличаться от реальных на 10 ударов, а этого вполне достаточно для того, чтобы оказаться на тренировке в совершенно иной пульсовой зоне. Кроме того, некоторые современные исследователи предполагают, что аэробные тренировки могут снизить вашу максимально допустимую частоту пульса аж на 10 ударов в минуту, по мере того как сердце становится сильнее.

Иллюстрация к книге — Кардио или силовая? Какие нагрузки подходят именно вам [i_007.jpg]

Выходит, единственный надежный способ определить свой предел — заставить сердце биться максимально быстро. Обычно для этого требуется выполнить ЭКГ-пробу с физической нагрузкой. Такая диагностика проводится на беговой дорожке — как в клинике, так и в лаборатории. Вполне достоверные результаты можно также получить, если, надев на руку пульсометр, совершить забег продолжительностью 15–20 минут, при этом постепенно увеличивая темп: от умеренной пробежки до спринта в полную силу в последние несколько минут. «В идеале нужно заканчивать парой кругов на местном стадионе, — советует Рой Бенсон из Атланты, заслуженный тренер по бегу. — После каждой сотни метров проверяйте свой пульс и ускоряйтесь, насколько можете. Необходимо следить за частотой пульса, чтобы засечь наивысшую точку сердцебиения. Можно сделать это на забеге 5 км, где зрители и дух соперничества будут мотивировать вас к достижению вашего истинного максимума; однако начинать двигаться в этом направлении нужно постепенно, чтобы ноги не отказали вам раньше, чем работа сердечной мышцы достигнет своего предела».

Узнав свой настоящий максимум, вы будете более точно ощущать, в какой именно зоне тренируетесь. Однако тут есть ловушки, которых стоит остерегаться. Во влажной и жаркой среде потоотделение может уменьшить объем циркулирующей крови и вызвать так называемое кардиогенное изменение пульса: сердце будет биться быстрее, несмотря на низкую интенсивность физической нагрузки. В холодном и сухом климате происходит прямо противоположное: частота пульса станет искусственно замедляться, даже если вы будете двигаться в желаемом темпе. Вывод: пульсометр, безусловно, очень полезный инструмент, однако в первую очередь обращайте внимание на свое самочувствие.

Как правильно дышать при выполнении упражнений?

Так делают птицы, и лошади тоже. Поэтому вполне естественно ожидать, что и человек должен синхронизировать дыхание с ритмическими видами активности, такими как бег, езда на велосипеде или гребля. И в самом деле, десятилетия исследований показали, что существует определенная связь между темпом шагов и темпом дыхания: в самых разных видах спорта; как у новичков, так и у профессионалов; как на низкой, так и на высокой скорости. Некоторые ученые считают, что бессознательная синхронизация делает движения более эффективными. На основе ряда новейших экспериментов также возникла гипотеза, что, если принуждать себя дышать по определенному шаблону, это может вызвать отрицательный эффект.

Лошади поддерживают постоянную пропорцию, соотношение 1:1 между шагами и вдохами-выдохами, потому что их легкие и дыхательные мышцы ритмически колеблются каждый раз, когда копыта ударяются о землю. То же самое происходит и с птицами, когда они взмахивают крыльями. У людей же в силу прямохождения дело обстоит иначе: эффект вибрации, возникающий при каждом шаге, не отражается напрямую на дыхательных мышцах. Однако серия экспериментов, проведенных в 1970-е годы на беговой дорожке и велотренажере, показала, что некоторые (но не все) испытуемые естественным образом начинали дышать так, что их дыхание синхронизировалось с частотой движений. Соотношение полных шагов (считаем каждый раз, когда правая нога касается земли) и полных дыхательных циклов (считаем каждый выдох) сильно различается у разных людей: наблюдения дают результаты 1:1, 2:1, 3:1, 4:1 и даже 5:2. Самый распространенный результат среди бегунов — два цикла шагов на один дыхательный цикл.

Эксперимент, осуществленный шведскими учеными в 1993 году, показал, что бегуны, по всей видимости, расходуют чуть меньше энергии, когда их дыхание скоординировано с темпом движения, — открытие, заставившее некоторых тренеров учить спортсменов больше концентрироваться на дыхании. С тех пор проводились многочисленные исследования, призванные выяснить, действительно ли синхронизированное дыхание облегчает движение и способствует ли оно сохранению энергии, однако результаты оказались противоречивыми. За 20 с лишним лет так и не удалось обнаружить сколько-нибудь отчетливую связь, так что если она на самом деле и существует, то эффект этот слишком мал, чтобы иметь практическое значение. Однако идея о том, что существует «правильное» дыхание, до сих пор является весьма распространенной.

Более новое исследование выявило, что попытки сознательно контролировать дыхание не только принципиально отличаются от того, чтобы просто позволить дыханию автоматически приспособиться к ритму движения, но и могут иметь негативные последствия. В 2009 году немецкие ученые из Института спортивных наук в Мюнстере наблюдали за бегунами, которые должны были поочередно сосредотачиваться либо на дыхании, либо на окружающей обстановке. Когда испытуемые концентрировались на дыхании, они дышали глубже и замедляли темп дыхания от 37 выдохов в минуту до 30. В результате они израсходовали почти на 10 % больше энергии, чем когда не следили за дыханием и просто смотрели по сторонам. Исследователи сделали вывод, что наш организм способен автоматически выбирать правильный темп дыхания на подсознательном уровне, однако когда мы пытаемся думать об этом, то делаем себе только хуже.

Так или иначе начинающим спортсменам будет полезно ознакомиться с некоторыми рекомендациями относительно правильного дыхания. Так, например, если одновременно дышать и через нос, и через рот, то можно получить больше кислорода, чем только через нос или только через рот. А при поднятии тяжестей важно синхронизировать дыхание: на выдохе поднимайте вес, на вдохе опускайте; а самое главное — ни в коем случае не задерживайте дыхание.

Но в целом, если вы обнаружите, что судорожно дышите во время выполнения нового кардиоупражнения, то это, скорее всего, происходит потому, что вы начали слишком быстро, а не потому, что дышите неправильно. Сбавьте темп, подумайте о чем-нибудь приятном, и все наладится само собой.

Вход
Поиск по сайту
Ищем:
Календарь