Онлайн книга «Национальный состав Красной армии. 1918–1945. Историко-статистическое исследование»
|
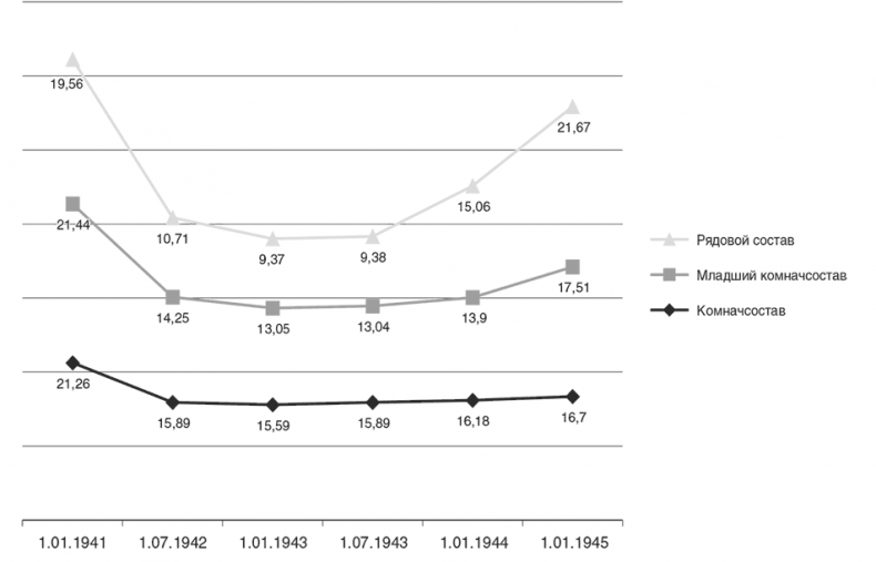
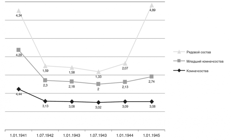
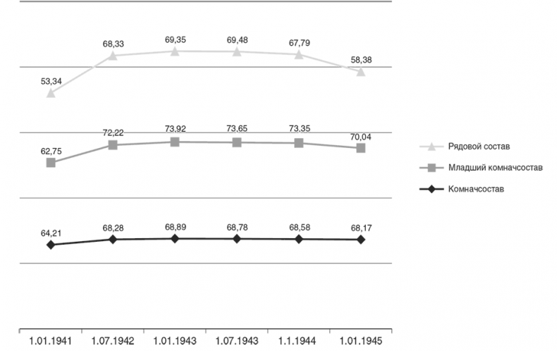
В последний период войны безусловное преимущество при наборе в военные училища отдавалось кандидатам из числа красноармейцев и сержантов из войск, а из них – прежде всего фронтовикам. В конце войны курсанты, вышедшие из гражданской молодежи, составляли лишь 6,1 % против 71 % в январе 1943 г. [1419] Поэтому среди новобранцев, мобилизуемых в освобождаемых областях Украины и Белоруссии, кандидатов в военные училища отбирали мало. Кроме того, есть данные о том, что существовал прямой запрет набирать в училища лиц, побывавших под оккупацией [1420], правда, едва ли он мог соблюдаться неукоснительно и полно. К этому следует добавить, что с 1943 г. сроки обучения во всех училищах Сухопутных войск были увеличены до 1–2 лет, а к 1945 г. в основном были восстановлены довоенные сроки обучения [1421]. Таким образом, курсанты с освобождаемых территорий Украины, Белоруссии, Молдавии, принятые в военные училища в 1944 г., фактически не имели шансов оказаться на фронте до окончания войны. Поэтому еще по итогам 1944 г. среди выпускников пехотных училищ безраздельно господствовали русские – 73,4 %. Увеличения числа украинцев, белорусов, уроженцев Прибалтики в этой категории военнослужащих не произошло даже в конце 1944 г. [1422], хотя среди рядового состава, как было показано выше, отмечался резкий скачок численности контингентов этих национальностей. Таблица 62. Характеристика офицерского состава Красной армии к началу Великой Отечественной войны и к концу войны по национальности (без учета политсостава и ВВС) ![]() Источник: ЦАМО. Ф. 9. Оп. 309. Д. 5. Л. 96. Таблица 63. Офицерский, сержантский и рядовой состав фронтовых объединений по национальностям на 1.01.1945 г., чел. ![]() Составлено по: ЦАМО. Ф. Оп. 26. Оп. 366. Л. 5–11. Диаграмма 11.1. Соотношение командно-начальствующего, младшего командно-начальствующего и рядового составов у русских в течение Великой Отечественной войны (в процентах ко всему личному составу Красной армии) ![]() Составлено по: ЦАМО. Ф. 7. Оп. 26. Д. 123. Л. 2, 21; Д. 181. Л. 35, 194, 199; Д. 220. Л. 29-48; Д. 234 Л. 27-46; Д. 317. Л. 1-8 об.; Д. 319. Л. 1-16; Д. 366. Л. 1-17. Диаграмма 11.2. Соотношение командно-начальствующего, младшего командно-начальствующего и рядового составов у украинцев в течение Великой Отечественной войны (в процентах ко всему личному составу Красной армии) ![]() Составлено по: ЦАМО. Ф. 7. Оп. 26. Д. 123. Л. 2, 21; Д. 181. Л. 35, 194, 199; Д. 220. Л. 29-48; Д. 234. Л. 27-46; Д. 317. Л. 1-8 об.; Д. 319. Л. 1-16; Д. 366. Л. 1-17. Диаграмма 11.3. Соотношение командно-начальствующего, младшего командно-начальствующего и рядового составов у белорусов в течение Великой Отечественной войны (в процентах ко всему личному составу Красной армии) ![]() Составлено по: ЦАМО. Ф. 7. Оп. 26. Д. 123. Л. 2, 21; Д. 181. Л. 35, 194, 199; Д. 220. Л. 29-48; Д. 234. Л. 27-46; Д. 317. Л. 1-8 об.; Д. 319. Л. 1-16; Д. 366. Л. 1-17. Из таблицы 63 видно, что это обстоятельство существенно сказывалось на национальной структуре войск, пополнявшихся людьми на территории Украины, Белоруссии, Молдавии. Если по семи фронтам украинского и белорусского направлений [1423] у русских соотношение военнослужащих трех составов – офицерского, сержантского и рядового – складывалось в пропорции 1:1,8:3,4, то у белорусов – 1:1,9:4,7, у украинцев – 1:2:6,7, а у молдаван – 1:4,5:193. На Украинских фронтах, где численность рядовых-украинцев почти сравнялась с численностью рядовых-русских (1, 2, 4-й Украинские фронты), диспропорция удельных значений украинцев-офицеров и украинцев-рядовых достигала 7–8-кратных значений. Такое же положение складывалось с белорусами на 1, 2 и 3-м Белорусских фронтах. Сказанное о диспропорциях в развитии составов военнослужащих очень наглядно можно проиллюстрировать на примере двух восточнославянских этносов – русских и белорусов (диаграммы 11.1, 11.2 и 11.3) [1424]. * * * Анализ национального состава старших офицеров и генералитета Красной армии наглядно показывает, что чем выше было воинское звание, тем выше оказывался удельный вес русских, а также – если брать шире – квартета из трех восточнославянских этносов и евреев, базой которому служили, как отмечено выше, русский язык и готовность национального командного состава к полной русификации ради карьерного роста. В таблице 64 представлены сведения о полковниках, подполковниках и майорах всех родов войск по национальностям по состоянию на 1 мая 1944 г. Так, среди майоров русских числилось 66,83 %, среди подполковников – 68,86 %, среди полковников – 73,47 %. Аналогичные категории военнослужащих трех восточнославянских этносов и евреев составляли следующий возрастающий ряд удельных значений: майоры – 94,74 %, подполковники – 95,18 %, полковники – 95,36 %. |
![Иллюстрация к книге — Национальный состав Красной армии. 1918–1945. Историко-статистическое исследование [i_098.jpg] Иллюстрация к книге — Национальный состав Красной армии. 1918–1945. Историко-статистическое исследование [i_098.jpg]](img/book_covers/095/95095/i_098.jpg)
![Иллюстрация к книге — Национальный состав Красной армии. 1918–1945. Историко-статистическое исследование [i_099.jpg] Иллюстрация к книге — Национальный состав Красной армии. 1918–1945. Историко-статистическое исследование [i_099.jpg]](img/book_covers/095/95095/i_099.jpg)
![Иллюстрация к книге — Национальный состав Красной армии. 1918–1945. Историко-статистическое исследование [i_100.jpg] Иллюстрация к книге — Национальный состав Красной армии. 1918–1945. Историко-статистическое исследование [i_100.jpg]](img/book_covers/095/95095/i_100.jpg)
![Иллюстрация к книге — Национальный состав Красной армии. 1918–1945. Историко-статистическое исследование [i_101.jpg] Иллюстрация к книге — Национальный состав Красной армии. 1918–1945. Историко-статистическое исследование [i_101.jpg]](img/book_covers/095/95095/i_101.jpg)
![Иллюстрация к книге — Национальный состав Красной армии. 1918–1945. Историко-статистическое исследование [i_102.jpg] Иллюстрация к книге — Национальный состав Красной армии. 1918–1945. Историко-статистическое исследование [i_102.jpg]](img/book_covers/095/95095/i_102.jpg)