Онлайн книга «Сотворение Земли. Как живые организмы создали наш мир»
|
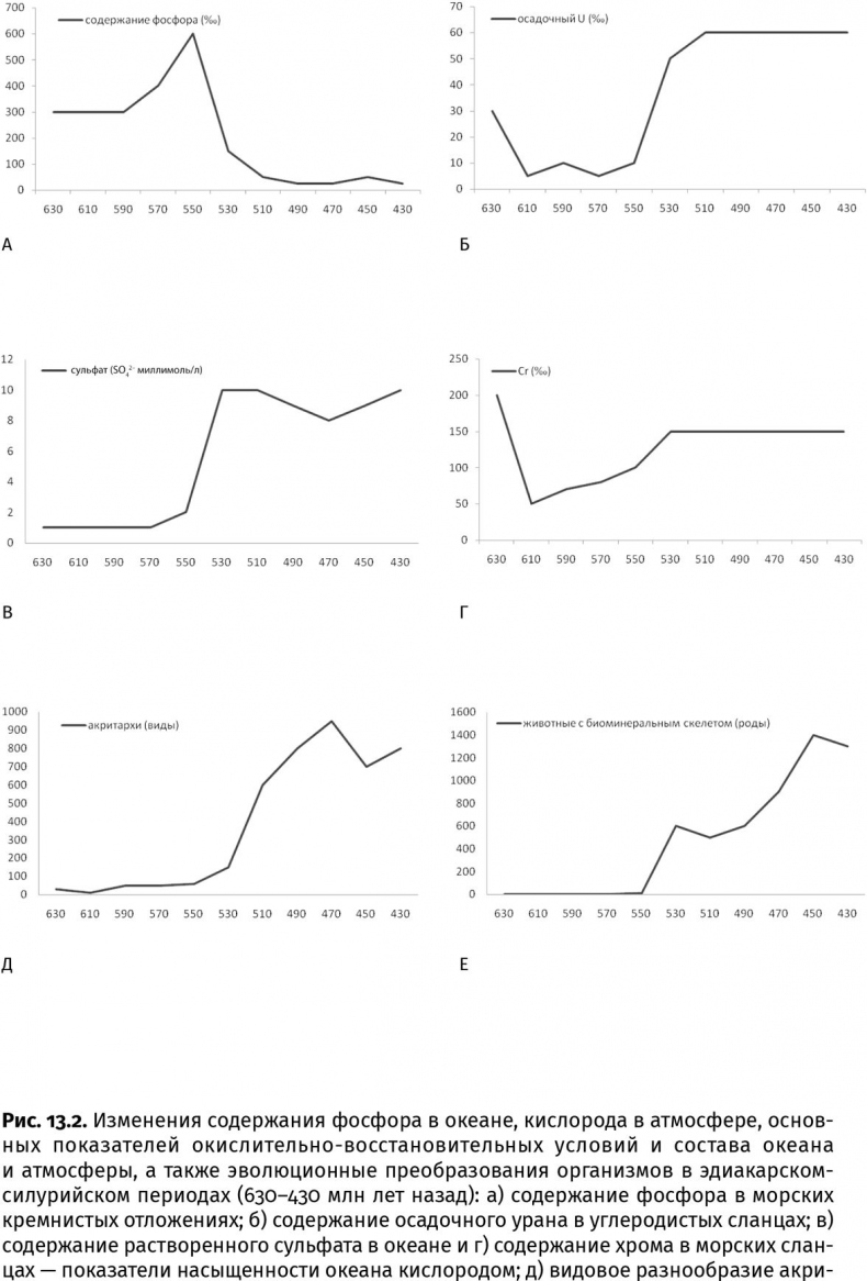
Конечно, водная толща и тем более атмосфера не были полностью лишены этого газа (все-таки уже не встречается ни окатанный пирит, ни перемытый уранинит, но обычны красноцветы): верхние метры благодаря волнению и штормам постоянно аэрировались. Иначе бы эукариотам не то что эволюционировать, пусть и медленно, просто выжить было бы невозможно. Что находилось глубже? Океан Кэнфилда: закисные и сероводородные воды. Закисные, поскольку ионы железа (Fe2+) продолжали поступать из гидротерм, но не окислялись и оставались в растворе, создавая километровый донный слой, лишенный кислорода и обогащенный железом. Сероводородные, потому что пирит на суше все-таки окислялся до сульфата, который выносился в океан и вновь восстанавливался до сульфида, образуя сероводородный прослой между аэрируемым мелководьем и «железными» глубинами. Одновременно прибрежный (в пределах 100 км) слой растворенного сероводорода не давал Fe2+ просочиться в обогащенные кислородом поверхностные воды, превратиться в Fe3+ и осесть в виде гидроокислов. Это явление, кстати, и обусловило конец «железного века» — времени формирования полосчатых железных руд (рис. 4.1и). Трехэтажный океан мог, подобно «трехэтажному „Русскому слову“», как назвал Николай Эрдман издательство сытинской газеты в Москве на Тверской, стоять в веках. Что и случилось. Правда, изначально протерозойский океан был двухэтажным: кислородный верхний слой и закисный нижний, который около 1,85 млрд лет назад частично заместился сероводородным (современным аналогом подобного водоема служит Черное море). В отложениях такого океана изотопная подпись сульфатвосстанавливающих бактерий обрела четкость: значения Δ34S (разница между показателями соотношения изотопов серы — δ34S — в сульфидах и сульфатах) достигли –45‰ против архейских –20‰. Эта разница и указывает на активность восстановителей сульфата. Как результат, из морских отложений исчезли сульфаты кальция (гипс и ангидрит), появившиеся было в начале палеопротерозойской эры. При таких условиях из-за низкого содержания биогенных элементов упала продуктивность цианобактерий и первых водорослей, что и выразилось в выпрямлении изотопной кривой углерода. (Такие лимитирующие элементы, как Mo, Zn, Cu и Cd, либо плохо растворяются в бескислородной среде, либо быстро связываются HS— и уходят на дно, а РО42– реагирует с FeOOH.) Кроме того, низкое содержание в океане меди, необходимой цианобактериям для завершения цикла денитрификации (превращения N2O в N2), могло привести к тому, что в атмосфере оказалось в 15–20 раз больше закиси азота, чем сейчас. При низком уровне кислорода, несмотря на распад молекул N2O под действием солнечных лучей, этот парниковый газ концентрировался в атмосфере, так же как и СН4, другой побочный продукт бактериальной деятельности в закисно-сероводородном океане. Земля согрелась вновь, хотя Солнце все еще оставалось слабым (примерно 85 % от современного уровня), и не остывала вплоть до криогенового периода. Основными производителями органического вещества стали аноксигенные фототрофы (например, зеленые и пурпурные серные бактерии). Последние используют H2S и окисляют его на свету до S0 или SO42–. Как видно, кислород побочным продуктом такого фотосинтеза не является, потому подобные микробы и называются «кислороднеобразующими» — аноксигенными. (Возможно, и первые цианобактерии использовали ту же фотосистему, которая мало чем отличается от их фотосистемы II, переключающейся при необходимости с расщепления воды на сероводород.) Так что кислород вполне закономерно не накапливался. Более того, аноксигенные фототрофы перехватили у цианобактерий поток азота, поступавшего в виде NO3— и NН4+ из глубин океана, и те, оставшись на голодном пайке, еще больше снизили свою продуктивность (азот жизненно необходим как основа аминокислот), а значит, упал и побочный выход кислорода. Не только океан остался закисным и сероводородным. Такая же обстановка складывалась в мелководных озерах, что предопределялось довольно низким уровнем кислорода в атмосфере. При невысокой, менее 0,02–0,2 %, концентрации этого газа не происходит окисление Cr3+ до Cr6+, сопровождающееся фракционированием изотопов — δ53Cr (53Cr/52Cr), и, как следствие, признаки такого процесса в палеопочвах того времени отсутствуют. С учетом всех приведенных показателей, в течение «скучного миллиарда» содержание кислорода в атмосфере вряд ли превышало 0,02 % (или 0,1 % от современного уровня). Кислород просто не мог накапливаться — огромные его объемы расходовались на окисление железа, содержавшегося в мафических породах на суше, а также урана, сульфидов, многих других элементов и соединений. Раннепротерозойская «кислородная оттепель» продлилась недолго. А наиболее твердым подтверждением бескислородных обстановок являются сами геологические породы. Например, для ранне- и мезопротерозойских морских отложений типичны структуры «коренных зубов» — причудливая система трещин в карбонатах, заполненных тонкими слойками изометричного морского цемента (рис. 13.1). Очевидно, что затвердевшие на дне осадки, скорее всего, растрескивались в результате подводных землетрясений. Почему же тогда «коренные зубы» сидят только в карбонатах определенного возраста, если Землю трясло всегда? Для уникальных явлений должны существовать не менее уникальные объяснения. Скажем, если по трещинам просачивался метан, то сульфатвосстанавливающие бактерии и метанокисляющие археи, предпочитавшие бескислородные условия, быстро заселяли образовавшиеся пустоты и, окисляя просачивавшийся газ, могли бы способствовать садке одной из нестабильных форм карбоната кальция — фатерита, магнезиального кальцита или арагонита: CH4 + SO42– → HCO3— + HS— + H2O. ![]() ![]() ![]() И как раз на дне протерозойского океана установились уникальные условия, где в бескислородной обстановке могли сосуществовать подобные микробные сообщества, оставившие еще один неизгладимый след своей жизнедеятельности — шурамскую углеродную аномалию возрастом 565–550 млн лет. Вади-Шурам — это один из богатых нефтью районов на востоке Омана. Здесь при нефтепоисковых работах, которые включают тщательные геохимические исследования, эту аномалию, достигающую –12‰ δ13C, и обнаружили (рис. 13.2л). Позже выяснилось, что резкий отрицательный сдвиг изотопной подписи присутствует в одновозрастных карбонатах повсеместно. Еще более удивительным оказалось то, что аномалия охватывала существенный временной интервал — около 8 млн лет. Для того чтобы рассчитать ее длительность, были использованы методы циклостратиграфии, позволяющие определить скорость накопления морских осадков (в данном случае — 0,05–0,08 м за 1000 лет) исходя из периодичности орбитальных циклов Земли. |
![Иллюстрация к книге — Сотворение Земли. Как живые организмы создали наш мир [i_026.jpg] Иллюстрация к книге — Сотворение Земли. Как живые организмы создали наш мир [i_026.jpg]](img/book_covers/095/95012/i_026.jpg)
![Иллюстрация к книге — Сотворение Земли. Как живые организмы создали наш мир [i_027.jpg] Иллюстрация к книге — Сотворение Земли. Как живые организмы создали наш мир [i_027.jpg]](img/book_covers/095/95012/i_027.jpg)
![Иллюстрация к книге — Сотворение Земли. Как живые организмы создали наш мир [i_028.jpg] Иллюстрация к книге — Сотворение Земли. Как живые организмы создали наш мир [i_028.jpg]](img/book_covers/095/95012/i_028.jpg)