Книга Чеширская улыбка кота Шрёдингера: мозг, язык и сознание, страница 72 – Татьяна Черниговская

Авторы: А Б В Г Д Е Ж З И Й К Л М Н О П Р С Т У Ф Х Ч Ш Ы Э Ю Я
Книги: А Б В Г Д Е Ж З И Й К Л М Н О П Р С Т У Ф Х Ц Ч Ш Щ Ы Э Ю Я
Бесплатная онлайн библиотека LoveRead.in

Онлайн книга «Чеширская улыбка кота Шрёдингера: мозг, язык и сознание»

📃 Cтраница 72

Таблица 1. Результат статистического теста Вилкоксона для сопряженных пар с включением значений времени реакции ошибочных ответов

Иллюстрация к книге — Чеширская улыбка кота Шрёдингера: мозг, язык и сознание [i_064.jpg]

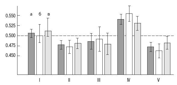
Для определения специализации полушарий мозга при восприятии стимулов были проанализированы соответствующие средние коэффициенты асимметрии, представленные на рис. 1. При этом обнаружилось достоверное доминирование правого полушария при предъявлении фраз II и V типов и левого полушария при предъявлении фраз IV типа. При анализе рис. 1 обращает на себя внимание отсутствие достоверных различий в средних значениях коэффициента асимметрии у различных групп испытуемых (мужчины и женщины). Однако в среднем у мужчин можно отметить относительное доминирование левого полушария при восприятии фраз, требующих определения логического ударения, в большей степени, чем у женщин. Наоборот, большее правополушарное доминирование у мужчин продемонстрировано для обработки эмоциональных интонаций и завершенных/незавершенных фраз. Таким образом, можно отметить, что на уровне тенденции у мужчин по сравнению с женщинами наблюдается более выраженная специализация полушарий при восприятии разных типов интонаций.

Иллюстрация к книге — Чеширская улыбка кота Шрёдингера: мозг, язык и сознание [i_065.jpg]

Рис. 1. Доминирование полушарий мозга при восприятии различных типов интонаций. Усредненные значения коэффициентов асимметрии (отложены по оси ординат) для разных групп испытуемых (а – все испытуемые, б – мужчины, в – женщины) без учета ошибочных реакций. По оси абсцисс представлены различные интонационные типы фраз: I – коммуникативные фразы; II – завершенные/незавершенные высказывания; III – фразы с различным синтагматическим членением; IV – высказывания с различным логическим ударением; V – предложения, требующие определения качества эмоции. Изображен 95 %-ный доверительный интервал для соответствующих значений среднего коэффициента асимметрии. Коэффициент асимметрии, превышающий значение 0,5, указывает на преимущество правого уха (левого полушария)


Некоторые авторы склонны усматривать более определенную тенденцию к латерализации вербальных и пространственных способностей у мужчин и к билатеральному представительству обоих типов у женщин [Borod et al. 1983; Дмитриева, Зайцева, Морозов, 1988]. Имеются и другие данные, свидетельствующие о большей левополушарной латерализации у женщин по сравнению с мужчинами, продемонстрировавшими то же направление асимметрии восприятия, но в меньшей степени при выполнении дихотического теста по восприятию слов [Hiscock, Hiscock, 1988]. Существуют работы, не согласующиеся с заключениями о различии между полами в латерализации функций [Herrero, Hillix, 1990; Strauss, Wada, 1983]. Однако при исследовании восприятия коммуникативных типов предложений русского языка было обнаружено достоверное правополушарное преимущество у мужчин и левополушарное преимущество у женщин [Chernigovskaya, Svetozarova, Tokareva, 1995].

В настоящей работе наиболее яркие результаты получены для эмоциональных интонаций, завершенных/незавершенных предложений (преимущество правого полушария) и для предложений с различным логическим ударением (преимущество левого полушария). Восприятие эмоций, как и ожидалось, осуществляется с преимущественным участием правого полушария. Это было показано также и многими другими авторами, что, в частности, подтверждает адекватность нашей методики.

Так, исследования, проведенные как на здоровых, так и на больных с локальными поражениями головного мозга, в значительной степени подтверждают факт доминирования правого полушария в восприятии интонаций эмоционального типа [Ley, Bryden, 1982; Saxby, Bryden, 1984; Bowers et al. 1987; Schmitt, Hartje, Willmes, 1997]. В экспериментах Е. Росс с соавторами по исследованию способности пациентов с односторонними поражениями мозга к пониманию и повторению аффективных интонаций в условиях снижения речевой активности и ухудшения артикуляции были получены результаты, подтверждающие предположение о четкой латерализации аффективной просодики в правом полушарии [Ross, Thompson, Yenkosky, 1997]. В работах И. Тонконогого, А. Бескадарова и др. показано, что наличие очаговой патологии височных отделов мозга, преимущественно в правом полушарии, влияет на узнавание предъявляемых в тестах эмоциональных интонаций [Тонконогий, 1978].

В дихотических исследованиях на здоровых испытуемых был продемонстрирован эффект лучшего различения интонаций грусти и радости при предъявлении стимулов на левое ухо по сравнению с правым [Herrero, Hillix, 1990].

Литературные данные, касающиеся восприятия лингвистической просодики, достаточно противоречивы. В экспериментах Т. Лаке с соавторами было продемонстрировано правополушарное превосходство в отношении эмоциональных интонаций, а для фраз, которые авторы относят к лингвистической просодике (утверждение и вопрос), асимметрии восприятия выявлено не было [Luks, Nusbaum, Levy, 1998].

Результаты исследований Ф. Шипли-Браун с соавторами [Shipley-Brown, Dingwall, Berlin, 1988] показали преимущество левого уха (правого полушария) при определении как эмоциональной, так и лингвистической просодики.

Преимущество правого уха (левого полушария) при восприятии квазифраз, состоящих из бессмысленных слогов, произносимых со свойственной английскому языку интонацией или монотонно, как список слов, продемонстрировано в экспериментах, проведенных Е. Цуриф с соавторами [Zurif, Mendelson, 1970; Zurif, Sait, 1972]. В серии работ М. Пелл и С. Б. Баум, посвященной возможностям пациентов с односторонними поражениями мозга воспринимать и понимать речевые интонации, было показано, что, хотя сторона повреждения нисколько не влияла на способность к восприятию эмоциональных интонаций, лингвистические интонации воспринимались значительно хуже в группе пациентов с поражением левого полушария. Исследователями отмечены качественные различия в способностях пациентов к различению лингвистической просодики [Pell, Baum 1997a; Pell, Baum 1997b].

В экспериментах Т. Черниговской с соавторами было продемонстрировано преимущество правого полушария в восприятии не только эмоциональной просодики, но также и некоторых лингвистических типов интонаций. Однако для большинства лингвистических типов было выявлено левополушарное преимущество [Chernigovskaya, Svetozarova, Tokareva1995; Chernigovskaya, 1992]. В настоящей работе был применен тот же подход к рассмотрению лингвистических интонаций с делением их на подтипы, дополненный более детальным рассмотрением каждого из них.

Достоверное преимущество правого полушария было выявлено при восприятии завершенных/незавершенных предложений. По-видимому, объяснить это можно тем, что восприятие предложений, противопоставленных по завершенности/незавершенности, ближе к целостному.

При обработке предложений с различным синтагматическим членением испытуемый также оперирует элементами – синтагмами, которые можно считать цельными, составляющими при этом более сложную структуру. Однако в нашей работе данных по этому типу оказалось недостаточно для формулирования четких выводов, что потребует проведения дальнейших экспериментов.

Вход
Поиск по сайту
Ищем:
Календарь