Книга Чеширская улыбка кота Шрёдингера: мозг, язык и сознание, страница 61 – Татьяна Черниговская

Авторы: А Б В Г Д Е Ж З И Й К Л М Н О П Р С Т У Ф Х Ч Ш Ы Э Ю Я
Книги: А Б В Г Д Е Ж З И Й К Л М Н О П Р С Т У Ф Х Ц Ч Ш Щ Ы Э Ю Я
Бесплатная онлайн библиотека LoveRead.in

Онлайн книга «Чеширская улыбка кота Шрёдингера: мозг, язык и сознание»

📃 Cтраница 61

На рис. 1 представлены результаты обработки классификаций лексического материала. В контроле, когда функционируют оба полушария, больные пользуются разными принципами: одни ориентируются на внутриязыковые отношения, другие – на референтные, многие не могут четко провести ни один принцип или принцип классификации не ясен (возможны сочетания всех тестовых слов друг с другом). Это отражено в низких уровнях связи и слиянии всех элементов в дерево на дендрограмме.

В условиях угнетения деятельности того или иного полушария поведение тех же больных расслаивается. Изолированно функционирующее левое полушарие в этом тесте использует метаязыковой подход. Наиболее сильные связи обнаруживаются между синонимами и антонимами разных типов (см. графы связей).

Обращает на себя внимание, например, сильная связь между словами «A2 глупый» и «NA2 неглупый»: такое сочетание однозначно подразумевает метаязыковой подход к классификации. Поскольку при использовании такого подхода к классификации возможны самые разнообразные объединения слов, дендрограмма, как можно видеть на рисунке, представляет собой дерево.

Правое полушарие проводит классификацию иначе: оно формирует «портрет», составленный из положительных и отрицательных слов-характеристик: «плохой, глупый, нехороший, неумный» и «хороший, умный, неплохой, неглупый». Таким образом, оно ориентируется не на собственно языковые связи между элементами внутри каждой группы, а на референт. И графы, и дендрограммы ясно демонстрируют высокий уровень связи внутри каждой из групп и отсутствие связей между положительными и отрицательными «портретами» – графы представляют собой отдельные и замкнутые на себя фигуры, а дендрограмма распадается.

Анализ классификаций грамматического материала (утвердительных конструкций) демонстрирует рис. 2. И в этом тесте больные в контроле используют разные принципы классификации. Наблюдается как смешение принципов у одного и того же человека, так и разные ориентации у разных людей. Ориентация на «содержание» крайне затруднена (то есть ослаблено понимание грамматики). Такое смешение принципов находит отражение в графах и дендрограмме.

Те же больные в условиях, когда активно левое полушарие, а правое угнетено, ведут себя в эксперименте совершенно иначе. Они успешно справляются с трансформационным анализом и классифицируют фразы с конечной ориентацией на содержание. В этом состоянии наблюдаются и собственно метаязыковые классификации (по залогу: отдельно активы, отдельно пассивы, по порядку слов отдельно прямые конструкции, отдельно инвертированные). При этом больные могут предлагать и несколько разных классификаций: адекватную содержанию, что показывает способность к анализу, и, после этого, – дополнительные, метаязыковые («можно еще и так»). На этом фоне удивляют затруднения левого полушария при анализе, казалось бы, самых простых конструкций – прямых активов: обе исходные конструкции могут оказаться в одной группе при адекватно понятых других предложениях. Даже прямое указание экспериментатора на имеющееся несоответствие («одно из предложений к этой группе не подходит») не всегда приводит к исправлению. Отражение этих затруднений можно видеть на дендрограммах: фразы A1 и B1 присоединяются к остальным конструкциям на самых низких уровнях связи. В целом и графы, и дендрограммы показывают, что принцип ориентации на метаязыковые процедуры и через них на содержание фраз проводится левым полушарием очень четко (см. замкнутые фигуры графов и соответствующее распадение дендрограммы).

Правое полушарие, напротив, оказывается неспособным к такой классификации. Большей частью оно объединяет тестовые фразы, ориентируясь на первое имя в предложении: в одну группу попадают все фразы, начинающиеся с имени «Ваня», в другую – с имени «Петя». Как видно на рисунке, граф представляет собой фигуру с явными связями по принципу имени. Дендрограмма также четко показывает наличие наиболее тесных связей между фразами, объединенными по имени. Однако, поскольку этот принцип используется не всегда и возможны иные сочетания, на низком уровне достоверности дендрограмма сливается в дерево. При просьбах расклассифицировать иначе, чем «по имени», больные отказываются, говорят, что «все разное». Наблюдались случаи, когда делались попытки выяснить роли участников ситуации с помощью интонации или усечением трехчленного актива до двухчленного («Ваня побит»).

На рис. 3 демонстрируется анализ классификаций исходных и негативных конструкций. В контроле доминирует принцип «отдельно-исходные, отдельно-негативные». Тот же принцип характерен и для левого полушария. Правое полушарие ведущего принципа не обнаруживает: дендрограмма никаких связей не выявляет, соответственно, не может быть построен и граф. Это говорит о том, что если для правого полушария в таком задании отрицательная трансформация не является ориентиром для классификации, то для левого выделение негативации указывает на метаязыковой подход к тексту.

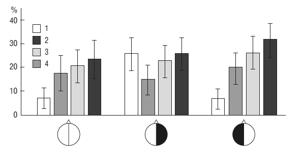
Особый интерес, на наш взгляд, представляют результаты анализа идентификаций тестовых фраз с картинками. Рисунок 4 показывает количество ошибочных идентификаций каждой из конструкций.

Иллюстрация к книге — Чеширская улыбка кота Шрёдингера: мозг, язык и сознание [i_055.jpg]

Рис. 4. Ошибки идентификации фраз. 1 – активные конструкции с прямым порядком слов; 2 – активные конструкции с обратным порядком слов; 3 – пассивные конструкции с прямым порядком слов; 4 – пассивные конструкции с обратным порядком слов. По вертикали % ошибочных идентификаций (приведены средние арифметические и квадратичные ошибки средних). Схемы внизу, как на рис. 1


В контроле наибольшие трудности вызывают сложные грамматические конструкции (инвертированные актив и пассив и прямой пассив). Идентификация прямого актива сложности не представляет. Такое же распределение ошибок характерно для правого полушария. Примечательно, что и при идентификации оно может подкладывать фразы к соответствующей картинке с ориентацией на первое имя в предложении.

Иное распределение ошибок характеризует деятельность левого полушария: наибольшие трудности наблюдаются именно при идентификации прямых активов. Количество ошибок по сравнению с идентификациями в контроле и правым полушарием достоверно возрастает. Напротив, сложные конструкции идентифицируются левым полушарием легче. Это находится в полном соответствии с результатами классификаций; напомним, что у левого полушария наблюдались трудности с прямым активом. Следует отметить, что левое полушарие никогда не пользуется в идентификациях принципом первого имени.

Таким образом, полученные данные дают основания говорить о разной роли полушарий мозга в организации языковой способности человека. Для правого полушария важен референт, а не внутриязыковые отношения. При классификации слов оно составляет «портрет», игнорируя возможные формальные принципы. В грамматических тестах оно ориентируется на первое в предложении имя. При идентификации фраз с картинками оно более всего затрудняется в анализе пассивов и инвертированных конструкций и также может пойти по пути идентификации по имени. Анализ ошибочных идентификаций фраз дает возможность говорить о следующей иерархии сложности грамматических конструкций для правого полушария (по нарастанию сложности): прямой актив, инвертированный пассив, прямой пассив, инвертированный актив (рис. 4).

Вход
Поиск по сайту
Ищем:
Календарь