Онлайн книга «Восемь этюдов о бесконечности. Математическое приключение»
|
Получился парадокс. Один из способов разрешения этого парадокса – отметить, что свойство «число, которое невозможно определить с использованием конечного количества слов» не является свойством, которое можно определить на математическом языке. Чтобы развить эту идею, рассмотрим тот же парадокс с другой точки зрения. Представим себе, что в словаре содержится всего пять слов, например: «бор», «вор», «мор», «сор» и «тор». Более чем вероятно, что при наличии такого ограничения мы не смогли бы говорить ни на какую тему, требующую слов, не входящих в эту пятерку. Например, мы не смогли бы обсуждать континуум-гипотезу и уж тем более разговаривать о возможных противоречиях между разными физическими теориями. Любая система символической логики (в том числе и математика) содержит набор формул. Слово «формула» используется здесь не в сравнительно узком математическом смысле. Его следует понимать гораздо более широко: под формулой мы можем понимать символ, слово, выражение, фразу, определение – все то, что мы используем для выражения идей. Поскольку между множеством формул и множеством натуральных чисел существует одно-однозначное соответствие, ясно, что мощность множества формул равна ℵ0. Если это так, как можно обсуждать вещественные числа? Мощность их множества больше ℵ0. Из этого следует, что должны существовать вещественные числа, которые невозможно описать формулами. В этом контексте интересно отметить, что американский математик и философ Чарльз Пирс, которого мы уже упоминали, также открыл, причем независимо от Кантора, что установить соответствие между числами натуральными и числами вещественными невозможно. Однако, в отличие от Кантора, Пирс не стал продолжать исследования в этом направлении. Вместо этого он решил, что вещественные числа не существуют в завершенном виде, и то, что мы можем сказать о них, не слишком важно. О чем невозможно говорить, о том следует молчать [58]. Людвиг Витгенштейн Вычислимые числа
ОПРЕДЕЛЕНИЕ Вещественное число называется вычислимым, если существует некоторый алгоритм, при помощи которого можно получить десятичное представление этого числа с любой заданной точностью. Рациональные числа вычислимы, потому что их десятичное представление либо конечно, либо бесконечно, но периодично и получается при помощи старой доброй операции деления. Число 0,232233222333222… также вычислимо, потому что можно легко найти его десятичное представление любой длины. Примечание: это число не рационально! Не хотите ли доказать это утверждение? Алгебраические числа также вычислимы, потому что существуют разные методы решения любого уравнения вида ![]() и определения его корней с любой точностью, какой только можно пожелать. А кроме того, есть числа, не принадлежащие ни к одной из названных категорий, но все равно вычислимые. Два из них – числа π и e. Что такое π?
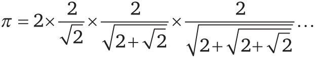
Десятичное представление иррационального числа π бесконечно, никогда не повторяется и не имеет алгебраической формулы. Тем не менее и это число вычислимо. Еще Архимед знал о существовании алгоритма, позволяющего получить десятичное представление π со всевозрастающей точностью. Этот алгоритм был основан на построении правильных многоугольников с n вершинами, вписанных в окружность. По мере стремления n к бесконечности форма такого многоугольника стремится к окружности. В 1593 г. французский математик Франсуа Виет нашел замечательную формулу для вычисления π при помощи набора вложенных радикалов {33}. ![]() Помимо исключительной внутренней красоты этой формулы в ней есть еще один чрезвычайно важный элемент – стоящее в ее конце многоточие, которое означает «продолжать ту же процедуру до бесконечности». Трудно поверить, но это был первый случай, когда бесконечный процесс был явно обозначен в математической формуле. Это напоминает мне одну историю о Людвиге Витгенштейне: он, как рассказывают, предлагал слушателям своих лекций вообразить человека, который бормотал на ходу: «…5, 1, 4, 1, запятая, 3 – всё!» Когда этого человека спросили, что это такое он делает, он ответил, что только что закончил перечисление десятичного представления числа π от конца к началу, чем занимался до этого целую вечность. Эта история кажется гораздо более абсурдной, чем рассказ о человеке, который решил сесть и записать десятичное представление π от начала до конца – и будет заниматься этим вечно. Почему? Но вернемся к числу π. Интересно отметить, что многие другие помимо Архимеда и Виета пытались вычислить десятичное представление числа π, и все эти попытки в конце концов приводили к нескончаемым столбцам или нескончаемым операциям умножения. Однако в 1656 г. английский математик Джон Валлис открыл следующую формулу: ![]() Если попарно перемножить последовательные сомножители, формулу можно записать в следующем виде: ![]() Это бесконечное равенство действительно да- ет все следующие и следующие цифры десятичного представления π. Интересно отметить, что именно Джон Валлис впервые использовал в 1655 г. символ бесконечности ∞ (по правде говоря, в своей работе о вычислении площадей под названием «О конических сечениях» (De sectionibus conicis) он использовал выражение 1/∞). В 1671 г. шотландский математик и астроном Джеймс Грегори предложил еще одну формулу для вычисления π в виде бесконечной суммы: ![]() |
![Иллюстрация к книге — Восемь этюдов о бесконечности. Математическое приключение [i_113.jpg] Иллюстрация к книге — Восемь этюдов о бесконечности. Математическое приключение [i_113.jpg]](img/book_covers/094/94808/i_113.jpg)
![Иллюстрация к книге — Восемь этюдов о бесконечности. Математическое приключение [i_114.jpg] Иллюстрация к книге — Восемь этюдов о бесконечности. Математическое приключение [i_114.jpg]](img/book_covers/094/94808/i_114.jpg)
![Иллюстрация к книге — Восемь этюдов о бесконечности. Математическое приключение [i_115.jpg] Иллюстрация к книге — Восемь этюдов о бесконечности. Математическое приключение [i_115.jpg]](img/book_covers/094/94808/i_115.jpg)
![Иллюстрация к книге — Восемь этюдов о бесконечности. Математическое приключение [i_116.jpg] Иллюстрация к книге — Восемь этюдов о бесконечности. Математическое приключение [i_116.jpg]](img/book_covers/094/94808/i_116.jpg)
![Иллюстрация к книге — Восемь этюдов о бесконечности. Математическое приключение [i_117.jpg] Иллюстрация к книге — Восемь этюдов о бесконечности. Математическое приключение [i_117.jpg]](img/book_covers/094/94808/i_117.jpg)