Онлайн книга «Восемь этюдов о бесконечности. Математическое приключение»
|
Еще одно (приятное) доказательство несчетности всех чисел на отрезке [0,1]
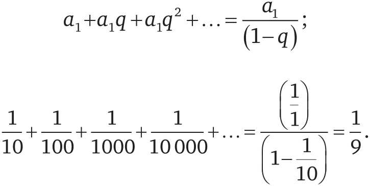
Предположим, что верна противоположная гипотеза: все точки отрезка [0,1] можно пересчитать. Из этого следует, что все эти точки можно расположить в некотором последовательном порядке – {p1, p2, p3, p4…}. Чтобы доказать (или опровергнуть) эту гипотезу, возьмем вокруг центральной точки p1 отрезок длиной, скажем, 1/10, вокруг точки p2 – отрезок длиной 1/100, вокруг точки p3 – отрезок длиной 1/1000 и так далее. Поскольку все точки, содержащиеся на отрезке [0,1], попадают по меньшей мере на один из этих отрезков (вспомним, что в множестве {p1, p2, p3, p4…} были перечислены все числа, расположенные между 0 и 1), мы получаем множество, покрывающее весь отрезок [0,1]. А также можно сложить длины всех этих отрезков. В соответствии с формулой для бесконечной геометрической прогрессии: ![]() Нам удалось, так сказать, покрыть все точки отрезка числовой прямой [0,1] интервалами, суммарная длина которых составляет всего лишь 1/9. Но это, очевидно, невозможно, так как длина исходного отрезка числовой прямой равна 1. Таким образом, мы пришли к противоречию. Вывод: Составить последовательность из всех точек, находящихся между 0 и 1, невозможно. Другими словами, это множество несчетно. Поскольку рациональные числа образуют счетное множество, все рациональные числа, содержащиеся на отрезке [0,1], можно обработать определенным образом. Как? Окружая их отрезками так, чтобы суммарная длина этих отрезков не превышала 1/9. Из этого следует, что рациональные числа в сумме составляют не более 1/9 всех чисел, существующих между 0 и 1. Однако этот верхний предел можно уточнить. Предположим теперь, что рациональные числа, находящиеся на отрезке [0,1], располагаются следующим образом: {q1, q2, q3, q4…}. Возьмем вокруг точки q1 интервал длиной 1/1000, вокруг точки q2 – интервал длиной 1/10 000, вокруг точки q3 – интервал длиной 1/100 000 и так далее. Тогда суммарная длина всех таких интервалов будет равна ![]() Очевидно, длину суммарного интервала, охватывающего все рациональные числа на отрезке [0,1], можно уменьшать и дальше, получая эту суммарную длину сколь угодно малой. Множество, которое покрывается счетным объединением интервалов, суммарная длина которых меньше любого заранее определенного значения, называется множеством нулевой меры. Все истинные положения легко понять после того, как они найдены; суть в том, чтобы их найти [51]. Галилео Галилей Математика – самое прекрасное и самое могущественное произведение человеческого духа. Стефан Банах О радость! Никто не равнее других
Как я уже отмечал, мощность множества всех вещественных чисел – как рациональных, так и иррациональных, – расположенных между 0 и 1, обозначается символом ℵ и называется мощностью континуума. В отрезке от 0 до 1 нет ничего особенного. Его длина равна единице, но мощность любого другого отрезка – тоже ℵ. Легко видеть, что любые два отрезка равномощны, то есть существует одно-однозначное и сюръективное соответствие между любым отрезком AB и множеством точек другого отрезка, CD. Наглядно представить такое соответствие поможет следующая подсказка: ![]() Подсказка не помогла? Тогда вот решение. Как показано на приведенном ниже чертеже, для каждой точки на отрезке АВ можно найти соответствующую ей точку на отрезке CD. ![]() Ясно, что каждая конкретная точка более короткого отрезка, АВ, может быть соединена с разными точками отрезка CD. Получается одно-однозначное соответствие. Так же ясно, что для каждой точки отрезка CD можно найти соответствующую ей точку отрезка АВ. Для этого нужно всего лишь провести прямую, соединяющую точку на отрезке CD с вершиной треугольника, и найти точку ее пересечения с отрезком AB. Это дает сюръективное соответствие. Поскольку нам удалось образовать пары из всех точек двух отрезков разной длины, значит, они должны иметь одинаковую мощность – следовательно, мощность континуума, то есть ℵ. А вот утверждение, которое может показаться еще более странным. Можно (сходным образом) доказать, что мощность любого отрезка прямой равна мощности бесконечного луча. Приведенный ниже чертеж иллюстрирует эту идею в самом общем виде. Если вы внимательно посмотрите на нее, то, я уверен, сообразите, как построить соответствие между конечным отрезком и бесконечным лучом. ![]() Это означает, что и отрезок прямой длиной один миллиметр, и отрезок прямой длиной миллиард километров, и даже бесконечный отрезок прямой содержат равное «количество» точек. Этот результат может показаться менее удивительным, если вспомнить, что у точки на самом деле нет ни длины, ни площади, ни объема. Зенон спросил бы, как эти «бездлинные» точки могут образовывать прямую длиной 107 «чего-нибудь» или даже бесконечный луч. Если отойти от простых прямых, лучей и отрезков, Кантор доказал также, что существует одно-однозначное и сюръективное соответствие между точками отрезка прямой и точками квадрата или куба! Что еще удивительнее и невероятнее, Кантор доказал существование одно-однозначного и сюръективного соответствия между бесконечной прямой и n-мерным пространством (для любого n!). Открою вам секрет: это открытие оказалось чрезмерно радикальным даже для самого Кантора. Вот как он отозвался о нем: «Je le vois, mais je ne le crois pas!» – «Вижу, но не верю!» Сменим тему
Возможно, вы помните, что, дав выше определение алгебраических чисел, я отметил, что числа, не относящиеся к алгебраическим, называются трансцендентными. Исходя из нашего открытия, что мощность множества вещественных чисел выше мощности множества чисел алгебраических, по-видимому, можно предсказать, что трансцендентные числа существуют, то есть что имеются числа, не являющиеся корнями выражений типа |
![Иллюстрация к книге — Восемь этюдов о бесконечности. Математическое приключение [i_103.jpg] Иллюстрация к книге — Восемь этюдов о бесконечности. Математическое приключение [i_103.jpg]](img/book_covers/094/94808/i_103.jpg)
![Иллюстрация к книге — Восемь этюдов о бесконечности. Математическое приключение [i_104.jpg] Иллюстрация к книге — Восемь этюдов о бесконечности. Математическое приключение [i_104.jpg]](img/book_covers/094/94808/i_104.jpg)
![Иллюстрация к книге — Восемь этюдов о бесконечности. Математическое приключение [i_105.jpg] Иллюстрация к книге — Восемь этюдов о бесконечности. Математическое приключение [i_105.jpg]](img/book_covers/094/94808/i_105.jpg)
![Иллюстрация к книге — Восемь этюдов о бесконечности. Математическое приключение [i_106.jpg] Иллюстрация к книге — Восемь этюдов о бесконечности. Математическое приключение [i_106.jpg]](img/book_covers/094/94808/i_106.jpg)
![Иллюстрация к книге — Восемь этюдов о бесконечности. Математическое приключение [i_107.jpg] Иллюстрация к книге — Восемь этюдов о бесконечности. Математическое приключение [i_107.jpg]](img/book_covers/094/94808/i_107.jpg)