Книга 99 секретов физики, страница 2 – Валерия Черепенчук

Авторы: А Б В Г Д Е Ж З И Й К Л М Н О П Р С Т У Ф Х Ч Ш Ы Э Ю Я
Книги: А Б В Г Д Е Ж З И Й К Л М Н О П Р С Т У Ф Х Ц Ч Ш Щ Ы Э Ю Я
Бесплатная онлайн библиотека LoveRead.in

Онлайн книга «99 секретов физики»

📃 Cтраница 2

Николай Кузанский, следом за античными авторами, считал, что зола аналогична «первовеществу» земли. Вычитая из первоначального веса деревянного бруска вес золы, ученый утверждал, что разница будет равна весу «испарившейся» воды. Наивно? Для нас – да. Но первые эксперименты, без которых ныне невозможно представить науку, были именно такими.

№ 6
Спор через века: Аристотель и Галилей

Итальянский физик и астроном Галилео Галилей (1564–1642) был известен как неутомимый пропагандист гелиоцентрической системы Коперника. К немалому списку его собственных заслуг относятся первое наблюдение в телескоп планеты Сатурн, открытие спутников Юпитера, гор на Луне и пятен на Солнце, изобретение термометра, исследование периодов колебания маятников.

В отличие от Аристотеля, утверждавшего, что тяжелые тела падают быстрее, чем легкие, Галилей считал, что при отсутствии сопротивления воздуха тела будут падать с одинаковым ускорением независимо от их массы. Опровергал он и другой тезис древнегреческого мыслителя – о том, что движение происходит, лишь пока имеется сила, «побуждающая» его. По мнению Галилея, в отсутствие каких-либо внешних сил тело будет либо покоиться, либо равномерно двигаться. Это заявление вошло в физическую науку как закон инерции.

Иллюстрация к книге — 99 секретов физики [i_003.jpg]

Фронтиспис «Диалога о двух главнейших системах мира», 1635


Также, утверждал Галилей, в условиях свободного падения тела (когда на него действует только сила тяжести) ускорение будет постоянным, скорость будет нарастать пропорционально времени. Согласно легенде, Галилей сбрасывал с вершины Пизанской башни предметы разной массы, замеряя скорость их падения. На самом же деле он пользовался более компактным инструментарием наподобие деревянных желобов и скатывавшихся по ним шаров. Галилей обратил внимание, что скорость шарика, катящегося по наклонной плоскости, никак не зависит от угла наклона, но напрямую зависит от высоты, с которой шарик покатился. Масса же его роли не играет.

Бог не менее открывается нам в явлениях природы, нежели в речах Священного писания. – Галилео Галилей

№ 7
Яблоко упало. А дальше? Закон всемирного тяготения

История о том, как яблоко, упавшее на голову великому ученому Исааку Ньютону (1643–1727), спровоцировало очередное открытие, известна многим. Но в чем суть этого открытия?

Задолго до Ньютона ученый мир задавался вопросами: почему планеты, движущиеся по своим орбитам, строго соблюдают порядок и не разлетаются хаотично в разные стороны? Почему предметы, подброшенные вверх, неизменно падают на землю? Чем обусловлены эти закономерности?

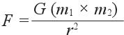
И еще в начале XVI столетия (например, Коперником) были высказаны предположения о существовании некоей божественной силы, от которой зависят форма планет и их взаимное расположение. Ньютон не просто обосновывает идею о том, что все небесные тела обладают способностью притяжения, но и сводит все теории к логичной и доступной формуле. Итак, закон всемирного тяготения Ньютона звучит следующим образом: «Сила гравитационного притяжения между двумя материальными точками массы m1 и m2, разделенными расстоянием r, пропорциональна обеим массам и обратно пропорциональна квадрату расстояния между ними»:

Иллюстрация к книге — 99 секретов физики [i_004.jpg]

При этом G – так называемая гравитационная постоянная, равная 6,67384(80)10–11 м3/(кг с2).

Таким образом, зная массы тел и расстояние между ними, мы можем вычислить действующую на них силу притяжения! Но, конечно, более или менее заметна она будет лишь в отношении тел большой массы.

Гений – это терпение мысли, сосредоточенной в известном направлении. – Исаак Ньютон

Гравитация определяет высоту возвышенностей на планете. Поэтому земные горы не могут быть выше 15 километров.

№ 8
«Давящая атмосфера». Торричелли и его изыскания

В древности Аристотель утверждал: воздух не имеет веса. Но в XVII столетии ученик Галилея Эванджелиста Торричелли (1608–1647) доказал обратное!

Ему не давал покоя вопрос: почему в механизмах, оснащенных насосами, вода поднимается лишь до определенной высоты?

В 1644 году был поставлен опыт, вошедший во все учебники физики: в стеклянную трубочку длиной около метра была налита ртуть. Исследователь, «заткнув» пальцем открытый конец трубки, опустил его в наполненный ртутью сосуд и открыл отверстие. Ничто не препятствовало веществу вытекать из трубки, но уровень ртутного столба застыл на отметке 760 миллиметров. Стало очевидно, что окружающий нас воздух имеет вес: он давит на поверхность жидкости в сосуде и мешает выливаться той ее части, которая находится в трубке.

№ 9
Рождение света: версии от Ньютона до ХХ века

Что такое свет? Как и почему он возникает? – эти вопросы волновали еще античных исследователей. Но систематическое изучение природы света началось только в XVII столетии.

Исаак Ньютон выступил с так называемой корпускулярной теорией света, заявив, что свет состоит из крошечных частичек, которые испускает светящееся тело. Когда эти частички (или корпускулы) попадают в наш глаз, это заставляет нас увидеть источник света. Также, по мнению Ньютона, корпускулы имеют разные размеры. И в зависимости от того, какие корпускулы – большие или помельче – попали в глаз, мы увидим тот или иной цвет.

Почти одновременно с работами Ньютона вышел «Трактат о свете» голландского физика Христиана Гюйгенса (1629–1695), в котором утверждалось: свет – волновое явление. В окружающем «эфире» распространяются упругие импульсы: свет есть подобие электромагнитной волны.

Иллюстрация к книге — 99 секретов физики [i_005.jpg]

Корпускулы или волны?


Об электромагнитной природе света писал Дж. Максвелл (1831–1879), а Х. Лоренц (1853–1928) утверждал, что электроны, являющиеся составной частью атомов, могут как поглощать, так и испускать свет. В самом начале ХХ века М. Планк (1858–1947) и А. Эйнштейн (1879–1955) обосновали квантовую теорию, согласно которой вещество излучает свет порциями, или квантами. В сегодняшней науке победила версия, согласно которой корпускулярная и волновая теории вполне могут быть совмещены.

А скорость света впервые измерил датский астроном Оле Рёмер (1644–1710): по его расчетам, она составляла около 220 000 км/с (современные данные несколько иные – около 300 000 км/с.)

Основная философская ценность физики в том, что она дает мозгу нечто определенное, на что можно положиться. – Дж. Максвелл

Вход
Поиск по сайту
Ищем:
Календарь