Книга Интервальное голодание. Как восстановить свой организм, похудеть и активизировать работу мозга, страница 47 – Джимми Мур, Джейсон Фанг

Авторы: А Б В Г Д Е Ж З И Й К Л М Н О П Р С Т У Ф Х Ч Ш Ы Э Ю Я
Книги: А Б В Г Д Е Ж З И Й К Л М Н О П Р С Т У Ф Х Ц Ч Ш Щ Ы Э Ю Я
Бесплатная онлайн библиотека LoveRead.in

Онлайн книга «Интервальное голодание. Как восстановить свой организм, похудеть и активизировать работу мозга»

📃 Cтраница 47

Выведение мочевой кислоты с мочой уменьшается во время поста, и из-за этого уровень мочевой кислоты в крови повышается. Теоретически это может вызвать обострение подагры. Исследование сорока двух пациентов с ожирением показало, что во время голодания у них у всех повысился уровень мочевой кислоты, но подагра ни у кого не появилась.

Большинство пациентов, болевших подагрой, переносят голодание без особых сложностей. Тем не менее важно знать о возможных рисках, и, если у вас есть сомнения, посоветуйтесь с врачом, прежде чем начать голодание.


Вы принимаете лекарства


Если вы регулярно принимаете лекарственные препараты от любых заболеваний, вам необходимо проконсультироваться с врачом, прежде чем начинать любую диету или программу голодания. Некоторые препараты нужно принимать с едой, а во время голодания это по очевидным причинам невозможно. Чаще всего сложности возникают с такими распространёнными лекарствами, как аспирин, метформин и препараты железа и магния. Но зачастую режим голодания можно подстроить под приём этих лекарств.

Аспирин часто применяется для разжижения крови у людей с сердечно-сосудистыми заболеваниями. Один из распространённых побочных эффектов – гастрит, раздражение слизистой оболочки желудка. В серьёзных случаях он может привести к образованию язвы желудка и тонкого кишечника. Чтобы избежать этих осложнений, аспирин часто принимают с пищей. Многие производители покрывают таблетки аспирина защитной оболочкой, чтобы защитить желудок, но риск развития гастрита и язв только снижается, а не исчезает полностью. Приём аспирина без пищи повышает риск раздражения желудка.

Метформин – самое распространённое в мире рецептурное лекарство от диабета 2-го типа. Этот препарат, снижающий сахар в крови, известен с 1950-х годов и также часто используется для лечения синдрома поликистозных яичников. Главный побочный эффект – расстройство желудочно-кишечного тракта, которое на пустой желудок может быть ещё сильнее. Его самые частые симптомы – диарея и тошнота или рвота.

Препараты железа в таблетках используются для лечения малокровия из-за хронической кровопотери, также известного как железодефицитная анемия. Например, у многих женщин бывают обильные месячные, что приводит к потере железа. Среди распространённых побочных эффектов железа – запор и боли в животе. Голодание может их усиливать.

Магний – это минерал, который запасается в основном в костях. В качестве пищевой добавки его часто принимают при судорогах в ногах, мигренях и синдроме беспокойных ног. Также он применяется как антацид и слабительное. Препараты магния для приёма внутрь часто плохо всасываются, что приводит к диарее. Приём магния с пищей снимает эти симптомы. Низкий уровень магния при диабете 2-го типа встречается достаточно часто.

Аспирин, который применяют для разжижения крови, вызывает воспаление слизистой оболочки желудка – гастрит.

В качестве альтернативы магний можно применять наружно, в виде раствора кристаллов сульфата магния, или английской соли. Полную чашку соли следует растворить в тёплой ванне и принимать эту ванну в течение тридцати минут. Магний впитается в кожу. Это традиционный метод лечения многих проблем, в том числе мышечных судорог, запора и проблем с кожей. Существуют также масло и гель с магнием для наружного применения.


У вас диабет


Если у вас диабет 1-го или 2-го типа, следует быть очень осторожным при голодании и даже при изменении диеты. Особенно это важно, если вы принимаете лекарства. Если вы продолжите соблюдать дозировку, но уменьшите количество пищи, есть риск, что сахар у вас в крови упадёт слишком низко и вызовет гипогликемию.

В число симптомов гипогликемии входят дрожь, потливость, раздражительность или нервозность, слабость, голод и тошнота. Более серьёзные симптомы – спутанность сознания, бред и судороги. Без лечения гипогликемия может даже привести к смерти. Симптомы появляются очень быстро, и, если они появились, вам нужно быстро выпить чего-то сладкого или что-то съесть, чтобы снять опасное для жизни состояние.

Прежде чем начинать любую программу питания, вы должны побеседовать с врачом, чтобы определить дозировку лекарств от диабета или инсулина. Жизненно важно внимательно следить за уровнем сахара в крови. Если вы не можете этого сделать, то не начинайте голодание (см. стр. 164, чтобы узнать больше о голодании при диабете).

У вас гастроэзофагеальный рефлюкс


При гастроэзофагеальном рефлюксе (ГЭР), известном как изжога, желудочный сок попадает в пищевод, повреждая чувствительные ткани. Это ощущается как тупая боль в нижней части груди или верхней части живота, которая усиливается в положении лёжа. Ощущение часто описывается как «содержимое желудка пытается пойти обратно».

Избыточный абдоминальный жир усиливает давление на желудок и вынуждает пищу и желудочный сок попадать обратно в пищевод. Во время голодания это состояние может ухудшаться, поскольку в желудке нет ничего, что впитало бы кислоту (это немного грустно и иронично, потому что люди часто голодают, чтобы сбросить вес, из-за чего изжога должна исчезнуть). После похудения изжога часто пропадает. Иногда голодание убирает симптомы изжоги, потому что пища может стимулировать выработку желудочного сока, а голодание её сокращает.


Вот несколько простых способов уменьшения симптомов ГЭР.


• Избегайте пищи, усиливающей рефлюкс, в том числе шоколада, кофеина, алкоголя, жареного и цитрусов. Кофеин расслабляет нижний пищеводный сфинктер, из-за чего рефлюкс может усилиться.

• Ужинайте не позже чем за три часа до сна.

• Гуляйте после обеда.

• Поднимите изголовье кровати с помощью блоков.

• Попробуйте щелочную воду или воду с лимоном.

• Попробуйте безрецептурные препараты – антациды, растворы висмута или ранитидин.

• Узнайте у врача о более сильных рецептурных препаратах, например ингибиторах протонной помпы.

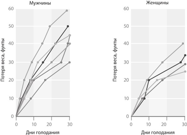
Потеря веса, фунты

Потеря веса, фунты

Если эти методы не работают, зачастую, чтобы избавиться от изжоги, можно изменить режим голодания. Например, вместо полного голодания можно попробовать съедать горсть салатной зелени через определённые периоды времени. При этом сохранится большинство плюсов поста, но симптомы изжоги исчезнут. «Жировой пост», при котором во время голодания принимается только жир, также может помочь – см. стр. 191 и 228.

Можно ли женщинам голодать?

Меня часто спрашивают, можно ли голодать женщинам. Я не знаю, откуда взялось мнение, что женщинам голодать не следует, но я слышал его достаточно часто, чтобы отдельно о нём рассказать.


Источник: Drenick, Hunt, and Swendseid, “Influence of Fasting and Refeeding on Body Composition”

Иллюстрация к книге — Интервальное голодание. Как восстановить свой организм, похудеть и активизировать работу мозга [i_074.jpg]

Рис. 10.1. Мужчины и женщины одинаково теряют вес во время голодания

Вход
Поиск по сайту
Ищем:
Календарь