Книга Интервальное голодание. Как восстановить свой организм, похудеть и активизировать работу мозга, страница 19 – Джимми Мур, Джейсон Фанг

Авторы: А Б В Г Д Е Ж З И Й К Л М Н О П Р С Т У Ф Х Ч Ш Ы Э Ю Я
Книги: А Б В Г Д Е Ж З И Й К Л М Н О П Р С Т У Ф Х Ц Ч Ш Щ Ы Э Ю Я
Бесплатная онлайн библиотека LoveRead.in

Онлайн книга «Интервальное голодание. Как восстановить свой организм, похудеть и активизировать работу мозга»

📃 Cтраница 19

К счастью, этого не происходит. Если бы кратковременное голодание останавливало наш метаболизм, мы бы просто не выжили как вид. Вспомните о повторяющихся циклах изобилия и голода. В долгие зимы палеолита пищи могло не быть много дней. После первого раза вы бы сильно ослабели, если бы обмен веществ замедлился. После нескольких повторяющихся случаев вы были бы так слабы, что не смогли бы пойти добыть пищу охотой или собирательством, отчего ослабели бы ещё сильнее. Из этого порочного круга человек не смог бы вырваться. Наш организм не перестаёт работать из-за кратковременного голодания.

В отличие от диеты, кратковременное голодание не замедляет метаболизм, а, напротив, обостряет все органы чувств и обмен веществ.

На самом деле обмен веществ во время поста не замедляется, а разгоняется. С точки зрения выживания это имеет смысл. Если мы не едим, тело использует запасы энергии как топливо, что позволяет нам найти больше пищи. Люди эволюционировали не ради ежедневного трёхразового питания.

Когда приём пищи равен нулю (при голодании), очевидно, что организм не может свести к нулю интенсивность обмена веществ, – нам нужно немного калорий просто для того, чтобы жить. Вместо этого гормоны помогают телу переключиться с пищи на собственный жир. В конце концов, жир именно для этого и нужен: тело питается им, когда пища недоступна. Он нужен не для внешнего вида. Питаясь собственным жиром, мы заметно увеличиваем доступность «пищи», и это сопровождается увеличением расхода энергии.

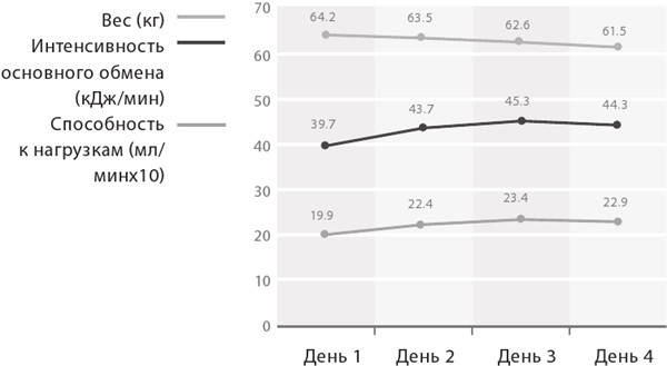
Исследования подробно рассматривают этот феномен. В одном из исследований голодание через день в течение 22 дней не оказало измеримого влияния на снижение интенсивности основного обмена. Режима голодания не было. Окисление жира – его сжигание – возросло на 58 %, от 64 г/день до 101 г/день. Окисление углеводов снизилось на 53 %, от 175 г/день до 81 г/день. Это значит, что тело начало переходить от сжигания сахара к сжиганию жиров, без общей потери энергии.

Другое исследование показало, что за четыре дня непрерывного голодания интенсивность основного обмена увеличилась на 12 %. Уровень нейромедиатора норэпинефрина (известного также как норадреналин), который помогает телу готовиться к активным действиям, вырос на 117 %, при этом сохранялся высокий уровень энергии. После того как тело переключилось с усвоения пищи на сжигание отложенных жиров, уровень жирных кислот в крови вырос на 370 %.


Источник: Zauner et al., “Resting Energy Expenditure in Short-Term Starvation Is Increased as a Result of an Increase in Serum Norepinephrine”

Иллюстрация к книге — Интервальное голодание. Как восстановить свой организм, похудеть и активизировать работу мозга [i_027.jpg]

Рис. 3.1. Во время голодания сохраняются уровень основного обмена и способность к физическим нагрузкам

ЗВЁЗДЫ ГОЛОДАНИЯ БЕРТ ХЕРРИНГ

Рефлекс «голодать вредно» во многом порождён маркетологами, чтобы заставить людей покупать продукты. Ежегодно огромные суммы тратятся на убеждение покупателей в том, что, если они не потребляют пищу, то рискуют здоровьем. Рекламная кампания Snickers 2015 года служит прекрасным примером: на обёртках батончиков появились слова – «сонный», «хмурый», «нервный» и так далее, – указывающие, что с этими неприятными состояниями лучше всего бороться с помощью еды, а заодно предполагающие, что батончики обладают психоактивным эффектом.

Мы подробно разберём, как именно тело запасает энергию и использует её, в главе 5, а пока просто запомните, что мы созданы, чтобы функционировать в периоды без пищи. Наш организм не перестаёт работать и не уходит в режим голодания.

Миф № 2. Пост сжигает мышцы

Один из устойчивых мифов о голодании гласит, что оно сжигает мышцы, что в отсутствие пищи наше тело немедленно начнёт добывать из мышц энергию. На самом деле этого не происходит.

Человеческое тело создано, чтобы пережить голодные периоды. Мы запасаем энергию из пищи в жире и используем её как топливо, когда пища недоступна. Мышцы же остаются неприкосновенными, пока количество жира не снизится настолько, что у тела не останется других вариантов, кроме как начать сжигать мышцы. Это происходит только тогда, когда жира остаётся меньше 4 % (для примера: у элитных бегунов-марафонцев мужского пола в организме примерно 8 % жира, у женщин – немного больше). Если бы мы не берегли мышцы и не сжигали жир, когда нам было нечего есть, мы бы вряд ли просуществовали долго как вид. Этой способностью обладают почти все млекопитающие.


Источник: McCue, ed., Comparative Physiology of Fasting, Starvation, and Food Limitation

Иллюстрация к книге — Интервальное голодание. Как восстановить свой организм, похудеть и активизировать работу мозга [i_028.jpg]

Рис. 3.2. Во время голодания тело переключается со сжигания сахара (углеводов) для получения энергии на жир. Белок не задействуется


Настоящие исследования голодания показывают, что беспокойство о потере мышечной массы необоснованно. Голодание через день в течение семи дней уменьшило вес на 6 %, но масса жира уменьшилась на 11,4 %, а масса нежировой ткани (мышцы и кости) не изменилась.

Если говорить коротко, при обычном питании энергию организм получает из смеси углеводов, жиров и белков. Когда вы начинаете поститься, тело увеличивает окисление углеводов. Это просто затейливый способ обозначить, что тело сжигает сахар в виде гликогена в первые 24–48 часов после того, как вы прекратили есть, пока гликоген не закончится. Когда сахара больше нет, тело начинает сжигать жир. Окисление жира усиливается, а окисление сахара сходит на ноль (см. рис. 3.2).

В это же время окисление белка – то есть сжигание мышц для энергии – на самом деле сокращается. Нормальный объём расщепления белка – около 75 г в день, а во время голодания он сокращается до 15–20 г в день. Вместо сжигания мышц при голодании мы, напротив, консервируем их. Многие аминокислоты, которые расщепляются во время обычного обмена веществ, теперь собираются в новые белки.

ЗВЁЗДЫ ГОЛОДАНИЯ АБЕЛЬ ДЖЕЙМС

Благодаря запасу жира в организме большинство американцев могли бы пешком дойти от Нью-Йорка до Флориды, не нуждаясь в пище.

В конце концов, зачем телу хранить лишнюю энергию в виде жира, если оно должно расщеплять белок сразу же, как закончилась еда? Мышцы и другие ткани – функциональны, у них много назначений. Они не созданы как запас энергии. А гликоген и жир – да. Использовать мышцы как источник энергии – это всё равно что запасти дрова для печи, а затем, когда наступит зима, порубить на куски диван и топить им.

На самом деле, голодание – один из самых мощных стимулов выработки гормона роста, а повышение его уровня помогает увеличить мышечную массу. В исследованиях с применением препаратов, подавлявших выработку соматотропина у голодающих, было выявлено увеличение окисления белка на 50 %.

Вход
Поиск по сайту
Ищем:
Календарь