Онлайн книга «Электроника для начинающих»
|
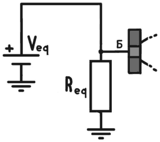
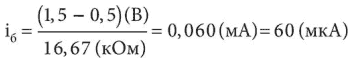
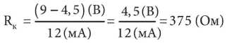
U – R · i – R · i = 0 Перепишем формулу, перенесем напряжение источника питания на левую сторону: U = R · i + R · i Выносим за скобки эквивалентный ток Iэкв: U = i (R + R) Перепишем формулу для тока: ![]() Теперь нам необходимо рассчитать напряжение на резисторе R, назовем его «эквивалентное напряжение Тевенена»: Uэкв = R · i Попробуем подставить значения в формулы и посмотреть, что получится. Имея R = 100 кОм, R = 20 кОм, U = 9 В, получим: ![]() U = 20 (кОм) · 0,075 (мА) = 1,5 (В) Эквивалентная цепь имеет сопротивление 16,67 кОм и генератор напряжения 1,5 В. Теперь мы можем вычислить ток базы транзистора, рассчитав сумму напряжений цепи на входе, которая образована эквивалентным генератором, эквивалентным сопротивлением и падением напряжения между базой и эмиттером биполярного транзистора. Падение напряжения нам неизвестно, но если мы хотим, чтобы транзистор находился в активном режиме, оно должно иметь значение не менее 0,5 В. Предположим, что падение напряжения между базой и эмиттером равно 0,5 В. ![]() Рис. 4.20. Теоретическая схема цепи, в которой транзистор соединен с генератором и эквивалентным напряжением Напряжения в цепи: Uэкв – i · Rэкв – 0,5 = 0 Базовый ток составляет: ![]() Имея ток базы, можно рассчитать ток коллектора. Давайте попробуем изменить значение одного из сопротивлений: R61 = 100 кОм и R62 = 5 кОм, U = 9 В. Находим: Rэкв = 4,76 кОм и Uэкв = 0,428 В, чтосоставляет менее 0,5 В. Но напряжение между базой и эмиттером транзистора должно быть по меньшей мере 0,5 В, в противном случае транзистор будет выключен. Поэтому очень важно выбрать подходящие сопротивления на делителе напряжения, чтобы U превышало значение 0,5 В. Вернемся к вычислению тока коллектора. Для транзистора модели 2N2222 коэффициент β составляет около 200, следовательно: Iк = β · Iб = 200 · 0,060 (мА) = 12 (мА) Это ток, который циркулирует между коллектором и эмиттером при условии, что U больше, чем 0,3 В, в противном случае транзистор будет выключен. Напряжение Uкэ зависит от сопротивления, подключенного к эмиттеру или коллектору биполярного транзистора. В нашем случае имеется только Rк, поэтому выходная цепь состоит из Uкэ, из напряжения на Rк и источника питания на 9 В. Двигаясь по цепи, можем рассчитать: U = Uкэ + iк · Rк Поэтому: Uкэ = U – iк · Rк Если R равно 10 кОм, имеем: Uкэ = 9 (В) – 12 (мА) · 10 (кОм) = 9 (В) – 120 (В) = −111 (В) С источником питания на 9 В такое значение напряжения невозможно, это означает, что в действительности Uкэ будет равно 0 В, поэтому транзистор будет выключен. Попробуем уменьшить значение напряжения Rк до 1 кОм: U = 9 (В) – 12 (мА) · 1 (кОм) = 9 (В) – 12 (В) = −3 (В) И в этом случае ток не будет течь, но с R равным 100 Ом: U = 9 (В) – 12 (мА) · 100 (Ом) = 9 (В) – 1,2 (В) = 7,8 (В) Теперь транзистор будет работать должным образом. Мы также могли бы сначала установить требуемое значение U, чтобы затем определить R. Предположим, что значение U вдвое меньше напряжения на источнике питания и, следовательно, равно 4,5 В. Затем определяем наиболее подходящее значение сопротивления R. Исходя из формулы: U = U i R Рассчитаем R: ![]() Подставляя значения U = 4.5 В, U = 9 В и I = 12 мА, находим: ![]() Отсюда следует, что мы можем использовать резистор на 390 Ом, потому что из стандартных это сопротивление ближе всего к нашим расчетам. Таким образом, транзистор включен в центральном диапазоне его работы, поэтому если приложить сигнал к базе, он будет усиливаться. Сигналы не применяются непосредственно к цепи, а используются конденсаторы для блокировки постоянных напряжений, которые могут повлиять на работу транзистора. Конденсаторы изолируют цепь, пропуская только переменный ток. Добавим два электролитических конденсатора на несколько десятков микрофарад, расположим один на входе, а другой на выходе нашей цепи. ![]() Рис. 4.21. Схема усилителя на транзисторе с электролитическими конденсаторами на входе и выходе На практике в такой электрической цепи также участвует сопротивление на эмиттере. Это сопротивление играет роль стабилизатора работы усилителя. Обычно параллельно с R подключается конденсатор на несколько десятков микрофарад, так что компонент работает только для смещения. В присутствии изменяющихся сигналов конденсатор ведет себя как короткое замыкание, так что сопротивление эмиттера исчезает, обеспечивая большую эффективность. Схемы всегда поддерживают эти два режима работы: в первом случае контролируется напряжение источника питания и смещение компонентов, то есть обеспечиваются оптимальные условия работы, во втором случае контролируются сигналы, изменяющиеся с течением времени. Когда данное условие соблюдается, конденсаторы можно рассматривать как короткие замыкания, а источники питания могут быть проигнорированы. Данный режим также носит название «малые сигналы». На самом деле режимы работы на смещение и малые сигналы могут сосуществовать. Существует принцип, который называется «наложение эффектов», предполагающий, что для понимания принципов работы статические и динамические явления могут рассматриваться отдельно, а затем заново соединяться без дальнейших значимых изменений. |
![Иллюстрация к книге — Электроника для начинающих [i_168.jpg] Иллюстрация к книге — Электроника для начинающих [i_168.jpg]](img/book_covers/094/94084/i_168.jpg)
![Иллюстрация к книге — Электроника для начинающих [i_169.jpg] Иллюстрация к книге — Электроника для начинающих [i_169.jpg]](img/book_covers/094/94084/i_169.jpg)
![Иллюстрация к книге — Электроника для начинающих [i_170.jpg] Иллюстрация к книге — Электроника для начинающих [i_170.jpg]](img/book_covers/094/94084/i_170.jpg)
![Иллюстрация к книге — Электроника для начинающих [i_171.jpg] Иллюстрация к книге — Электроника для начинающих [i_171.jpg]](img/book_covers/094/94084/i_171.jpg)
![Иллюстрация к книге — Электроника для начинающих [i_172.jpg] Иллюстрация к книге — Электроника для начинающих [i_172.jpg]](img/book_covers/094/94084/i_172.jpg)
![Иллюстрация к книге — Электроника для начинающих [i_173.jpg] Иллюстрация к книге — Электроника для начинающих [i_173.jpg]](img/book_covers/094/94084/i_173.jpg)
![Иллюстрация к книге — Электроника для начинающих [i_174.jpg] Иллюстрация к книге — Электроника для начинающих [i_174.jpg]](img/book_covers/094/94084/i_174.jpg)