Книга Мотивация человека, страница 180 – Дэвид Макклелланд

Авторы: А Б В Г Д Е Ж З И Й К Л М Н О П Р С Т У Ф Х Ч Ш Ы Э Ю Я
Книги: А Б В Г Д Е Ж З И Й К Л М Н О П Р С Т У Ф Х Ц Ч Ш Щ Ы Э Ю Я
Бесплатная онлайн библиотека LoveRead.in

Онлайн книга «Мотивация человека»

📃 Cтраница 180

Мотивационные факторы в истории США с момента основания республики до наших дней

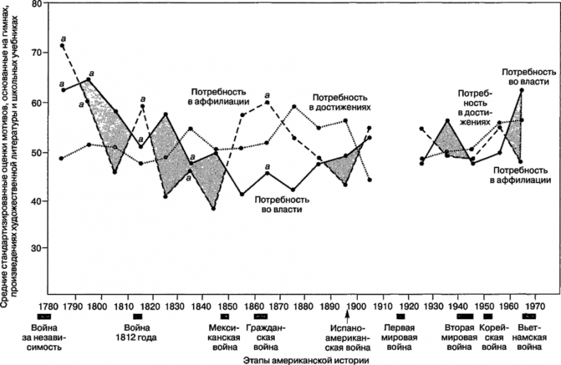
Макклелланд выполнил аналогичный анализ мотивационных тенденций в истории США, но разбил ее на более короткие периоды времени (McClelland, 1975). Для каждого десятилетия с 1780 по 1970 г. он — на основании произведений, опубликованных в школьных учебниках, гимнов и популярных литературных произведений, написанных в это время, — оценил три социальных мотива. Поскольку частота, с которой эти мотивы появлялись в разных исходных материалах, с течением времени изменялась, — например, в художественной литературе образы «мотива власти» появлялись в семь или восемь раз чаще, чем образы «мотивов достижений или аффилиации», — средние оценки мотивов для каждого десятилетия конвертировались в стандартные оценки для исходного материала каждого типа (средняя стандартная оценка равна 50, стандартное отклонение равно 10), после чего три стандартные оценки для десятилетия усреднялись, что давало наиболее точную оценку мотива для того периода времени.

Результаты для середины каждого десятилетия представлены на рис. 11.9.

Как и следовало ожидать, кривая потребности в достижениях связана с периодами экономического роста. Потребность в достижениях была стабильно высокой после Гражданской войны, перед началом периода самого быстрого экономического роста в истории США и во время этого периода. Ранее было показано, что аналогичный подъем уровня потребности в достижениях, определенный на основании одних только школьных учебников, был связан со стремлением населения к новаторству, критерием которого явилось количество выданных патентов (deCharms & Moeller, 1962). Данные, представленные на рис. 11.10, свидетельствуют о том, что за резким возрастанием уровня потребности в достижениях с 1870 по 1900 г. последовало — в период с 1870 по 1900 г. — резкое возрастание количества выданных патентов, а за падением уровня потребности в достижениях с 1900 по 1930 г. последовало падение количества патентов, выданных в период с 1930 по 1950 г. Количество выданных патентов можно рассматривать как показатель (для данного периода времени) предпринимательского драйва, направленного на поиск новых и более эффективных способов производства товаров.

Иллюстрация к книге — Мотивация человека [i_083.jpg]

Рис. 11.9. Уровни потребностей во власти, в аффилиации и в достижении, определенные на основании популярной литературы: США, 1780–1970 (McClelland, 1975)

Иллюстрация к книге — Мотивация человека [i_084.jpg]

Рис. 11.10. Средняя оценка потребности в достижениях (по школьным учебникам) и количество выданных патентов: США, 1800–1950 (deCharms & Moeller, 1962)


Более «тонко подстроенные» и более полные уровни достижений на рис. 11.9 подтверждают вывод Дечармс и Мёллера; они также позволяют предположить, что низкий уровень потребности в достижениях в период с 1900 по 1930 г. могут иметь какое-то отношение к Великой депрессии 30-х гг. Эти данные позволяют сделать и другое предположение — недавний подъем уровня потребности в достижениях может предвещать наступление периода относительного экономического процветания в последней четверти XX в.

На рис. 11.9 заштрихованными участками отмечены те периоды времени, когда потребность во власти была выше потребности в аффилиации. Достойно внимания то, что в истории США такие периоды регулярно предшествуют войнам. Макклелланд заметил, что если взять цикл, равный 15 годам, то в 11 из 13 сравнений перед Первой мировой войной заштрихованные области прогнозируют войну, а не заштрихованные — мир (р < 0,05). Одним из «исключений» была испано-американская война — вооруженный конфликт, который длился три месяца и который вообще нельзя считать войной. После Второй мировой войны, если сократить цикл примерно до 5 или 10 лет, оправдываются 4 из 5 прогнозов войны и мира. Короче говоря, в истории США существует статистически значимая связь между двумя параметрами: если уровень потребности во власти превышает уровень потребности в аффилиации, значит, страна движется навстречу войне.

С точки зрения здравого смысла эта взаимосвязь может быть интерпретирована следующим образом: когда в стране превалируют агрессивность или жестокость (высокий уровень потребности во власти, низкий уровень потребности в достижении), весьма вероятно, что она может ответить на брошенный вызов или провокацию, развязав войну, а аналогичный или похожий вызов, брошенный стране тогда, когда она больше стремится к аффилиации, к войне не приводит. И вновь взаимосвязь между паттерном мотива имперской власти и насилием подтверждается на коллективном уровне.

Взаимосвязь между отношением потребность во власти/потребность в аффилиации и социальной реформой, выявленную в истории Англии, можно наблюдать и в истории США. В табл. 11.8 представлены те десятилетия в истории США, когда потребность во власти была, по крайней мере, немного выше (стандартная оценка равна 46 или более) и потребность в аффилиации балансировала ее (она была не более чем на 10 пунктов выше или не более чем на два пункта ниже). В десятилетие, следовавшее за каждым из этих периодов времени, потребность в аффилиации заметно падала, создавая паттерн имперского мотива власти, в котором потребность во власти превосходила потребность в аффилиации. Это приводило к волне социальных реформ в следующем десятилетии, начиная с периода демократии Джефферсона около 1805 г. и заканчивая крестовыми походами за гражданские права в середине 60-х гг. XX в.

Эти данные подтверждают динамику, предположения о которой были сделаны на основании событий в истории Англии. Сочетание относительно высокой потребности в аффилиации с потребностью во власти, которая колеблется от средней до высокой, приводит к борьбе за права угнетенных — в случае США это была борьба за права бедных, женщин и чернокожего населения, — которая выливается в мощное движение за социальную реформу, сопровождаемое снижением чувствительности к страданиям отдельных личностей (более низкая потребность в аффилиации). В дальнейшем это формирует паттерн имперского мотива власти, который всегда ассоциировался с военными действиями против внешнего врага. То, что на протяжении американской истории борцы за социальную реформу шесть раз следовали этой мотивационной динамике, и то, что за борьбой за социальную реформу столь часто следовало вступление страны в военные действия, заставляет задуматься. Макклелланд отмечает, что за сбалансированным отношением потребности во власти к потребности в аффилиации синдром паттерна мотива имперской власти развивался шесть раз из семи, в то время как после девяти других комбинаций мотивов это случилось лишь однажды — отличие, которое вряд ли можно признать случайным.

И последний вывод, который можно сделать из данных, представленных на рис. 11.9. Начиная с Войны за независимость, потребность в аффилиации, судя по всему, чаще возникает в послевоенные десятилетия. Логично предположить, что, потратив некоторое время на то, чтобы, рискуя собственной жизнью, убивать других, люди начинают проявлять повышенную заботу об окружающих. Обратите внимание на то, что, как следует из рис. 11.9, наивысшие пики потребности в аффилиации были связаны с Войной за независимость и с Гражданской войной, в ходе которых люди убивали своих братьев, сестер и друзей.

Вход
Поиск по сайту
Ищем:
Календарь