Онлайн книга «Теоретический минимум по Computer Science. Все что нужно программисту и разработчику»
|
Разделить и отсортировать
Если у нас есть большой список, который нужно отсортировать, мы можем разделить его пополам: каждая половина становится подзадачей сортировки. Затем решения подзадач (то есть отсортированные половины списка) можно объединить в конечное решение при помощи алгоритма слияния [37]. Но как отсортировать эти две половины? Их тоже можно разбить на подзадачи, отсортировать и объединить. Новые подзадачи будут также разбиты, отсортированы и объединены. Процесс разделения продолжаем, пока не достигнем базового случая: списка из одного элемента. Такой список уже отсортирован! Этот изящный рекурсивный алгоритм называется сортировкой слиянием. Как и для последовательности Фибоначчи (см. раздел «Рекурсия»), дерево рекурсивных вызовов помогает увидеть, сколько раз функция merge_sort вызывает саму себя (рис. 3.11).
Теперь давайте найдем временную сложность сортировки слиянием. Для этого сначала подсчитаем операции, выполняемые на каждом отдельном шаге разбиения, а затем — общее количество шагов. Подсчет операций. Допустим, у нас есть большой список размером n. При вызове функция merge_sort выполняет следующие операции: • разбивает список на половины, что не зависит от размера списка O(1); • вызывает функцию merge (из раздела «Итерация» мы знаем, что merge имеет сложность O(n); • делает два рекурсивных вызова merge_sort, которые не учитываются [38]. Поскольку мы оставляем только доминирующий член и не учитываем рекурсивные вызовы, временная сложность функции составляет O(n). Теперь подсчитаем временную сложность каждого шага разбиения. Шаг разбиения 1. Функция merge_sort вызывается для списка из n элементов. Временная сложность этого шага составляет O(n). ![]() Рис. 3.11. Демонстрация сортировки слиянием. Прямоугольники показывают отдельные вызовы merge_sort, при этом входные данные находятся вверху, а выходные — внизу Шаг разбиения 2. Функция merge_sort вызывается дважды, каждый раз для
Шаг разбиения 3. Функция merge_sort вызывается четыре раза, каждый раз для
. . . . Шаг разбиения x. Функция merge_sort вызывается 2x раз, каждый для списка из
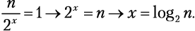
Все шаги разбиения имеют одинаковую сложность O(n). Временная сложность сортировки слиянием, следовательно, составляет x × O(n), где x — это количество шагов разбиения, необходимых для полного выполнения алгоритма [39]. Подсчет шагов. Как вычислить x? Мы знаем, что рекурсивные функции заканчивают вызывать себя, как только достигают своего базового случая. Наш базовый случай — это одноэлементный список. Мы также увидели, что шаг разбиения x работает на списках из
![]() Если вы не знакомы с функцией log2, то не робейте! x = log2 n — это просто еще один способ написать 2x = n. Программисты любят логарифмический рост. Посмотрите, как медленно растет количество требуемых шагов разбиения [40] с увеличением общего числа сортируемых элементов (табл. 3.1). |
![Иллюстрация к книге — Теоретический минимум по Computer Science. Все что нужно программисту и разработчику [i_137.jpg] Иллюстрация к книге — Теоретический минимум по Computer Science. Все что нужно программисту и разработчику [i_137.jpg]](img/book_covers/092/92372/i_137.jpg)
![Иллюстрация к книге — Теоретический минимум по Computer Science. Все что нужно программисту и разработчику [i_138.jpg] Иллюстрация к книге — Теоретический минимум по Computer Science. Все что нужно программисту и разработчику [i_138.jpg]](img/book_covers/092/92372/i_138.jpg)
![Иллюстрация к книге — Теоретический минимум по Computer Science. Все что нужно программисту и разработчику [i_139.jpg] Иллюстрация к книге — Теоретический минимум по Computer Science. Все что нужно программисту и разработчику [i_139.jpg]](img/book_covers/092/92372/i_139.jpg)
![Иллюстрация к книге — Теоретический минимум по Computer Science. Все что нужно программисту и разработчику [i_140.jpg] Иллюстрация к книге — Теоретический минимум по Computer Science. Все что нужно программисту и разработчику [i_140.jpg]](img/book_covers/092/92372/i_140.jpg)
![Иллюстрация к книге — Теоретический минимум по Computer Science. Все что нужно программисту и разработчику [i_141.jpg] Иллюстрация к книге — Теоретический минимум по Computer Science. Все что нужно программисту и разработчику [i_141.jpg]](img/book_covers/092/92372/i_141.jpg)
![Иллюстрация к книге — Теоретический минимум по Computer Science. Все что нужно программисту и разработчику [i_142.jpg] Иллюстрация к книге — Теоретический минимум по Computer Science. Все что нужно программисту и разработчику [i_142.jpg]](img/book_covers/092/92372/i_142.jpg)
![Иллюстрация к книге — Теоретический минимум по Computer Science. Все что нужно программисту и разработчику [i_143.jpg] Иллюстрация к книге — Теоретический минимум по Computer Science. Все что нужно программисту и разработчику [i_143.jpg]](img/book_covers/092/92372/i_143.jpg)
![Иллюстрация к книге — Теоретический минимум по Computer Science. Все что нужно программисту и разработчику [i_144.jpg] Иллюстрация к книге — Теоретический минимум по Computer Science. Все что нужно программисту и разработчику [i_144.jpg]](img/book_covers/092/92372/i_144.jpg)
![Иллюстрация к книге — Теоретический минимум по Computer Science. Все что нужно программисту и разработчику [i_145.jpg] Иллюстрация к книге — Теоретический минимум по Computer Science. Все что нужно программисту и разработчику [i_145.jpg]](img/book_covers/092/92372/i_145.jpg)