Книга Миллион за теорему!, страница 67 – Елена Липатова

Авторы: А Б В Г Д Е Ж З И Й К Л М Н О П Р С Т У Ф Х Ч Ш Ы Э Ю Я
Книги: А Б В Г Д Е Ж З И Й К Л М Н О П Р С Т У Ф Х Ц Ч Ш Щ Ы Э Ю Я
Бесплатная онлайн библиотека LoveRead.in

Онлайн книга «Миллион за теорему!»

📃 Cтраница 67

– Я тоже видел, он ему карточку показал, а тот…

Вокруг засвистели. По Беккиной кривой пятёрке выстрелили сразу из двух рогаток. В ответ «полосатые» болельщики облили снайперов водой из помойного ведра. Назревал скандал.

– Он что, всё в уме за секунду сложил и поделил, да? Гений, да? – наступал Очкарик. – Пусть тогда назовёт это среднее арифметическое и сумму, раз он такой шустрый!

– Вы что, совсем?.. – Бекки хотела сказать «дураки», но одумалась. – Я ничего не складыва…л!

– Ну а я что говорил? – обрадовался Очкарик, обернувшись к своим.

Мартин Краммер поднял руку и тут же опустил её. Бекки подошла к своей доске:

– Ничего складывать не нужно, вот… Обозначим сумму этих четырёх чисел буквой S. Найдём среднее арифметическое, то есть разделим S на четыре:

Иллюстрация к книге — Миллион за теорему! [i_041.jpg]

А теперь поделим то, что получилось, на сумму (S) и умножим на сто – ну, чтобы найти проценты:

Иллюстрация к книге — Миллион за теорему! [i_042.jpg]

Сокращаем в числителе и знаменателе S и получаем двадцать пять процентов! Для любых четырёх чисел, не только для этих. Можете проверить!

Мартин кивнул, достал из глиняной совы ещё одну карточку и почти мгновенно записал результат.

– Ответ готов. Пять дополнительных очков раненым.

– И мои пять! – попросила Бекки и потянулась к сове. – У меня ведь есть время?

Мартин с Карлом делают ей знаки, но она не понимает. Вопросы такие простые…

«Клетчатый» секундант приподнимает сосуд с песком, пожимает плечами: времени в верхней колбе осталось на донышке…

Что больше: 75 % от 90 или 90 % от 75?

– Вопрос понятен? Время!

…Если бы у неё была одна целая минута! Или хотя бы 40 секунд… Она бы успела, сообразила, просто сосчитала! Проценты проходят в пятом (или в шестом?) классе, обычно быстренько записывают пропорцию:

90 составляет 100 %,

х составляет 75 %.

А потом умножают 90 на 75 и делят на 100.

Она никогда пропорцию не составляет, умножает и делит сразу, часто в уме. Но песка нет… Почти нет… А отказаться от этой дополнительной задачи, пропустить – уже поздно!

– Время истекло! – каркает над ухом «клетчатый».

Последняя песчинка исчезает в отверстии.

– Девяносто процентов от семидесяти пяти больше, – неуверенно говорит Бекки и оборачивается к своим.

Блондин морщится, Мартин смотрит себе под ноги, и даже «клетчатый» секундант растерянно моргает. Только Бард не понимает, что дела плохи, улыбается, как ни в чём не бывало.

– Минус два балла, – негромко говорит вражеский секундант и стирает десятку против её фамилии. – К сожалению… все дополнительные баллы израсходованы. Так что… Ничего не поделаешь…

Ему явно не по себе. Имена полуфиналистов известны всем, а этот парень, Арон, даже не из матшколы, и вообще не местный. Попасть в полуфинал, потом пройти в финал – и всё напрасно из-за какой-то глупой стычки!

– Эхма!.. – хлопает себя по коленям хозяин бара. – Доигрались, чёрт вас дери!

Болельщики притихли, и даже пришлая команда не злорадствует. Хотя у них тоже один «убитый».

Именно из-за виноватой тишины Бекки поняла, что это – всё. Не будет финала и вообще ничего не будет. А Стив вчера предложил ей помощь при подготовке… он в неё верит!

Представитель прессы Стас Гудман прозевал неожиданный поворот и теперь с подоконника навёрстывает упущенное:

– События накаляются. Арон получил смертельный удар! «Полосатые» срочно подсчитывают очки. Увы… Спасая товарища, Арон израсходовал весь свой запас. Краммер верно ответил на четыре вопроса, у него было 10 лишних баллов, но он уже передал их Барду. Риган тоже…

– По Закону чести, – замогильным голосом выносит приговор секундант «в полоску». – Двое убитых – по одному от каждой команды – должны покинуть поле боя, и…

– Стойте! Вы забыли про право капитана!

Мартин никогда не повышает голоса, и его лицо, как всегда, непроницаемо. Он стоит у своей доски, полосатый шарф небрежно болтается на груди.

Бекки о таком праве никогда не слышала. А вот остальные, кажется, в курсе. Хозяин бара расцвёл, улыбается и гладит себя по лысине. Оба официанта побросали подносы и смешались с толпой болельщиков. Потолок скрипит всеми трапециями – того и гляди, рухнет!

ЗАМЕТКИ НА ПОЛЯХ

И всё-таки что больше: 75 % от 90 или 90 % от 75?

Давайте разберёмся.

Конечно, если есть хоть капелька времени, ничего сложного в этом вопросе нет. А уж при помощи калькулятора найти верный ответ можно за три секунды.

Но у Бекки не было современного калькулятора (его ещё не изобрели!). И времени у неё оставалось на донышке. Вот она и понадеялась на интуицию.

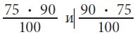
И всё же могла ли Бекки найти верный ответ, не выполняя вычислений? Да, могла. Тем же путём, каким она решила предыдущую задачу. Просто ей нужно было вспомнить, что при вычислении процента от числа умножают процент на число, а потом делят результат на 100. В наших двух примерах выглядит это так:

Иллюстрация к книге — Миллион за теорему! [i_043.jpg]

Получили равные величины – без вычислений, за несколько секунд!

* * *

Вторник, 21 декабря


ВЫНДЕРКИНД

Экстренный выпуск!!!


ПОЕДИНОК КАПИТАНОВ


Такого блестящего поединка не припомнят даже самые пожилые завсегдатаи «Кривого угла»! Два капитана – в полоску и клетку – скрестили шпаги!

Пять минут, три вопроса! Малейшая ошибка – и кранты! Навылет!

Знаменитый капитан математической сборной Ньютона Мартин Краммер превзошёл себя! Играючи решил две первые задачи и нанёс сокрушительный удар по третьей, более сложной!

Но надо отдать должное и капитану «клетчатых»! Хотя и не так быстро, но на все три вопроса он ответил правильно.

Болельщики чуть не разнесли бар, но благодаря вмешательству сторожа, вооружённого метлой, «Кривой угол» уцелел!


Прямой репортаж с места событий вёл

корреспондент «Вындеркинда»

Стас Гудман

* * *

Было поздно, и мерцали звёзды. Дома один за другим прикрывали шторами сонные окна. И только одинокий фонарь на перекрёстке Торговой и Университетской упорно смотрел в лужу, освещая своё отражение.

Вход
Поиск по сайту
Ищем:
Календарь