Книга Миллион за теорему!, страница 63 – Елена Липатова

Авторы: А Б В Г Д Е Ж З И Й К Л М Н О П Р С Т У Ф Х Ч Ш Ы Э Ю Я
Книги: А Б В Г Д Е Ж З И Й К Л М Н О П Р С Т У Ф Х Ц Ч Ш Щ Ы Э Ю Я
Бесплатная онлайн библиотека LoveRead.in

Онлайн книга «Миллион за теорему!»

📃 Cтраница 63

Дон выхватил у Бекки огарок свечи и победительно помахал им в воздухе.

– Это же козе понятно! Считаем столбиком: А + С = 3, так? То есть А = 1, а С = 2. Или наоборот, никакой разницы. Теперь посмотрим на В

Дон замолчал, задумался.

– Гм… Но тогда 5 + В должно быть двузначным. И тогда получается, что D тоже равно единице. А по условию все эти числа должны быть разными, потому что буквы в примере разные.

– Вот именно, – отозвался Коротыш. – Я сразу об этом подумал. О том, что А плюс С равно не трём, а тринадцати! Понял? Три пишем, один в уме.

Дон подошёл к стене и нарисовал коптящей из последних сил свечой два примера:

А + С = 13,

5 + В + 1 = 14.

– Понятно, откуда лишняя единица? – на всякий случай спросил он. – Ну, которая «в уме». А теперь давайте считайте быстрее! Из второго уравнения следует, что В равно восьми. Ну а А и С

Свеча фукнула в последний раз и погасла.

– А и С нам по отдельности и не нужны! – перебила Бекки. – Нам же сумма нужна, а не по отдельности.

– Точно! – обрадовался из темноты Дон. – Значит, A + C = 13, B = 8, D = 1. Складываем (А + С) + В + D и получаем: 13 + 8 + 1 = 22.

* * *

Они бежали по проходу, время от времени зажигая спички. Булыжники под ногами исчезли, стены раздвинулись, и даже потолок больше не давил. Бекки подняла руку и подпрыгнула, но не достала до балки.

– Где-то рядом, – подал голос Коротыш. – С одной свечой вряд ли…

Коротыш выразил то, о чём думали Бекки с Доном. Если уж они – втроём, с полутора свечами и спичками! – не успели всё решить и сосчитать, то что говорить про тех еретиков, у которых всего и была одна коротенькая свечка!

– Когда вылезем, я в первую очередь съем три… нет, пять бутербродов! – мечтательно сказал Коротыш. – А ещё яичницу с жареным луком, перцем и…

– А я больше картошку люблю, – объявил Дон. – Если картошку правильно приготовить, ничего лучше нет.

– А я люблю…

Бекки не успела рассказать, что она любит пироги с капустой, потому что впереди раздался ликующий вопль:

– Ур-ра! Дверь!

Дверь пряталась в одной из трёх ниш. Тяжёлая такая дверь, очень низкая, с перекладинами крест-накрест, похожа на амбарную. Коротыш толкнул её, потом потянул за железный крюк:

– Не открывается…

– Да кто же так дёргает? – Дон ухватился за крюк и рванул.

Раздался глухой звук – чмок! – и металлическая скобка отлетела в одну сторону, а Дон – в другую.

Падая, Дон выронил коробок со спичками. В темноте они долго его искали, шаря по полу, и едва не раздавили.

– Их всего девятнадцать осталось… – не поверила Бекки. – А куда же остальные девались?

– Другого выхода тут нет? – задал риторический вопрос Дон.

Бекки было жалко спичек, но не сидеть же в темноте и ждать неизвестно чего! Держа светящуюся палочку за кончик, она заглянула в каждую из трёх ниш.

– Здесь что-то написано!

Коротенькие алгебраические примеры с двумя неизвестными. В каждой «пустой», без двери, нише – по примеру:

a + b = 2,

аb = 3.

Зато над «амбарной» дверью кроме примера обнаружилось что-то ещё. Объяснение? Инструкция? Буквы старинные, но понять можно.

Решить загадку до конца
Огромная заслуга:
Похожа жизнь на два ларца
С ключами друг от друга [12].
Иллюстрация к книге — Миллион за теорему! [i_036.jpg]

– Ха! – сказал Дон. – Они ещё и стихоплётами были!

Коротыш ощупал дверь и обнаружил замок, похожий на бочонок размером с кулак. Если покрутить диски, в окошечке выскакивают цифры. Цифровой замок…

Дон сказал, что «это надувательство» и «так нечестно»:

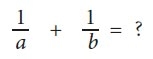
– В легенде про сколько заданий говорилось? Про три? А это уже четвёртое! А вообще решить эту систему уравнений ничего не стоит. Методом подстановки найдём «а» и «б», потом сложим их обратные значения – ну, дроби эти! – и готово.

Они замолчали, пытаясь в уме выразить одно неизвестное через другое и подставить то, что получится, во второе уравнение. Вроде ничего особенного… Если бы была свеча, бумага и карандаш – вообще ерунда!

Бекки напряглась, мысленно выполняя подстановку:

a = 2 – b,

подставляем то, что получилось, во второе уравнение, получаем…

– Ни фига себе! – возмутился Дон. – Получается квадратное уравнение. На множители не разлагается, я проверил. Значит, нужно использовать квадратную формулу…

– А ты не можешь потише? – перебил Коротыш. – Ну вот, опять сбил! И вообще, тут что-то напутано.

Бекки тоже сбилась. Всё-таки трудно решать такие вещи в уме, без бумаги. Но и у неё – так ей показалось – получался отрицательный дискриминант. И что с ним делать? И вообще, знали ли в те времена про дискриминант?

Она вспомнила про стихотворение на стене: «Похожа жизнь на два ларца…»

Если не удастся открыть дверь, кто знает, найдут ли их…

«Два ларца с ключами… друг от друга…»

Догадка только промелькнула, смутная, как все догадки. Бекки заткнула пальцами уши. Лишь бы не спугнуть, успеть поймать и понять…

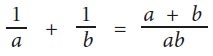
– А что, если… сначала сложить дроби – те, которые над дверью? – вслух подумала она. – Ну, упростить выражение, преобразовать и посмотреть, что получится?

Иллюстрация к книге — Миллион за теорему! [i_036.jpg]

Сказано – сделано. А когда сложили и посмотрели… Получилось что-то такое неожиданное, что они онемели – все трое!

Решение – такое красивое, такое очевидное! – висело всё это время у них перед глазами, а они, как дураки, не видели его, потому что привыкли всё делать по правилам!

Иллюстрация к книге — Миллион за теорему! [i_037.jpg]

– Ура! – заорал Дон, зажигая десятую спичку. – Арон, ты – гений! Вот же они – «ключи», подсказки – прямо на стене:

Вход
Поиск по сайту
Ищем:
Календарь