Онлайн книга «Искусство статистики. Как находить ответы в данных»
|
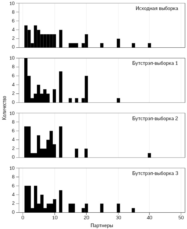
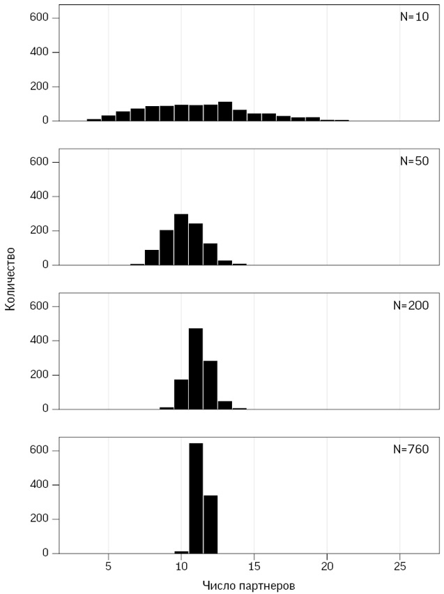
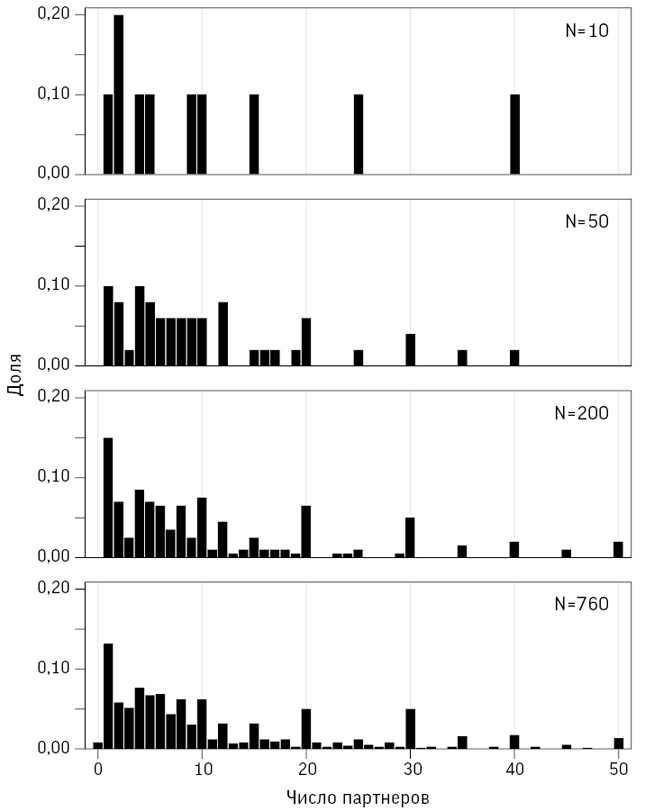
В качестве иллюстрации того, как точность статистики зависит от размера выборки, представим, что мужчины в нашем опросе фактически представляют собой всю генеральную совокупность, которая нас интересует. Их ответы приведены на нижней диаграмме рис. 7.1. Для иллюстрации извлечем последовательные случайные выборки из общей совокупности из 760 участников: сначала 10, затем 50, а потом 200 человек. Распределение данных для трех выборок показано на рис. 7.1. Ясно видно, что маленькие выборки «ухабистее», поскольку они чувствительны к отдельным точкам. Сводные характеристики этих постепенно увеличивающихся выборок представлены в табл. 7.1. В первой выборке из 10 человек наблюдается большое количество партнеров (среднее 8,4), но по мере роста выборки эта величина постепенно уменьшается, приближаясь к характеристике всей группы из 760 человек. ![]() Рис. 7.1 Нижняя диаграмма отображает распределение ответов для всех 760 мужчин в опросе. Из этой группы случайным образом последовательно выбираются 10, 50 и 200 человек. Соответствующие распределения построены на первых трех диаграммах. У меньших выборок видны значительные разбросы, но постепенно форма распределения приближается к распределению всей группы из 760 мужчин. Не показаны значения свыше 50 партнеров Таблица 7.1 Сводные статистические данные о количестве сексуальных партнеров за всю жизнь у мужчин в возрасте 35–44 лет, которое они указывали в исследовании Natsal 3 (случайные выборки и характеристики всей группы из 760 мужчин) ![]() А теперь вернемся к фактической задаче: что мы можем сказать о среднем и медианном числе партнеров во всей изучаемой совокупности мужчин в возрасте 35–44 лет, основываясь на реальных выборках мужчин, показанных на рис. 7.1? Мы могли бы оценить эти параметры всей популяции по выборочной статистике каждой группы, представленной в табл. 7.1, предполагая, что статистики на основе больших выборок в каком-то смысле «лучше»: например, оценки среднего количества партнеров сходятся к 11,4, и при достаточно большой выборке мы, скорее всего, приблизились бы к истинному ответу с желаемой точностью. Вот здесь мы подошли к критическому шагу. Чтобы понять, насколько точными могут быть такие характеристики, нам нужно подумать, как эти статистики могут измениться, если мы (в воображении) неоднократно повторим процесс составления выборки. Иначе говоря, если бы мы раз за разом формировали выборки из 760 британцев, насколько сильно менялись бы их статистики? Если бы мы знали, как сильно они будут варьироваться, это помогло бы нам понять, насколько точна наша фактическая оценка. К сожалению, определить точный разброс оценок мы могли бы только в случае, если бы точно знали информацию о всей генеральной совокупности. Но как раз этого мы и не знаем. Есть два способа выбраться из этого круга. Первый – сделать какие-то математические предположения о форме исходного распределения в генеральной совокупности, а затем с помощью методов теории вероятностей определить ожидаемый разброс для нашей оценки, а потом и то, чего можно ожидать для разницы между средним в выборке и средним во всей совокупности. Это традиционный способ, который включают в учебники по статистике; мы рассмотрим в главе 9, как он работает. Но есть и альтернативный подход, основанный на правдоподобном предположении, что вся популяция должна быть примерно схожа с выборкой. Поскольку мы не можем извлечь еще несколько выборок из общей популяции, возьмем несколько раз новые выборки из нашей выборки! Мы можем проиллюстрировать эту идею на примере нашей предыдущей выборки размером 50, показанной на верхней диаграмме на рис. 7.2; ее среднее значение равно 10,5. Предположим, что мы берем еще 50 точек, каждый раз с возвратом уже взятого наблюдения, и получаем распределение, показанное на второй диаграмме, где среднее значение равно 8,4. Обратите внимание, что это распределение может содержать только те величины, которые есть в исходном распределении, но количество таких наблюдений будет другим, поэтому форма распределения будет слегка отличаться, а вместе с ней будет немного отличаться и среднее. Процесс можно повторять; на рис. 7.2 отображены три повторные выборки, средние значения которых равны 8,4, 9,7 и 9,8. ![]() Рис. 7.2 Исходная выборка из 50 наблюдений и три «бутстрэп-выборки» [154], каждая из которых состоит из 50 наблюдений, извлеченных случайным образом из исходного набора, каждый раз с возвратом. Например, наблюдение в 25 партнеров в первоначальной выборке встречается один раз (справа). В первой и второй бутстрэп-выборках его не оказалось вовсе, а в третьей встретилось дважды В результате мы получаем представление, как при перевыборках изменяется наша оценка. Процесс известен под названием бутстрэппинг – волшебная идея вытягивания себя за ремешки на обуви сопоставляется со способностью извлекать информацию из самой выборки без предположения о форме распределения всей генеральной совокупности [155]. Если мы повторим эту процедуру, скажем, 1000 раз, то получим 1000 возможных оценок среднего. Они представлены в виде гистограммы на второй панели на рис. 7.3. Остальные гистограммы отражают бутстрэппинг для других выборок на рис. 7.1, при этом каждая гистограмма показывает разброс бутстрэп-оценок вокруг среднего в исходной выборке. Это выборочные распределения оценок, поскольку они отражают разброс оценок, появляющийся вследствие повторных составлений выборок. ![]() Рис. 7.3 Распределение средних значений для 1000 бутстрэп-выборок, построенных для размеров 10, 50, 200 и 760, отображенных на рис. 7.1. Разброс значений для среднего уменьшается по мере роста размера выборки |
![Иллюстрация к книге — Искусство статистики. Как находить ответы в данных [i_045.jpg] Иллюстрация к книге — Искусство статистики. Как находить ответы в данных [i_045.jpg]](img/book_covers/091/91708/i_045.jpg)
![Иллюстрация к книге — Искусство статистики. Как находить ответы в данных [i_046.jpg] Иллюстрация к книге — Искусство статистики. Как находить ответы в данных [i_046.jpg]](img/book_covers/091/91708/i_046.jpg)
![Иллюстрация к книге — Искусство статистики. Как находить ответы в данных [i_047.jpg] Иллюстрация к книге — Искусство статистики. Как находить ответы в данных [i_047.jpg]](img/book_covers/091/91708/i_047.jpg)
![Иллюстрация к книге — Искусство статистики. Как находить ответы в данных [i_048.jpg] Иллюстрация к книге — Искусство статистики. Как находить ответы в данных [i_048.jpg]](img/book_covers/091/91708/i_048.jpg)